
VISION OF COUNCIL
"A thriving and friendly community that recognises our history and embraces cultural diversity and economic opportunity, whilst nurturing our unique natural and built environment."
AGENDA
FOR THE
Ordinary Meeting of Council
23 February 2017
OUR VISION
"A thriving and friendly community that recognises our history and embraces cultural diversity and economic opportunity, whilst nurturing our unique natural and built environment."
OUR MISSION
“To deliver affordable and quality Local Government services.”
CORE VALUES OF THE SHIRE
The core values that underpin the achievement of the
mission will be based on a strong customer service
focus and a positive attitude:
Communication
Integrity
Respect
Innovation
Transparency
Courtesy
DISCLAIMER
The purpose of Council Meetings is to discuss, and where possible, make resolutions about items appearing on the agenda. Whilst Council has the power to resolve such items and may in fact, appear to have done so at the meeting, no person should rely on or act on the basis of such decision or on any advice or information provided by a Member or Officer, or on the content of any discussion occurring, during the course of the meeting.
Persons should be aware that the provisions of the Local Government Act 1995 (Section 5.25 (e)) establish procedures for revocation or rescission of a Council decision. No person should rely on the decisions made by Council until formal advice of the Council decision is received by that person. The Shire of Broome expressly disclaims liability for any loss or damage suffered by any person as a result of relying on or acting on the basis of any resolution of Council, or any advice or information provided by a Member or Officer, or the content of any discussion occurring, during the course of the Council meeting.
Agenda – Ordinary Meeting of Council 23 February 2017 Page 3 of 4
|
Councillor |
Cr R Johnston |
Cr H Tracey |
Cr M Fairborn |
Cr W Fryer |
Cr E Foy |
Cr D Male |
Cr P Matsumoto |
Cr C Mitchell |
Cr B Rudeforth |
|
|
2015 |
26 November |
|
|
|
|
|
|
LOA |
|
|
|
2015 |
17 December |
|
|
|
|
|
|
|
|
|
|
2016 |
25 February |
|
|
|
|
A |
|
|
|
|
|
2016 |
31 March |
|
|
|
|
LOA |
|
|
|
|
|
2016 |
28 April |
|
LOA |
A |
LOA |
LOA |
|
|
|
|
|
2016 |
26 May |
|
|
A |
|
|
|
LOA |
|
|
|
2016 |
30 June |
|
LOA |
|
|
|
|
|
|
LOA |
|
2016 |
28 July |
|
|
|
|
|
|
|
|
|
|
2016 |
25 August |
|
|
|
|
LOA |
|
|
|
|
|
2016 |
29 September |
|
A |
|
|
|
LOA |
|
|
|
|
2016 |
27 October |
|
|
|
|
|
|
|
LOA |
|
|
2016 |
24 November |
|
|
LOA |
|
|
A |
|
|
|
|
2016 |
15 December |
|
|
|
|
A |
|
|
|
A |
|
· LOA (Leave of Absence) |
· NA (Non Attendance) |
|
· A (Apologies) |
|
2.25. Disqualification for failure to attend meetings
(1) A council may, by resolution, grant leave of absence, to a member.
(2) Leave is not to be granted to a member in respect of more than 6 consecutive ordinary meetings of the council without the approval of the Minister, unless all of the meetings are within a period of 3 months.
(3A) Leave is not to be granted in respect of —
(a) a meeting that has concluded; or
(b) the part of a meeting before the granting of leave.
(3) The granting of the leave, or refusal to grant the leave and reasons for that refusal, is to be recorded in the minutes of the meeting.
(4) A member who is absent, without obtaining leave of the council, throughout 3 consecutive ordinary meetings of the council is disqualified from continuing his or her membership of the council, unless all of the meetings are within a 2 month period.
(5A) If a council holds 3 or more ordinary meetings within a 2 month period, and a member is absent without leave throughout each of those meetings, the member is disqualified if he or she is absent without leave throughout the ordinary meeting of the council immediately following the end of that period.
(5) The non‑attendance of a member at the time and place appointed for an ordinary meeting of the council does not constitute absence from an ordinary meeting of the council —
(a) if no meeting of the council at which a quorum is present is actually held on that day; or
(b) if the non‑attendance occurs —
(i) while the member has ceased to act as a member after written notice has been given to the member under section 2.27(3) and before written notice has been given to the member under section 2.27(5); or
(ii) while proceedings in connection with the disqualification of the member have been commenced and are pending; or
(iiia) while the member is suspended under section 5.117(1)(a)(iv); or
(iii) while the election of the member is disputed and proceedings relating to the disputed election have been commenced and are pending.
(6) A member who before the commencement of the Local Government Amendment Act 2009 section 5 1 was granted leave during an ordinary meeting of the council from which the member was absent is to be taken to have first obtained leave for the remainder of that meeting.
[Section 2.25 amended by No. 49 of 2004 s. 19(1); No. 17 of 2009 s. 5.]
Agenda – Ordinary Meeting of Council 23 February 2017 Page 5 of 6
SHIRE OF BROOME
Ordinary Meeting of Council
Thursday 23 February 2017
INDEX – Agenda
3. Declarations of Financial Interest / Impartiality
6. Announcements by President Without Discussion
8. Matters for Which the Meeting May Be Closed
9.1.1 WASTE MANAGEMENT FACILITY - MULCHED GREEN WASTE
9.1.2 CHINATOWN REVITALISATION PROJECT UPDATE
9.2.1 DESIGN WA - SHIRE OF BROOME SUBMISSION
9.2.2 CIRCUS ROYALE EVENT APPLICATION
9.2.3 EVENT APPROVAL - FULL MOON BAREFOOT BALL
9.2.4 DEVELOPMENT ASSESSMENT PANEL (DAP) NOMINATIONS OF MEMBERS AND ALTERNATE MEMBERS
9.2.5 PROPOSED WELCOME TO COUNTRY SIGNS - GREAT NORTHERN HIGHWAY
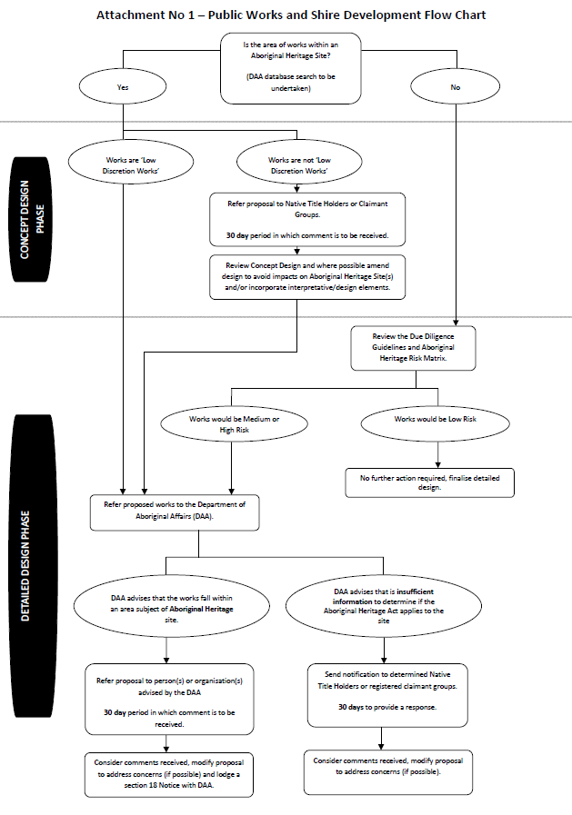
9.2.6 DRAFT POLICY FOLLOWING PUBLIC COMMENT PERIOD - CONSULTATION ABORIGINAL HERITAGE
9.2.7 TRADING IN PUBLIC PLACES LICENCE APPLICATION - BROOME FAT BIKE TOURS
9.2.8 GOVERNMENT SEWERAGE POLICY - SHIRE OF BROOME SUBMISSION
9.2.9 RFT 17/02 PROVISION OF CLEANING SERVICES FOR OPERATIONAL BUILDINGS
9.3.1 MOTORSPORT RELOCATION PROJECT LAND TENURE
9.4.1 MONTHLY PAYMENT LISTING - DECEMBER 2016
9.4.2 MONTHLY PAYMENT LISTING - JANUARY 2017
9.4.3 MONTHLY STATEMENT OF FINANCIAL ACTIVITY REPORT DECEMBER 2016
9.4.4 MONTHLY STATEMENT OF FINANCIAL ACTIVITY REPORT JANUARY 2017
9.4.5 ANNUAL ELECTORS MEETING HELD 15 DECEMBER 2016.
9.4.6 REVIEW OF DELEGATIONS OF AUTHORITY
10.1 LOCAL EMERGENCY MANAGEMENT COMMITTEE MEETING MINUTES - 7 DECEMBER 2016
10.2 BUSH FIRE ADVISORY COMMITTEE MEETING MINUTES - 7 DECEMBER 2016
10.3 MINUTES OF THE AUDIT COMMITTEE MEETING HELD 14 FEBRUARY 2017
12. Business of an Urgent Nature
13. Questions by Members Of Which Due Notice Has Been Given
14. Matters Behind Closed Doors
Agenda – Ordinary Meeting of Council 23 February 2017 Page 7 of 8
NOTICE OF MEETING
Dear Council Member,
The next Ordinary Meeting of the Shire of Broome will be held on Thursday, 23 February 2017 in the Council Chambers, Corner Weld and Haas Streets, Broome, commencing at 5.00pm.
Regards

S MASTROLEMBO
Acting Chief Executive Officer
16/02/2017
Agenda – Ordinary Meeting of Council 23 February 2017 Page 8 of 9
Attendance:
Leave of Absence:
A written request for a Leave of Absence for meetings of Council held in March and April 2017 has been received from Cr M Fairborn.
|
RECOMMENDATION: That a Leave of Absence be granted for Cr M Fairborn for meetings of Council held in March and April 2017. |
Apologies: Cr B Rudeforth
Officers:
Public Gallery:
|
FINANCIAL INTEREST |
|||
|
Councillor |
Item No |
Item |
Nature of Interest |
|
|
|
|
|
|
IMPARTIALITY |
|||
|
Councillor |
Item No |
Item |
Nature of Interest |
|
|
|
|
|
The following question was asked at the Special Meeting of Council held 24 January 2017 by Ross Forbes-Stephen and was taken on notice:
Question One:
Why is the information contained in item 6.3.1 not available to the public? As a tourism business in Broome, this could be of benefit and impact to my business.
Answer provided by Acting Director Community Development:
The Shire of Broome received correspondence from Australia’s North West (ANW) dated 16 January 2017 regarding a proposal to trial flights between Broome and Singapore. The proposal has been developed by a consortium that included Broome International Airport, ANW and Tourism WA. The item and any attachments are confidential in accordance with Section 5.23(2) of the Local Government Act 1995 section 5.23(2)((e)(ii)) as it contains “a matter that if disclosed, would reveal information that has a commercial value to a person, where the information is held by, or is about, a person other than the local government”.
|
That the Minutes of the Ordinary Meeting of Council held on 15 December 2016 be confirmed as a true and accurate record of that meeting. |
|
That the Minutes of the Special Meeting of Council held on 24 January 2017 be confirmed as a true and accurate record of that meeting. |
Under section 5.23 (2)(d) of the Local Government Act 1995 Council may resolve to move the meeting behind closed doors.
9.1

PRIORITY STATEMENT
Embracing our cultural diversity and the relationship between our unique heritage and people, we aim to work in partnership with the community to provide relevant, quality services and infrastructure that meet the needs and aspirations of our community and those visiting and doing business in our region.
Supporting and contributing to the well-being and safety of our community is paramount, as is our focus on community engagement and participation.
Council aims to build safe, strong and resilient communities with access to services, infrastructure and opportunities that will result in an increase in active civic participation, a reduction in anti-social behaviour and improved social cohesion.
|
9.1.1 WASTE MANAGEMENT FACILITY - MULCHED GREEN WASTE LOCATION/ADDRESS: Nil APPLICANT: Nil FILE: ACC01; RES 40813.9 AUTHOR: Waste Coordinator CONTRIBUTOR/S: Nil RESPONSIBLE OFFICER: Director Infrastructure DISCLOSURE OF INTEREST: Nil DATE OF REPORT: 3 February 2017 |
|
SUMMARY: Mulched green waste is available for purchase from the Waste Management Facility at the rate of $10 per cubic metre. This report seeks to change the fee to a NIL charge for 2016/17. |
BACKGROUND
Previous Considerations
OMC 30 June 2016 Item 9.4.3
COMMENT
The Shire of Broome receives raw green waste from Broome residents and businesses. The raw green waste is stockpiled and processed into mulched green waste. The mulched green waste is then made available for collection by residents and businesses.
In 2014/15 the Shire of Broome provided mulched green waste to residents and business free of charge. Throughout the financial year the Shire was able to maintain supply to residents however at certain stages was unable to maintain supply to businesses. This was due to an in increase in demand for mulched green waste caused by improved mulch quality and large commercial developments.
For 2016/17, in response to the higher demand the Shire introduced a fee of $10 per cubic metre for mulched green waste. The basis of the fee was to offset some of the operational expense incurred from receiving and processing the raw green waste, the introduced fee is not full cost recovery.
Since the implementation of the fee the demand for mulched green waste has decreased. Averages for 2015/16 versus 2016/17 are provided below for comparison;
|
Description |
2015/16 Monthly Average (cubic metre) |
2016/17 Monthly Average (cubic metre) |
|
Mulched green waste - produced |
919 |
788 |
|
Mulched green waste demand - residential |
160 |
137 |
|
Mulched green waste demand – commercial |
759 |
74 |
|
Surplus to stockpile |
- |
577 |
As a result of the decreased demand the Shire has had to stockpile all surplus mulched green waste. The Shire currently has 3,400 cubic meters of mulched green waste and the stockpile area is nearing full capacity. Once the stockpile area reaches capacity the Shire are not licenced to stockpile raw green waste or mulched green waste in other areas. The only alternative at that point is for the Shire to landfill the surplus raw green waste.
Based on the reduced demand, current stockpile volumes and limited future stockpile capacity officers recommend that the Shire remove the $10 per cubic metre charge for mulched green waste. The removal of the fee will remove the financial burden on business to collect the mulched green waste and will potentially increase demand.
CONSULTATION
The Shire of Broome Waste Coordinator has contacted local businesses via telephone. The feedback received indicated that the demand will increase from businesses should the fee be removed.
STATUTORY ENVIRONMENT
Local Government Act 1995
6.16. Imposition of fees and charges
(1) A local government may impose* and recover a fee or charge for any goods or service it provides or proposes to provide, other than a service for which a service
charge is imposed.
* Absolute majority required.
(2) A fee or charge may be imposed for the following —
(a) providing the use of, or allowing admission to, any property or facility wholly or partly owned, controlled, managed or maintained by the local government;
(b) supplying a service or carrying out work at the request of a person;
(c) subject to section 5.94, providing information from local government records;
(d) receiving an application for approval, granting an approval, making an inspection and issuing a licence, permit, authorisation or certificate;
(e) supplying goods;
(f) such other service as may be prescribed.
(3) Fees and charges are to be imposed when adopting the annual budget but may be —
(a) imposed* during a financial year; and
(b) amended* from time to time during a financial year.
* Absolute majority required.
6.17. Setting level of fees and charges
(1) In determining the amount of a fee or charge for a service or for goods a local government is required to take into consideration the following factors —
(a) the cost to the local government of providing the service or goods;
(b) the importance of the service or goods to the community; and
(c) the price at which the service or goods could be provided by an
alternative provider.
(2) A higher fee or charge or additional fee or charge may be imposed for an expedited service or supply of goods if it is requested that the service or goods be
provided urgently.
(3) The basis for determining a fee or charge is not to be limited to the cost of providing the service or goods other than a service —
(a) under section 5.96;
(b) under section 6.16(2)(d); or
(c) prescribed under section 6.16(2)(f), where the regulation prescribing the service also specifies that such a limit is to apply to the fee or charge for the service.
(4) Regulations may —
(a) prohibit the imposition of a fee or charge in prescribed circumstances; or
(b) limit the amount of a fee or charge in prescribed circumstances.
6.19. Local government to give notice of fees and charges
If a local government wishes to impose any fees or charges under this Subdivision after the annual budget has been adopted it must, before introducing the fees or charges, give local public notice of —
(a) its intention to do so; and
(b) the date from which it is proposed the fees or charges will be imposed.
POLICY IMPLICATIONS
Nil
FINANCIAL IMPLICATIONS
For 2016/17 to date the Shire has collected $5,180 for the sale of mulched green waste. The forecast income for the remainder of 2016/17 is a further $3,700.
RISK
The risk with removing the fee for mulched green waste is insignificant as the financial impact is less than $10,000.
Should the Shire not remove the fee for mulched green waste the stockpile area will reach capacity and the Shire will have to landfill raw green waste. This will contribute to faster utilisation of the landfill.
STRATEGIC IMPLICATIONS
Our People Goal – Foster a community environment that is accessible, affordable, inclusive, healthy and safe:
Effective communication
Affordable services and initiatives to satisfy community need
A healthy and safe environment
Our Prosperity Goal – Create the means to enable local jobs creation and lifestyle affordability for the current and future population:
Affordable and equitable services and infrastructure
Our Organisation Goal – Continually enhance the Shire’s organisational capacity to service the needs of a growing community:
Responsible resource allocation
Effective community engagement
Improved systems, processes and compliance
VOTING REQUIREMENTS
Absolute Majority
|
That Council: 1. Amends the fee for the sale of per cubic metre, mulched green waste from $10 to nil; and 2. Provides Local Public notice in accordance with Section 6.19 of the Local Government Act 1995 advising that these Fees and Charges will take effect on and from 1 March 2017. (Absolute Majority Required) |
|
9.1.2 CHINATOWN REVITALISATION PROJECT UPDATE LOCATION/ADDRESS: N/A APPLICANT: Nil FILE: PLA94 AUTHOR: Acting Chief Executive Officer CONTRIBUTOR/S: Nil RESPONSIBLE OFFICER: Acting Chief Executive Officer DISCLOSURE OF INTEREST: Nil DATE OF REPORT: 9 February 2017 |
|
SUMMARY: This report seeks to provide Council with an update on the progress made to date on the delivery of the Chinatown Revitalisation Project (CRP). A copy of the minutes of the meetings held by the Chinatown Stakeholder Reference Group are also presented for Council’s information. |
BACKGROUND
Previous Considerations
OMC 26 June 2014 Item 9.3.1
OMC 30 April 2015 Item 9.2.7
OMC 2 June 2015 Item 9.2.5
OMC 27 August 2015 Item 9.3.1
OMC 26 November 2015 Item 9.4.5
SMC 17 June 2016 Item 6.2.1
OMC 25 August 2016 Item 9.1.6
OMC 27 October 2016 Item 10.2
OMC 15 December 2016 Item 9.3.1
At the Special Meeting of Council held 17 June 2016, Council resolved the following;
|
COUNCIL RESOLUTION: (REPORT RECOMMENDATION) Moved: Cr B Rudeforth Seconded: Cr H Tracey That Council: 1. Thanks the State of Western Australia for the $10 million grant funding for the Chinatown Revitalisation Project. 2. Thanks Tourism Western Australia for confirmation for the Tourism Demand Driver Infrastructure Grant of $300,000 to be applied towards the Frederick Street/Dampier Terrace Lookout Facility, which forms part of the Chinatown Revitalisation Project. 3. Endorses the Draft Financial Assistance Agreement with the Department of Regional Development and authorises the Shire President and Chief Executive Officer to engross the final documentation as required. 4. Endorses the updated Memorandum of Understanding between the Shire of Broome, Landcorp and Kimberley Development Commission and authorises the Shire President and Chief Executive Officer to engross the documentation as required. 5. Endorses the Chinatown Revitalisation Steering Group Terms of Reference and Governance structure and appoints the Chief Executive Officer to be the Shire’s representative on this group. 6. Requests the Chief Executive Officer to:(a) Allocate $1.7 million dollars over the 2016/17 and 2017/18 financial years to the Chinatown Revitalisation Project. (b) Commence procurement of the relevant consultancies together with the project collaborative group in line with the project documentation. (c) Ensure incentives are included within project tender specifications to encourage submissions from and/or involvement of local businesses where appropriate. (d) Provide six monthly updates on the project for Council’s information.
CARRIED UNANIMOUSLY 7/0 |
In accordance with point 6(d), this report provides Council with a six monthly update on the Chinatown Revitalisation Project (CRP).
As background, the Financial Assistance Agreement (FAA) between the WA Department of Regional Development (DRD) and the Shire of Broome provides an investment of $10 million by the State for the delivery of the following projects. The Shire of Broome and Tourism WA have also allocated a further $2 million and $600k respectively, resulting in a total project spend of $12.6 million.
|
Item of Expenditure |
Budget |
Source of Funds |
|
Grey Street Extension Feasibility & Technical Studies |
$1,000,000 |
Royalties for Regions ($745,000) Shire of Broome ($255,000) |
|
Roebuck Bay Reconnection and Coastal Protection Feasibility |
$1,000,000 |
Royalties for Regions ($855,000) Shire of Broome ($145,000) |
|
Cultural Centre Feasibility |
$750,000 |
Royalties for Regions |
|
Dampier Terrace Renovation |
$3,800,000 |
Royalties for Regions |
|
Carnarvon Street Upgrades |
$2,725,000 |
Royalties for Regions |
|
Frederick Street Lookout |
$900,000 |
Shire of Broome ($600,000) Tourism WA ($300,000) |
|
Tourist Rest Facilities |
$700,000 |
Shire of Broome |
|
Connection of Dampier Terrace and Terrace Street |
$600,000 |
Shire of Broome ($300,000) Tourism WA ($300,000) |
|
Enhanced laneways strategy and funding program |
$290,000 |
Royalties for Regions |
|
Chinatown Commercial Liaison Officer (over 2 years) and funding program |
$600,000 |
Royalties for Regions |
|
Administration/Audits/Reporting |
$235,000 |
Royalties for Regions |
|
Total Budget |
$12,600,000 |
|
Following the engrossing of the FAA (Attachment 1), an amount of $10 million was deposited into the Shire’s account. These funds were then deposited into a Western Australian Treasury Corporation Account and are transferred across in agreed lump sums upon successful achievement of project milestones set out in the agreement.
The aforementioned projects have been scheduled across two years and the first of these milestones was the signing and return of the FAA which triggered a milestone payment of $500,000.
In accordance with the adopted Business Case and the FAA, the first items of expenditure incurred in 2016/17 were the recruitment of a Chinatown Investment and Development Coordinator and the engagement of a Project Director consultancy.
The Chinatown Investment and Development Coordinator commenced employment on 31 October 2016. The key responsibilities of the role include;
· Develop a two year Activity Plan outlining a program of activities and events for the activation of Chinatown.
· Maintain effective and co-operative communications with traders, land owners and other key stakeholders in Chinatown.
· Provide a central point of communication for consultants engaged to undertake, manage and/or facilitate sub-projects.
· Develop strategies to encourage commercial tenant attraction and engagement, and facilitate and realise investment in Chinatown.
· Project manage/coordinate activation events, small capital projects and promotional activities in Chinatown.
· Facilitate an ongoing programme of events, place activation and branding for Chinatown.
Over the last few months the Chinatown Investment and Development Coordinator has contacted 114 traders/stakeholders, held 86 ‘drop in’ meetings, had 60 phone call conversations and sent 96 emails. A Chinatown Traders meeting was also held on 8 February 2016 to present an overview of the draft Activity Plan and workshop activation initiatives with over 30 traders attending.
The Project Director, Devman, was engaged by LandCorp on 5 October 2016 in accordance with the Procurement Plan for the Chinatown Revitalisation Project. This Project Management Consultancy firm will lead a team of specialist consultants to deliver the feasibility studies and/or design and construction projects detailed in the Chinatown Revitalisation Business Case.
Further to this, the Communications and Engagement consultancy team were also engaged by LandCorp on 12 September 2016. This was awarded to the partnership of RFF Australia and the Broome Chamber of Commerce and Industry. The role of this consultancy is to manage all external communications for the suite of projects forming part of the CRP and manage community and stakeholder engagement for the feasibility projects, with the exception of the Cultural and Interpretive Centre.
The second milestone date was 31 December 2016 and required the submission of finalised project plans for all ten sub-projects and the completion of the Chinatown Investment and Development Coordinator Two Year Activity Plan. These milestone requirements have been met and further funds of $1.3 million have been released and form part of the 2nd Quarter Finance and Costing Review considerations. The Activity Plan is currently under review and amendment following feedback from members of the Project Control Group. The draft document is attached (Attachment 2) for Council’s information. In brief the plan outlines the following:
· framework for staff operations and workload
· outline preliminary activation initiatives
· schedule for implementation of activation initiatives
· matched funding opportunities
Further, at the Ordinary Meeting of Council held on 25 August 2016, Council resolved the following:
|
COUNCIL RESOLUTION: (REVISED REPORT RECOMMENDATION)
Moved: Cr C Mitchell Seconded: Cr H Tracey
That Council: 1. Delegates authority to the Chief Executive Officer to make decisions and execute documents on behalf of the Shire in relation to the Chinatown Revitalisation Project in accordance with; (a) Sections 5.42 and 9.49A (4) of the Local Government Act 1995; (b) The Funding Assistance Agreement with the Department of Regional Development; (c) The MOU with Kimberley Development Commission and Landcorp; and (d) The approved Governance Structure for the project.
2. Notes the intended establishment of a Cultural Centre Working Group and its proposed membership and endorses the decision to invite the Chief Executive Officer of Nyamba Buru Yawuru to chair the working group.
3. Notes that the goal of the working group is to develop a concept with a sound business case for the development of an iconic cultural centre that is a major new attraction for visitors and locals alike, presenting the full diversity and depth of all Broome’s and the region’s history, art and culture.
4. Requests the Chief Executive Officer to; (a) draft Terms of Reference for the Working Group that reflects the above purpose in consultation with the members of the Chinatown Steering Group for Council’s consideration and endorsement at the September Ordinary Meeting of Council; and b) include a representative of the WA Museum in the Terms of Reference for the Working Group.
5. Notes the resignation of Anthea Demin as a Community Representative on the Chinatown Stakeholder and Community Reference Group and thanks her for her contribution to date.
6. Requests the Chief Executive Officer to advertise publicly for expressions of interest to fill the vacancy on the Chinatown Stakeholder and Community Reference Group for Council’s consideration.
CARRIED UNANIMOUSLY BY ABSOLUTE MAJORITY 8/0 |
Sub-Project 3 of the CRP is the Feasibility and Design of a Cultural and Interpretive Centre. This project will comprise community and stakeholder engagement, site services investigation, planning, tenure and detailed analysis of the capital, operational and governance requirements for a Broome Cultural and Interpretive Centre. The final task will be to undertake a detailed design and finalise architectural plans and site selection.
The Cultural and Interpretive Centre Working Group has met on three occasions and includes the following membership:
· Chief Executive Officer – Nyamba Buru Yawuru (Chair)
· Chief Executive Officer – Shire of Brome
· Chief Executive Officer – Kimberley Development Commission
· Regional Manager Northern and Goldfields Regions– LandCorp
· Director Destination Development and Projects – Tourism WA
· Nominee of WA Museum
· Other members as appointed by the Chinatown Steering Committee
At this point the Group has undertaken a preliminary visioning exercise in preparation for the engagement of the key consultant on this project.
At the Ordinary Meeting of Council held on 15 December 2016, the following was resolved in regards to Cultural and Interpretative Centre sub-project:
|
COUNCIL RESOLUTION: (REPORT RECOMMENDATION) Moved: Cr C Mitchell Seconded: Cr H Tracey That Council: 1. Endorse the Cultural and Interpretive Centre Working Group Terms of Reference as attached to this report; 2. Accept the Tourism WA TDDI funding of $100,000 and match it against the existing Cultural and Interpretive Centre Feasibility Project funding by the Department of Regional Development; and 3. Approves the Tourism WA TDDI Grant Agreement and authorises the Chief Executive Officer to engross all documentation as required.
CARRIED UNANIMOUSLY 7/0 |
COMMENT
During consideration of the governance structure for the CRP, the following structure was endorsed:

The Chinatown Stakeholder and Community Reference Group was established at the Ordinary Meeting of Council held 27 August 2015. The first meeting of the Group was held on 4 March 2016 and meetings have occurred for the most part on a monthly basis since then. A copy of the minutes from each meeting held to date are attached (Attachment 3) to this item and provided for Council’s information.
The Terms of Reference state that the purpose of the Chinatown Stakeholder and Community Reference Group is to:
1. Provide input and feedback to the Project Control Group and Council on the Revitalisation of Chinatown.
2. Ensure the community and key stakeholders are appropriately engaged in the design and delivery of projects as part of the Chinatown Revitalisation.
3. Act as a conduit between the Project Working Group and the community and traders and landowners in Chinatown.
In brief the Group has been presented the following information and/or deliberated on the following initiatives:
· Provided details and updates on the Business Case and progress through Cabinet
· Provided project information and updates
· Considered short-term wins
· Reviewed the taxi rank location
· Reviewed parking restrictions and availability
· Proposed a Dampier Tce Alfresco Dining Trial
· Presented a Chinatown Entry Statement Proposal
· Provided information on a Chinatown Style Guide
· Considered the deteriorating DMcD Pearl Lugger
· Considered Wi-fi opportunities
· Considered Marina proposal
· Presented Governance Structure for delivery of the CRP
· Provided updates from the Project Control Group
· Considered progress of the Chinatown Christmas Party
· Presentations from the Communications consultant
· Considered opportunities for Streeters Jetty to become a functional facility
· Presentation received from the Chinatown Investment and Development Coordinator
With the appointment of key consultancies expected by the end of February 2017, it is envisaged this group will have a key role to play in the formulation of streetscape plans and place making initiatives.
A high level project plan forms Attachment 4 to this report for Council’s information. This indicates the feasibility projects are currently within the ‘Preliminary Analysis and Fatal Flaws’ stage, with the Design and Delivery Projects in the ‘Site Investigation’ stage. Council will continue to be informed of progress on the CRP through monthly briefing updates and six-monthly formal reports.
CONSULTATION
Kimberley Development Commission
Landcorp
Yawuru
Chinatown Stakeholder and Reference Group
Chinatown Investment and Development Coordinator
STATUTORY ENVIRONMENT
Nil
POLICY IMPLICATIONS
Nil
FINANCIAL IMPLICATIONS
At the SMC held on 17 June 2016, Council resolved to:
(a) Allocate $1.7 million dollars over the 2016/17 and 2017/18 financial years to the Chinatown Revitalisation Project.
The Terms of Reference for the Steering Group includes responsibility;
- To approve and manage the release of funds in accordance with agreed budget, process, timelines and milestones within each project and within standard government accountability guidelines;
It should be noted that any budget amendments required to reflect the terms of the Funding Assistance Agreement entered into with the Department of Regional Development will be brought to Council for approval via the quarterly Financial and Costing Review process.
RISK
The Governance Agreement and Terms of Reference for the CRP have been developed with high regard for the risks associated with the project as outlined in the report considered by Council at the SMC held 17 June 2016.
STRATEGIC IMPLICATIONS
Our People Goal – Foster a community environment that is accessible, affordable, inclusive, healthy and safe:
Effective communication
Affordable services and initiatives to satisfy community need
Accessible and safe community spaces
Our Place Goal – Help to protect the nature and built environment and cultural heritage of Broome whilst recognising the unique sense of the place:
A preserved, unique and significant historical and cultural heritage of Broome
Retention and expansion of Broome’s iconic tourism assets and reputation
Our Prosperity Goal – Create the means to enable local jobs creation and lifestyle affordability for the current and future population:
Affordable and equitable services and infrastructure
Our Organisation Goal – Continually enhance the Shire’s organisational capacity to service the needs of a growing community:
Sustainable and integrated strategic and operational plans
Responsible resource allocation
Effective community engagement
Improved systems, processes and compliance
VOTING REQUIREMENTS
Simple Majority
|
That Council: 1. Notes the progress achieved to date in the delivery of the Chinatown Revitalisation Project as outlined in this report; 2. Notes the minutes of the Chinatown Stakeholder and Reference Group meetings as attached; and 3. Notes the Draft Chinatown Investment and Development Coordinator’s Two Year Activity Plan. |
|
Financial Assistance Agreement |
|
|
CIDC 2 Year Activity Plan |
|
|
CSRG Meeting Minutes |
|
|
High Level CRP Project Plan |
9.2

PRIORITY STATEMENT
The Shire of Broome has an abundance of unique natural features, coastal attractions, significant streetscapes, historic precincts and a mix of old and new urban developments.
Our aim is for all communities and settled areas, including the Broom Township, to be a place where the natural environment, on which life depends, is maintained, whilst at the same time the built environment contributes to the economy and a quality lifestyle for all.
Preserving the Shire’s natural environment is a critical community outcome. Council will put into place strategies that nurture and improve the Shire’s unique environment and biodiversity.
The Shire will work in partnership with the community and other agencies to ensure responsible and accountable management of both the natural and build environments is achieved in the short term and for future generations.
|
9.2.1 DESIGN WA - SHIRE OF BROOME SUBMISSION LOCATION/ADDRESS: Nil APPLICANT: Nil FILE: PLA01 AUTHOR: Manager Planning & Building Services CONTRIBUTOR/S: Nil RESPONSIBLE OFFICER: Director Development Services DISCLOSURE OF INTEREST: Nil DATE OF REPORT: 22 December 2016 |
|
SUMMARY: The Western Australian Planning Commission (WAPC) has released a package of documents for public comment as a part of the Design WA planning reforms. This report includes a review of the proposed changes as a part of the Design WA reforms and recommends that Council make a formal submission. |
BACKGROUND
Previous Considerations
Nil
In August 2014, the WAPC released Planning Makes it Happen - Phase 2 Blueprint for Planning Reform. The blueprint included a number of initiatives relating to design and development with the intention of improving built form and place design outcomes. These initiatives included:
• State Planning Policy for Design of the Built Environment
• Apartment Design
• Model for Design Review
• Design Skills Discussion Paper
• Implementation and training program
The Department of Planning, on behalf of the WAPC, has progressed with the above reforms (collectively referenced ‘Design WA’) and in late 2016 released the following documents for public comment:
· Draft State Planning Policy 7: Design of the Built Environment;
· Draft Apartment Design Policy;
· Draft Design Review Guide; and
· Draft Design Skills Discussion Paper.
The public comment period closed on the 20 December 2016, however the Department has granted an extension to the end of February 2017 to enable sufficient time for the industry to make submissions.
Copies of each of the above documents, together with a brochure providing an overview of the process can be accessed from the following link: https://www.planning.wa.gov.au/publications/DesignWA.asp.
COMMENT
The planning documents that form part of the Design WA process do have the potential to impact upon development and assessment processes in the Shire of Broome. An overview of each document and potential implications is provided below.
Draft State Planning Policy 7: Design of the Built Environment (SPP 7)
SPP 7 is a new State Planning Policy which will apply to the whole built environment and is intended to be the lead policy of the Design WA reforms.
SPP 7 will be used as the basis for developing new policies and will apply to all levels of the planning hierarchy - structure planning, subdivision, major public works and development applications. Section 6 of the policy details the measures and establishes the following:
· Design Principles – 10 principles of good design have been established with the intent of providing a consistent framework to guide the design, review and decision making processes for planning proposals.
· Design Review – this measure outlines that design review is an important component of the design process, particularly to negotiate the design elements of complex proposals. This section sets out that State, local government and/or precinct authorities are required to establish and operate design review processes to review applications of certain thresholds set out the in the WAPC Design Review Guide.
· Design Skills – this measure establishes that using skilled and competent designers for planning proposals is an important component to achieve quality design outcomes. It is intended that amendments are made to the Planning and Development (Local Planning Schemes) Regulations 2015 (the Regulations) which will require that applications meeting a certain threshold (yet to be determined) will have to be prepared by a pre-qualified designer/architect. Every application meeting the thresholds will need to be accompanied by information that:
a. verifies the person who has designed, or directed the design or development; and
b. provides an explanation of how the proposal addresses the 10 design principles and reference how the design objectives, criteria and guidelines under an applicable SPP (i.e. the R-Codes or the proposed Apartment Design Policy) have been achieved.
While the Design Principles aspect of the SPP 7 will be capable of being implemented in isolation of other changes, the Design Review and Design Skills measures of the SPP will require amendments to the Regulations and other changes which are foreshadowed in the draft Design Review Guide and draft Design Skills Discussion Paper, which are further outlined below.
Overall the intent of the SPP to establish design principles is supported. Concern is raised with the Design Review measure in SPP 7, in that local governments are required to establish and operate a design review process. This is considered administratively onerous and may impose unnecessary financial burden on local governments and applicants. This is further discussed in relation to the Design Review Guide below.
It is therefore recommended that the Shire submit that it supports the general intent of SPP 7, however does not support the Design Review measure contained in the SPP. It is also recommended that the WAPC provide clarification on how the Policy will apply to Public Works proposals, given that they are exempt from the need to obtain development approval. A copy of the draft submission is provided in Attachment 1.
Draft Apartment Design Policy (Design Policy)
This policy has been developed to establish the standards which apartments and mixed-use developments are to be assessed against and is intended to replace the section in the Residential Design Codes (R-Codes) for multiple dwellings (currently Part 6 of the R-Codes).
The WAPC has outlined that the Design Policy is different in its approach to the current R-Codes, in that it has moved away from prescriptive controls to performance based controls which offer greater flexibility and promote positive development outcomes, rather than simply defending against negative impacts. The Design Policy represents a performance based structure by establishing Objectives and Design Guidance complemented by specific, measurable standards known as Design Criteria (which will define where an objective has been achieved) where appropriate.
The majority of the residential development that occurs in Broome is in the form of single or grouped dwellings and this Policy will not have any impact upon this type of development. The Design Policy would only apply to multiple dwellings (where one dwelling is built on top of another, also known as apartments) in areas coded R40 or higher, and therefore is only applicable in limited areas in Broome North, Six Seasons, Roebuck Estate, some areas in Old Broome, in the Town Centre (principally Chinatown) and Mixed Use zoned areas.
The Design Policy is structured into four parts:
1. Introduction - provides an overview of the Design Policy and description of how the objectives are achieved.
2. Primary controls - contains controls regarding the form and scale of new development which is directly tied to the applicable R-Code density. These controls establish standards with regard to building height, street setbacks, side and rear setbacks, plot ratio, building depth and building separation.
This section will operate in a similar fashion to the R-Codes, in that these controls are prescriptive and are established in a Tables. The Design Policy does not provide discretion to local government to vary these controls through the development assessment process, and while the Design Policy does allow for local governments to adopt variations, it is uncertain as to how this is to occur (i.e. whether it can be through a Local Planning Policy or requires an amendment to the Local Planning Scheme). Officers have concerns in relation to the inclusion of setbacks as a Primary Control without scope to vary this in the development assessment process, as is currently provided for under the R-Codes. These issues are raised in the submission as set out in Attachment 1.
Building height is also proposed to be included as a Primary Control. Currently under the R-Codes for the R40 density, a 6m maximum wall height and 9m roof height applies. Under the Design Policy, a building height limit of 3 storeys is proposed at the R40 density, with the heights increasing as the density increases. The submission expresses some concern with measuring building height in stories, however no objections are raised to increasing the height of buildings (note, the provisions of the Shire’s Local Planning Scheme will prevail over the Primary Controls to the extent of any inconsistency). If building heights are sought to be reviewed by the Shire in the future this would still be possible under the Design Policy, however an increase in densities would be required in conjunction with this.
3. Siting the building – addresses the concept design of apartment projects, including analysing and responding to the site context, interface with neighbours and the public domain, and measures to achieve quality open spaces and maximise residential amenity.
This section contains design criteria that must be addressed in apartment developments that are currently in the R-Codes, such as privacy and parking. Additional design considerations have been incorporated which relate specifically to apartment design, and include the need for bicycle parking, guidance for basement level parking areas, and more emphasis on site and context design (will require designers of apartments to provide a site analysis to show how the proposal would integrate into the local urban context). To assist in the preparation of applications, visual examples of the type of information and step-by-step examples of how to address site analysis and design response are provided.
While this section does contain additional design criteria that is to be addressed compared to what currently exists under the R-Codes, this is considered appropriate to guide this type of development. The introduction of these design criteria will achieve improved built form outcomes, which is particularly important if in the future Broome seeks to increase building densities and building height. Further, numerous visual and design concepts are provided under this section to show what are considered good outcomes. Overall, the approach of having Objectives, Design Criteria and Design Guidance is considered to achieve the balance of providing certainty to developers and landowners in the area, whist still allowing flexibility for site responsive design.
4. Designing the building – informs the design development of apartment projects, including building form, layout, functionality, landscape design, environmental performance and residential amenity.
This section introduces design considerations that are to be addressed so that apartment design is functional for the future occupants. It does this through introducing the following elements:
· Solar and day light access;
· Natural ventilation;
· Ceiling heights;
· Apartment size and layout;
· Private open space and balconies;
· Circulation and common spaces;
· Storage;
· Acoustic privacy;
· Noise and pollution;
· Apartment mix;
· Ground floor apartments;
· Facades;
· Roof design;
· Landscape design;
· Planting on structures;
· Universal design;
· Adaptive reuse;
· Mixed use;
· Awning and signage;
· Energy efficiency;
· Water management and conservation;
· Waste management; and
· Building maintenance.
With the exception of private open space and balconies, storage, apartment mix and waste management, the above are new design elements that need to be considered/addressed that are not currently contained in the R-Codes. While it is noted that this seems like a large number of elements to be addressed in designing apartments, they are practical consideration to ensure that apartment design is appropriate for future occupants. Further, the above design elements generally have design guidance only, rather than establishing design criteria. Some of the design elements mentioned above are also addressed under the National Construction Code (NCC) and assessed at the Building Application stage. The design elements proposed to be incorporated in to the Design Policy will focus more on liveability and achieving positive design outcomes, rather than the NCC which establishes minimum standards and focuses more on function.
5. Appendices – includes checklists for information required at different stages in the planning process. These checklist will assist applicants when lodging applications to compile information that demonstrates that the design elements have been addressed.
Overall, the Design Policy is considered appropriate for apartment design and also to ensure that when designing apartments, practical considerations impacting on the liveability for the future occupants are taken into account. While this Policy is more detailed than the R-Codes in terms of design elements that need to be addressed, given that this Policy will guide apartment developments (which are more complex than standard residential developments), it is considered appropriate. As such it is recommended that Council submit that it supports the Design Policy. The submission identifies some points of clarifications or recommendations to make the Policy more useable, and these are detailed in Attachment 1.
Draft Design Review Guide
The draft Design Review Guide provides guidance for local governments in establishing and operating design review processes (referred to as a design review panel), which will become a requirement under the new SPP.
A design review is a process of evaluating the design quality of a proposal and is to be carried out by a panel of appropriately-trained, multi-disciplinary built environment experts, who are experienced in offering objective and constructive design advice. The Guide provides an overview of how to establish a design review process and recommends that it is undertaken at the following stages:
· Concept design – undertaken early in the concept design, when the proposal is still flexible and can easily respond to advice given;
· Design development – when design has progressed beyond concept, generally prior to the submission of a development application, to allow for modifications prior to formal submission.
· Building permit – after development approval it is suggested that a check of the plans is undertaken by a delegate of the design review panel to ensure that the building permit is consistent with the approved development application.
The Guide outlines that the panel membership should be a pool of around seven members from which a sitting panel of four members is drawn from each review (3 members to reach a quorum). The members should have expertise in architecture, landscape architecture and urban design, however membership can also extend to the planning, heritage, transport planning and civil and structural engineering professions. The Guide establishes that for the panel to be independent and apolitical, decision-makers, elected members and local government staff should not be appointed as panel members (however local government planning staff should participate in all design reviews). Further, one of the ‘best-practice principles’ of the panels is independence which is where panel members are unconnected with the proposal’s promoters and decision makers and conflicts of interest should not arise.
Procedures are recommended in the Guide to address matters such as quorums and attendance; panel member preparation; agendas; meeting formats; reporting; etc. All of these processes would need to be refined and then coordinated by the local government.
In terms of funding and remuneration, the Guide establishes that local governments are responsible for the funding and remuneration of design review panels and outlines that three different funding models are under consideration:
· Local government appropriated funds – promoted as proponents may be more likely to seek design review earlier in the design process;
· Proponent funded – a set fee, or development application fee, committing applicants to a minimum number of reviews which may encourage proponents to seek design review earlier in the design process;
· A balance of local government appropriated funding and proponent fee – local governments could offer a set number of design reviews under appropriated funding, with extra reviews paid for by the proponent.
It is proposed that only those applications which meet the following thresholds would need to undergo the design review process:
· Commercial developments DAP threshold (over $10 million in estimated development value);
· Apartment development DAP threshold (over $10 million in estimated development value);
· Apartment development equal to or greater than 10 dwellings; and
· Activity centre plans and structure plans.
Examples of developments in Broome that would meet these types of thresholds would include resort developments over $10 million in value, the Shiba Lane apartments, the multiple dwelling development at 25 Dalmatio Street (Broome North) and all the structure plans prepared.
Overall, while the theory of having design review panels is considered positive, requiring that all local governments have such a process will introduce significant administrative burden and costs. In Broome’s context, based on the thresholds proposed, only a small portion of developments would need to be considered by a design review panel, yet the administrative burden to establish and maintain the panel would be high. Further, while it is noted that early discussion in the concept and design phase with proponents and local governments can result in improved outcomes and time savings (which is a practice already promoted by the Shire), the introduction of a panel will result in additional costs and administrative burden on both the local government and applicants, which is considered unnecessary, particularly in Broome’s case when only a small amount of developments would be captured.
While such a panel may be able to operate in a larger metropolitan context (where there is a pool of potential multi-disciplinary panel members) in the case of Broome, while there are a number of high-quality practitioners that would meet the panel member criteria, they may have a conflict, as they may be acting on behalf of the applicant or quoted on the project. The requirement for the panel to be ‘independent’ in Broome’s case is likely to increase the cost of administering a panel as panel members may have to be sourced from outside of Broome.
Also, while it is understood that the panel’s role is to provide design feedback and recommendations, the Guide does not address how the recommendations are to be dealt with, i.e. whether the applicant has to amend the design to address recommendations raised or provide a justification for why the recommendation cannot be accommodated. Further, the role of the design review panel is in conflict with the planning assessment process, where considerations are limited to the proposal put forward, not whether an alternative design would be better.
It is therefore recommended that Council submit that while the Design Review process is considered to have merit, the need to have a panel is considered administratively onerous and should not be a requirement under the State Planning Policy, rather it should be at the discretion of each local government to opt to have a design review panel or not. Further, the improvements overall to design outcomes that will be achieved through the introduction of the other elements of the new SPP mean there is less justification for the need for a Design Review Panel.
Draft Design Skills Discussion Paper
This discussion paper presents options on possible policy or legislative changes to require development that meets certain thresholds must be designed or accredited by a qualified registered architect or other licensed design professional. In preparing this discussion paper, the Department has engaged with representatives from the Australian Institute of Architects, Buildings Designers Association of WA and the Property Council of Australia.
The discussion paper foreshadows the following options:
· Option one – threshold based regulations
This approach proposes that developments meeting certain thresholds are required to be prepared or certified by a registered architect prior to the lodgement of a development application. This option and introduction of specified thresholds are likely to require amendments to the Planning and Development Act 2005, the Regulations and the draft SPP 7.
The thresholds to capture what type of development would need to be prepared by an architect could either be based on building type (i.e a development containing 10 or more dwellings or reaching a height of 3 or more storeys) or based on the estimated development value (such as the DAP thresholds).
· Option two – competency standards
This would see the introduction of performance-based requirement for design skills and developments would then need to be prepared by a person accredited as meeting the competency standards. A similar example is the accreditation of bushfire practitioners by the Fire Protection Association of Australia for the purpose of meeting the requirements of recently implemented bushfire risk management requirements.
· Option three – no regulation
In accordance with this option, anyone may prepare and lodge plans as part of a development application for projects of any scale, as is currently the case. The development application would then be assessed on its merits against the requirements of
SPP7 and the Apartment Design Policy.
With regard to the options above, it is recommended that the Shire submit if the State is going to introduce design skills standards then the first option of threshold based regulation should be used. This is considered a more appropriate response as Architects are already required to be registered under the provisions of the Architects Act 2004. If this type of skills standard is going to be introduced, it is important that the thresholds for applications are determined appropriately based on the type of development which is being designed. In this regard, the DAP thresholds could be used as a threshold. Note that recent amendments to the DAP Regulations have excluded warehouse development meaning that this type of proposal could still be prepared by a building designer who is not a registered architect.
Summary
Overall, while there are some elements of the Design Review process that need to be clarified, the new documents are generally considered positive and it is recommended that the Shire submits its support of the proposal. This support however, does not extend to the requirement in the SPP for local government to run a design review process. A copy of the proposed draft submission is set out in Attachment 1.
CONSULTATION
Nil.
STATUTORY ENVIRONMENT
Planning and Development Act 2005
POLICY IMPLICATIONS
Nil.
FINANCIAL IMPLICATIONS
The potential introduction of Design Review Panels which is proposed in the SPP could have financial implications for the Shire of Broome.
The establishment of a Design Review Panel as recommended in the Design Review Guide would place significant administrative burden on the Shire. Further, the Shire would have to pay for the services of the expert members selected to sit on the panel. The Guide outlines that based on a survey of existing panels, operating costs vary from $12,000 to $120,000 per annum (note this does not include administrative costs in setting up the panel, selecting the panel members, training of members, minutes and agenda, meeting room, travel costs, etc).
RISK
Nil.
STRATEGIC IMPLICATIONS
Our People Goal – Foster a community environment that is accessible, affordable, inclusive, healthy and safe:
Affordable services and initiatives to satisfy community need
Accessible and safe community spaces
A healthy and safe environment
Our Place Goal – Help to protect the nature and built environment and cultural heritage of Broome whilst recognising the unique sense of the place:
Realistic and sustainable land use strategies for the Shire within state and national frameworks and in consultation with the community
A built environment that reflects arid tropical climate design principles and historical built form
A unique natural environment for the benefit and enjoyment of current and future generations
Our Prosperity Goal – Create the means to enable local jobs creation and lifestyle affordability for the current and future population:
Affordable and equitable services and infrastructure
Affordable land for residential, industrial, commercial and community use
VOTING REQUIREMENTS
Simple Majority
|
That Council endorses the submission on the Design Review WA documents as set out in Attachment No 1 and requests the Chief Executive Officer to forward the submission to the Western Australian Planning Commission. |
|
Draft Submission |
|
Item 9.2.1 - DESIGN WA - SHIRE OF BROOME SUBMISSION |
STATE PLANNING POLICY 7: DESIGN OF THE BUILDING ENVIRONMENT
|
Section / Clause |
Officer Comments |
Recommendation |
|
General Comment
|
The Shire supports the intent of State Planning Policy (SPP) and welcomes the investment the WAPC has made to seek to improve built form and place design outcomes through the Design WA reforms.
This support does not extend to the design review process under part 6 of the SPP. While the Shire acknowledges that such a process may have merit in other local government authorities, requiring a design review process to be implemented through a SPP is considered inappropriate and it should be left to each local government’s discretion to have a design review process or not. |
|
|
4 – Application of Policy
This policy and complementary State Planning Policies, including their objectives, criteria and guidance (where relevant) apply to the design, review and assessment of: · Activity Centre Plans · Structure Plans · Local Development Plans · Subdivision · Residential development (including residential components of mixed use development) · Institutional development · Public works |
Given that Public Works are exempt from the need to obtain development approval, clarification is sought on how this Policy is to guide the preparation of Public Works proposals. |
Clarification is provided whether the Policy will apply to Public Work proposal.
|
|
6 – Measures
Design Review
Design review is an important component of the design process; particularly to negotiate the design elements of complex proposals. The process is scalable and may include design review by one or a number of experts (panel).
State, local government and/or precinct authorities are required to establish and operate design review processes to review applications of certain thresholds set out in the WAPC Design Review Guide. |
The SPP states that design review is a requirement.
For a local government like Broome, the requirement to establish a Design Review panel is considered administratively onerous and a financial burden. Specific concerns with the proposed Design Review Guide is outlined in the comments below.
While it is acknowledged that proposed Design Review process could deliver positive outcomes, this may only be appropriate for local governments which receive a large number of the ‘threshold applications’.
Further given the cost in running Design Review processes, each local government should have discretion to choose whether it wants to implement a design review process and it should not be mandated. |
The State Planning Policy is amended to outline that it is at the Local Government’s discretion whether a Design Review process is adopted. |
DRAFT APARTMENT DESIGN POLICY (DESIGN POLICY)
|
Section / Clause |
Officer Comments |
Recommendation |
|
General Comments
|
The Shire of Broome welcomes the release of the draft SPP 7.3 – Residential Design Codes Guidance for multiple-dwelling and mixed use developments (Design Policy). While the predominant residential development activity that occurs in Broome is in the form of single or multiple dwellings, as Broome plans for its future growth and the possibility of increase in densities, this document will be important in ensuring positive apartment design outcomes.
The Design Policy is considered appropriate to address apartment design and also to ensure that when designing apartments, practical considerations that will impact upon the liveability of the future occupants are taken into account. While this Policy is more detailed than the R-Codes in terms of design elements that need to be addressed, given that this Policy will guide apartment development (which are more complex than standard residential development), it is considered appropriate. |
|
|
1.1 – Preliminary
Varitations to Volume Two of the Residential Design Codes
Where amendments or replacements to primary controls and planning criteria are consistent with the relevant planning objectives, local planning policies, local development plans, structure plans and activity centre plans may contain provisions that: · with the approval of the WAPC, amend or replace the primary controls and planning criteria contained in the following sections of this policy: - Streetscape character types - Plot ratio - Building height - Building depth - Building separation - Street setbacks - Side and rear setbacks - Incentive-based development standards.
|
This section of the Policy outlines that amendments or variations to Primary Controls can occur through a range of planning instruments, which includes local planning policies, structure plans, etc. This section appears to contradict the text provided under part 2 – primary controls, which implies that amendments or variations can only occur through an amendment to a Local Planning Scheme.
Further, this section appears to be inconsistent with the WAPC’s Structure Plan Framework and the Planning and Development (Local Planning Schemes) Regulations (the Regulations) which states that the Regulations do not allow structure plans to vary the requirements of the R-Codes.
This ambiguity needs to be clarified.
It is submitted that a Structure Plan is not an appropriate mechanism for amending primary controls and instead this should be undertaken through the preparation of a Local Development Plan (LDP), as these are more detailed planning instruments and are generally focused on a particular precinct and built form outcome, rather than a broader land use document like a Structure Plan. |
1. Correct typo in heading, should be ‘variations’ not ‘varitations’. 2. The WAPC needs to clarify in this section and further in part 2 – primary controls, which planning process is required to introduce amendments or variations to primary controls. 3. The WAPC needs to clarify whether primary controls can be amended through provisions within a Structure Plan. Tt is recommended that a Local Development Plan is a more appropriate planning instrument for detailed amendments to primary controls. |
|
2.1 Primary Controls
Street, side and rear setbacks
Table 1 – Primary Controls Table
Minimum Street Setbacks – 4m R40 – R160 (Detached streetscape pattern)
Minimum Side and Rear Setback – 3m and 6m (Detached streetscape pattern)
|
Currently in the R-Codes, Table 4 contains the minimum primary and secondary street setback which are 4m and 1.5m respectively at the R40 density. These setbacks decrease to 2m for both primary and secondary setback under the higher density codes and no minimum rear setback is prescribed (it is controlled by Tables 2a and 2b based on the height and the length of the wall). The Design Policy prescribes greater minimum setbacks to that currently provided which may impact upon development viability for lots.
Further, under clause 6.1.3 and 6.1.4 of the current R-Codes, Design Principles are established which enable a performance assessment of applications and variations to the minimum setbacks if warranted on a case-by-case basis at the development assessment stage. As setbacks are a primary control, as set out in the comments above, it is uncertain where any discretion exists to be able to vary a primary control and what mechanism is required to allow for a variation (i.e whether the Scheme has to be amended or if it could occur through an LDP or Local Planning Policy).
|
That consideration be given to either: a) removing setbacks as a Primary Control and making them a ‘Siting the Development’ design element under Part 3. This would enable minimum setbacks to be established as Design Criteria, while allowing these to be varied on a site by site basis where the overall objective can be satisfied; or b) Establishing ‘design principles’ specifically for setbacks under the Primary Controls to enable variations to be considered where warranted. |
|
2.1 Primary Controls
Building Height
Table 1 – Primary Controls Table establishes building height limit in storeys, rather than in metres. |
Establishing control measures in storeys rather than metres is problematic. Height controls should be measured in metres and a description can be provided in explanatory text setting out on average how many building storeys are likely within the building height controls. |
That building height controls are in metres not storeys or alternatively a definition is provided in relation to the height of a building storey. |
|
3.9 Vehicle Access
Vehicle access points are designed and located to minimise streetscape impacts and avoid conflicts between pedestrians and vehicles. |
The objective provided under this section is appropriate, however subjective. It is considered that given the impact vehicle access can have upon a number of design elements, Design Criteria should be included to have measurable standard of when the objective is deemed satisfied. The existing deemed-to-comply criteria under the R-Codes could be used.
Also recommended that Design Criteria is included on the driveway standards and the need for vehicles to enter the street in forward gear in set situations. |
1. That Design Criteria are included with measureable controls regarding the number of vehicle access points. 2. That Design Criteria are included on driveway standards, particularly where driveways are required to allow for two way vehicle movement and vehicles entering the street in forward gear. |
|
4.5 Private Open Space and Balconies
Design Criteria is established which allows for studio apartment and 1 bedroom apartment is to have minimum 8sqm of private open space/balconies. |
Currently under the R-Codes, each unit must be provided with at least one balcony with a minimum area of 10sqm and minimum dimension of 2.4m. Under the Design Policy it is proposed to be reduced to 8sqm for both studio and 1 bedroom apartments and in the case of studio units, the minimum dimensions have been reduced to 2sqm.
Given this is the only area of private open space available to future residents, to ensure that outdoor open space remains usable for future residents the existing minimum standards under the R-Codes should be maintained. This is particularly important in Broome, where outdoor living forms an integral part of lifestyle. |
That the Design Criteria for private open space and balconies for studio apartments and 1 bedroom units be maintained as per the existing deemed-to-comply criteria under the R-Codes. |
DRAFT DESIGN REVIEW GUIDE
|
Section / Clause |
Officer Comments |
Recommendation |
|
General Comments |
Overall, while the theory of having design review panels is considered positive, requiring that all local governments have such a process will introduce significant administrative burden and cost. In Broome’s context, based on the thresholds proposed only a small portion of developments would need to be considered by a design review panel. However, the administrative burden to establish and maintain the panel would be high. Further, while it is noted that early discussions in the concept and design phase with proponents and local governments can result in improved outcomes and time savings (which is a practice already promoted by the Shire), the introduction of a panel will result in additional costs and administrative burden on both the local government and applicants. This is considered unnecessary, particularly in Broome’s case when only a small amount of developments would be captured. |
While the Design Review process is considered to have merit, the need to have a panel is considered administratively onerous and should not be a requirement under the State Planning Policy. Instead, this should be at the local government’s discretion. Further, the improvements overall to design outcomes that will be achieved through the introduction of the other elements of the new SPP mean there is less justification for the need for a Design Review Panel. |
|
5 How to establish design review processes
For design review to be effective, it must be conducted in a manner that is fair, robust and credible. The following ‘best practice’ principles of design review should be used to guide the review process and set an appropriately high standard of conduct from panel members.
Design review should be:
Independent It is conducted by people who are unconnected with the proposal’s promoters and decision-makers and ensures that conflicts of interest do not arise.
Expert It is carried out by suitably trained people who are experienced in design and know how to criticise constructively. Review is usually most respected when it is carried out by professional peers of the project designers, because their standing and expertise will be acknowledged. |
A panel may be able to be established in a larger metropolitan context where there is a pool of potential ‘expert’ and multi-disciplinary panel members. However in the case of Broome, while there are a number of high-quality practitioners that would meet the panel membership criteria, they are likely to have a conflict as they may be acting on behalf of the applicant. The requirement for the panel to be ‘independent’ in Broome’s case is therefore is likely to increase the costs of administering a panel, as panel members may have to be sourced from outside of Broome.
|
The Design Review process is not made a requirement through the State Planning Policy. |
|
5 How to establish design review processes
Role description
The role of a design review panel is to provide independent, expert design advice: - to decision-makers (local governments, Development Assessment Panels, the State Administrative Tribunal) on eligible development applications in design reviews - through design workshops where necessary - held to assist with the design development of larger or strategic projects. - to local governments, where sought, on strategic policy, master plans, precinct plans, Local Development Plans, Structure Plans, Activity Centre Plans and Local Planning Scheme amendments, to guide the quality of wider precincts.
Design review panels are advisory only and do not have a decision-making function. The panel advises on the design quality of applications with reference to design principles (from SPP 7, refer to Part 4) and supporting State Planning Policies, as well as Local Planning Schemes and policies. Decision-makers must pay due regard to the design review assessment outcomes in their deliberations. The panel may identify and recommend improvements necessary to achieve consistency with the wider planning framework. |
While it is understood that the panel’s role is to provide design feedback and recommendations, the Guide does not address how the recommendations are to be dealt with (i.e. whether the applicant at any stage of the design review process has to amend the design to address recommendations raised or provide a justification for why the recommendation cannot be accommodated). Further, the role of the design review panel is in conflict with the development assessment process, where considerations are limited to the proposal put forward, not whether an alternative design would be better
|
The Design Review process is not made a requirement through the State Planning Policy. |
|
5 How to establish design review processes
Funding and remuneration
Local governments are responsible for the funding and remuneration of design review panels. Entitlements for design review panel members include remuneration and the payment of expenses.
In 2016, a survey of existing design review panel processes indicated that design review panel operating costs varied from $12,000 - $120,000, depending on the number of eligible proposals submitted for review, frequency of meetings and the extent to which the panel is called upon to contribute to the development of local policies and precinct planning. The investment in design review was considered good value-for-money as it offered broad and long-term benefits to the community. Funding models for consideration include:
Local government appropriated funds - If local governments fund design review, then proponents may be more likely to seek design review earlier in the design process.
Proponent funded - Design review fees create an incentive to appoint a skilled designer and pursue good quality design from the outset, so that the number of reviews are minimised. - A set fee, or development application fee, committing applicants to a minimum number of reviews may encourage proponents to seek design review earlier in the design process.
A balance of local government appropriated funding and proponent fee - Local governments could offer a set number of design reviews under appropriated funding, with any extra reviews paid for by the proponent.
It is important that remuneration for design review panel members is fair and equitable. Remuneration should reflect the professional standing of design review panel members and their time taken to prepare for and participate in meetings. |
While the concept of design review panels is considered sound, requiring that all local governments have such a process will introduce significant administrative burden and costs (it is noted that the operating costs provided do not included the administrative expense to local government in establishing and running a panel, it is the direct panel member costs only). In Broome’s context, based on the thresholds proposed, only a small portion of developments would need to be considered by a design review panel. However, the administrative burden to establish and maintain the panel would be high. Further, while it is noted that early discussions in the concept and design phase with proponents and local governments can result in improved outcomes and time savings (which is a practice already promoted by the Shire), the introduction of a panel will result in additional costs and administrative burden on both the local government and applicants, which is considered unnecessary, particularly in Broome’s case when only a small amount of developments would be captured.
|
The Design Review process is not made a requirement through the State Planning Policy. |
|
7 Design review modes and thresholds
Interim procedures until a full design review panel is appointed
The Design Review Threshold Table (page 27) establishes that ‘commercial development DAP threshold’ and ‘apartment Development DAP threshold’ are to be considered by the State Design Review Panel as an interim procedure.
|
No information is provided within the Guide as to the process (including timing, sitting dates, costs etc) of the State Design Review Panel (SDRP), yet the Guide establishes that in the interim while each local government is establishing a full design review panel that relevant applications are to be referred to the SDRP.
It is unclear who is to pay for consideration of a proposal by the SDRP, how a referral is to occur, or whether such applications could be considered within the strict timeframes required by the DAP Regulations to prepare the Responsible Authority report on which the DAP is to base its decision on.
|
The Design Review process is not made a requirement through the State Planning Policy. |
|
7 Design review modes and thresholds
Design Review Threshold
The Design Review Threshold Table (page 27) establishes that ‘commercial development DAP threshold’, ‘apartment Development DAP threshold’, ‘apartment development equal or greater than 10 dwellings’ and ‘activity centre and structure plans’ are to be subject to a design review process.
|
Given that local governments are not a decision making authority in the case of Structure Plans (the WAPC is) and further as the expertise of the panel members is orientated more to built form outcomes, the need for structure plans to be referred to a design review panel is questioned.
|
Structure Plans not be included as a planning instrument which is to be considered by a design review panel. |
DRAFT DESIGN REVIEW DISCUSSION PAPER
|
Section / Clause |
Officer Comments |
Recommendation |
|
4 – Options for consideration
· Option one – threshold-based regulation · Option two – competency standards · Option three – no regulation |
If design skills standards are going to be introduced then the first option of threshold based regulation should be used. This is considered a more appropriate response as architects are already required to be registered under the provisions of the Architects Act 2004. If this type of skills standards is going to be introduced, it is important that the thresholds for applications are determined appropriately based on the type of development which is being prepared. In this regard, the DAP thresholds could be used as a threshold.
|
The threshold based regulation is selected as the preferred option.
|
|
9.2.2 CIRCUS ROYALE EVENT APPLICATION LOCATION/ADDRESS: Male Oval APPLICANT: Circus Royale FILE: REP004 AUTHOR: Events & Economic Development Coordinator CONTRIBUTOR/S: Nil RESPONSIBLE OFFICER: Acting Director Community Development DISCLOSURE OF INTEREST: Nil DATE OF REPORT: 19 January 2017 |
|
SUMMARY: This report seeks Council’s consideration of an application from Circus Royale to hold a series of circus performances over a seven day period on the Male Oval Concourse and Reserve between 29 May and 4 June 2017. Circus Royale seeks a total number of seven nights caravanning on Male Oval for the purpose of undertaking Circus Royale performances. This event application cannot be approved under delegation and is required to be considered by Council for the following reasons: 1. Approval is required to allow caravanning and camping other than at a caravan park or camping ground for a period that is longer than three nights; 2. Approval for the event to operate for a period longer than five days under provisions of Local Planning Scheme No. 6. This report recommends that the application be approved with minor amendments to the proposed signage. |
BACKGROUND
Previous Considerations
Nil
Circus Royale were previously approved to hold an event on Male Oval Concourse for a period of seven days including camping for this period and the holding of five, performances between 4 - 9 June 2013.
Circus Royale is a circus performance showcasing human and animal based acts including both Australian and International performers. No caged or exotic animals are featured in the circus, although the applicant is seeking permission to house camels, llamas, geese, horses and dogs on Male Oval for performance purposes.
The event applicant proposes a total of fifteen caravans and one billboard trailer to remain on site in order to accommodate a total number of 30 persons, operate a box office and hold all production equipment. They are also requesting the billboard trailer be placed onsite for a period of one week prior to the event.
The attached Circus Royale site map indicates a site footprint with the main ‘big top’ tent being 35 metres in width and the foyer tent being 10 metres in width. Peripheral trailers include a box office, kiosk, mobile homes and storage vehicles. The animals will be housed in an area with a boundary of one metre high electric fence. Photographic evidence demonstrates that the Circus Royale production equipment is aesthetically attractive and will not negatively affect the appearance of Male Oval reserve.
COMMENT
Approval to Camp
Under the Caravan Parks and Camping Grounds Regulations 1997-
Part 2 – Caravanning and camping generally, Regulation 11 (2) –
Camping other than at a caravan park or camping ground ‘(2) Written approval may be given for a person to camp on land referred to in sub regulation (1) (a) for a period specified in the approval which is longer than 3 nights (a) by the local government of the district where the land is situated, if such approval will not result in the land being camped on for longer than 3 months in any period of 12 months;
Planning Approval
In accordance with LPP 8.30 – Minor Development, an event that occurs on a temporary basis is exempt from the need to obtain planning approval. Temporary is defined as less than 120 continuous hours (the use of the land for a maximum of five consecutive days). Though this application exceeds the set period of five days by a period of two days it is recommended that this be approved as the event is considered low risk.
Parking Provision
Given that the circus will operate outside of the trading hours of most businesses within proximity to the site, it is reasoned that there will be limited, if any, conflict in the use of public parking bays by patrons of the circus and customers of businesses within proximity.
Advertising
The applicant is seeking permission to advertise the circus show times via parked billboard trailers and stationary signage. It has been requested that one of the billboard trailers be located on the Male Oval reserve for one week prior to the event commencing. The proposal of the stationary billboard truck for one week prior to the event is not supported by officers. An alternative option of Banner signage is proposed. All advertising will be addressed and controlled in accordance with the appropriate Local Laws under the direction of Development Services.
Any event signage must comply with the Shire’s Local Planning Policy 8.17 Signs. It should be noted that as per Local Planning Policy 8.17 Signs, event signage cannot involve any advertising devises which are inflatable, or devices which are illuminated with pulsating, flashing or moveable electronic writing or animation.
Recommendation
Officers are recommending approval based on the activation of Chinatown, with potential flow on benefits to Chinatown traders and assistance in building a robust Broome events calendar.
CONSULTATION
Nil
STATUTORY ENVIRONMENT
Shire of Broome Local Government Property and Public Places Local Law 2012
Definitions and Interpretations
1.6 (1) In this local law, unless the context otherwise requires: “function” means an event or activity characterised by any or all of the following:
(a) formal organisation and preparation;
(b) its occurrence is generally advertised or notified in writing to particular persons;
(c) it is organised by or on behalf of a club;
(d) payment of a fee is required for attendance; and
(e) there is systematic recurrence in relation to the day, time and place;
3.1 (1) Where a person is required to obtain an approval from the local government under this local law, that person shall:
(a) not do the thing for which the approval is required without first obtaining the approval; and
(b) apply for the approval in accordance with subclause (2).
(2) An applicant shall make an application for an approval by completing the form provided for the purpose by the local government, paying the application fee to the local government and forwarding the application to the local government.
(3) The signature of the applicant on the form under subclause (2) shall be deemed to be proof that the applicant has:
(a) read and understood any conditions printed on the application form; and
(b) accepted and agreed to comply with any conditions printed on the application form.
Determination of application
3.2 (1) The local government may, in respect of an application for an approval: (a) refuse the application; or (b) approve the application on such terms and conditions, if any, as it considers fit.
(2) Without limiting the generality of subclause (1)(b), the local government may impose conditions requiring the payment of a fee for the issue of the form of approval referred to in subclause (3) and for the renewal of the approval, including the payment of a renewal fee.
(3) If the local government approves an application under subclause (1)(b), then it is to issue to the applicant an approval in the form determined by the local government.
Conditions of approval
3.3 (1) Where an application for an approval has been approved subject to conditions, the approval holder shall comply with each of those conditions.
(2) The local government may vary the conditions of an approval and the approval holder shall comply with those conditions as varied.
Division 2 – Matters relating to approvals
Term and validity of approval
3.4 An approval remains valid until:
(a) the expiration date and time stated in the approval is reached;
(b) the activity or function for which the approval was issued is changed to the extent that it is no longer consistent with the original purpose or intent for which the approval was given;
(c) the approval is cancelled by the local government under clause 3.5; or
(d) the public liability or indemnity insurance required as a condition of an approval lapses, is cancelled or is no longer current.
3.5 (1) The local government may cancel an approval if:
(a) anything purporting to be done in accordance with the approval is not done in conformity with the conditions of the approval;
(b) the approval holder is convicted of an offence against this local law; or
(c) the approval holder fails to comply with a notice given under clause 12.1 in relation to a breach of the approval or a condition of the approval.
(2) Notwithstanding subclause (1), where an approval relates to the hiring of local government property, the local government may cancel the approval at any time. (3) Where the local government cancels an approval for the hire of local government property under subclause (2), then the local government shall not be liable to the approval holder for any loss or damage sustained by the approval holder arising from the cancellation
Part 4 – Activities Which Are Restricted Or Prohibited On Local Government Property and Public Places
Division 1 – Activities only permitted under an approval or by a sign
Activities requiring an approval 4.1 (1) A person shall not on any local government property or public place within the Broome town site area, without first having obtained an approval from the local government to do so:
(a) consume any liquor;
(b) erect a structure for public amusement or for any performance for personal gain or otherwise;
(c) conduct any function;
(d) light or set off any fireworks or conduct a fireworks display;
(e) light any fire except in a facility provided for that purpose;
(f) erect any tent, camp, hut, building or other structure, other than a beach umbrella or other portable item used for protection from the elements between sunrise and sunset on any day;
(g) coach, teach, instruct or train any person for a fee;
(h) charge a person for entry to local government property;
(i) operate any broadcasting or public address system or apparatus, other than those used by a life saving club in the performance of its functions;
(j) erect any sign;
(k) walk, lead, ride, herd or drive any large animal;
(l) play or use any musical instrument or any other similar device;
(m) pursue a use on local government property set aside for that purpose under clause 5.1
Shire of Broome Trading, Outdoor Dining ad Street Entertainment Local Law 2003
Definitions and Interpretations 1.6 In this local law unless the context requires otherwise: “trading” includes:
(a) the selling or hiring or, the offering for sale or hire of or the soliciting of orders for goods or services in a public place;
(b) displaying goods in any public place for the purpose of:
(i) offering them for sale or hire;
(ii) inviting offers for their sale or hire;
(iii) soliciting orders for their sale or hire; or
(iv) carrying out any other transaction in relation to them; and
(c) the going from place to place, whether or not public places, and:
(i) offering goods or services for sale or hire; or
(ii) inviting offers or soliciting orders for the sale or hire of goods or services, but does not include:
(d) the delivery of pre ordered goods or services to the purchaser of those goods or services, or to the person nominated by the purchaser of those goods or services to accept delivery, whether or not payment for those goods or services is made on delivery;
46. Local laws and regulations generally (1) Any regulation made under section 44 or local law made under this Act may be so made —
(a) as to apply generally or in a particular class of case, or particular classes of cases, at all times or at a specified time or specified times, throughout the district or in a specified part or specified parts of the district and in areas which although not within the district are by the operation of the provisions of this Act nevertheless to be regarded as being within the district;
(b) as to require a matter affected by it to be in accordance with a specified requirement, or as approved by, or to the satisfaction of, a specified person or body, or class of person or body, and so as to delegate to or confer upon a specified body a discretionary authority; and
(c) as to provide that in specified cases, or a specified class of case, or specified classes of cases, whether on specified conditions or unconditionally, persons or things may be exempted from its provisions either wholly or to such extent as is specified.
(2) Any regulation made under section 44 or local law may make provision for the imposition of penalties not exceeding $100 in respect of any contravention.
(3) Where in relation to a regulation made under section 44 or local law made under this Act the expression “specified” is used, the expression, unless the context requires otherwise, means specified in that regulation or local law.
Shire of Broome Health Local Law 2006
Division 3 - Keeping of Large Animals
5.3.1 Interpretation
5.3.1 In this Division, unless the context otherwise requires - "approved animal" includes a horse, cow or large animal the subject of an approval by the local government under Section 5.3.2;
"cow" includes an ox, calf, or bull;
"horse" includes an ass, mule, donkey or pony;
and "large animal" includes a pig, sheep, goat, deer or camel.
5.3.2 Conditions for keeping of an animal 5.3.2
(1) An owner or occupier of premises, within a townsite shall not keep a horse, cow or large animal on those premises without approval of the local government.
(2) An owner or occupier of premises who has an approved animal shall ensure –
(a) the premises has an area of not less than 0.2 hectares for the exclusive use of the approved animal; and
(b) the approved animal does not approach within 30 metres of a dwelling.
5.3.3 Stables
5.3.3 (1) Subject to clause 5.3.3(4) the owner or occupier of premises within the townsite, who has an approved animal is to provide for its use a stable which shall –
(a) not be situated within 30 metres of a house or other premises;
(b) have a proper separate stall –
(i) for each horse, cow or large animal; and
(ii) the floor area of which shall be a minimum of 6 square metres;
(c) have each wall and roof constructed of an approved impervious material;
(d) have on all sides of the building between the wall and the roof a clear opening of at least 150 millimetres in height;
(e) subject to subsection (3), have a floor, the surface of which shall –
(i) be at least 75 millimetre above the surface of the ground;
(ii) be constructed of cement, concrete or other similar impervious materials approved by the Manager Health Services;
(iii) have a fall of 1 in 100 to a drain which shall empty into a trapped gully situated outside the stable and shall discharge in a manner approved by the local government.
(2) The owner or occupier of any premises on which a stable is located shall –
(a) maintain the stable in a clean condition and when so directed by an Environmental Health Officer, clean, wash and disinfect it;
(b) keep all parts of the stable so far as possible free from flies or other vectors of disease by spraying with a residual insecticide or other effective means; and
(c) when so ordered by an Environmental Health Officer, spray the stable or such parts as maybe directed, with a residual insecticide.
(3) A stable constructed with a sand floor may be permitted by the local government, subject to the following –
(i) the site must be well drained with the highest known water table at least 1.5 metres below the sand floor level, which may be achieved artificially;
(ii) sand whether natural or imported, must be clean, coarse and free from dust;
(iii) the stable design must allow for the access of small earth moving machinery such as a skid steer loader, into each stall, to maintain the correct floor height;
(iv) the minimum floor area of each stall shall be not less than 28 square metres and walls shall be not less than 3 metres vertically or 4 metres horizontally;
(v) the roofed area of each stall shall not be less than 50 percent of the floor area of the stall.
(4) An owner or occupier of a premise may apply in writing to the Local Government for an exemption from compliance with the requirements of Section 5.3.3(1).
POLICY IMPLICATIONS
4.2.10 Approval to camp for up to 3 months in areas other than Caravan parks and camping Grounds
4.2.15 Trading in Public Places
5.1.11 Events
7.18 Signs
FINANCIAL IMPLICATIONS
The following fees will be payable by the applicant in line with the Shire of Broome’s schedule of fees and charges:
|
Fee Type |
Fee |
|
Event Application Fee |
$112.00 |
|
Venue hire (7 Day total) |
$5,482.40 |
|
Public Building Approvals |
$460.00 |
|
TOTAL |
$7,154.40 |
|
*A $1,100 refundable ground bond is required with venue hire. Additional costs may be charged for engineering and parks and gardens. |
|
RISK
The applicant has submitted a risk management plan, emergency site plan and site evacuation plan. Current structural certification for production equipment including tents has been supplied along with a certificate of currency for Public Liability insurance. This event is considered to be a low to medium level risk for the Shire.
Given the extended period of occupation, there is a possibility of damage to the oval surface. Should this occur, any excessive costs of rehabilitation will be withheld from the bond paid by the applicant.
The applicant is to ensure that infrastructure does not exceed the Broome International Airport height restrictions.
STRATEGIC IMPLICATIONS
Our People Goal – Foster a community environment that is accessible, affordable, inclusive, healthy and safe:
Effective communication
Affordable services and initiatives to satisfy community need
Accessible and safe community spaces
Participation in recreational and leisure activity
Our Place Goal – Help to protect the nature and built environment and cultural heritage of Broome whilst recognising the unique sense of the place:
Retention and expansion of Broome’s iconic tourism assets and reputation
Our Prosperity Goal – Create the means to enable local jobs creation and lifestyle affordability for the current and future population:
Key economic development strategies for the Shire which are aligned to regional outcomes working through recognised planning and development groups/committees
VOTING REQUIREMENTS
Simple Majority
|
That Council: 1. Approves the event application and authorises the Chief Executive Officer to issue an event permit in accordance with Events Policy 5.1.11 to Circus Royale for the staging of the proposed Circus Royale performances at Male Oval Reserve from 29 May (6am) to 4 June (12noon) 2017 subject to: a) Compliance with all local laws, State and Federal Acts and Regulations related to the event activity; b) Appropriate advice and liaison being undertaken with the Broome International Airport in relation to structural height restrictions; c) Banner signage only be approved to be in place on Male Oval for one week prior to the event being 21 May to 28 May 2017; and d) All risk control measures outlined within the Risk Management Plan submitted with the event application are followed, to the satisfaction of the Chief Executive Officer. 2. In accordance with the Caravan Parks and Camping Grounds Regulations 1997, issues approval to camp on Male Oval Reserve for a period of seven days from 29 May to 4 June 2017 for a total of 15 caravans and one billboard (Advertising) trailer for the purpose of accommodating a total number of 30 persons and required production equipment; and 3. In accordance with clause 8.2 of Local Planning Scheme No. 6, agrees that the proposal is temporary in nature and therefore does not require planning approval. |
|
Circus Royale Male Oval Site Map 2017 |
|
9.2.3 EVENT APPROVAL - FULL MOON BAREFOOT BALL LOCATION/ADDRESS: Cable Beach Reserve APPLICANT: Kyle Andrews Foundation Inc FILE: REP004 AUTHOR: Events & Economic Development Coordinator CONTRIBUTOR/S: Nil RESPONSIBLE OFFICER: Acting Director Community Development DISCLOSURE OF INTEREST: Nil DATE OF REPORT: 20 January 2017 |
|
SUMMARY: The Shire has received an event application from the Kyle Andrews Foundation Inc. to hold the Full Moon Barefoot Ball on Cable Beach in front of the Surf Life Saving Club on 12 May 2017. This event will form part of the Foundation’s 20th anniversary celebrations of the Kyle Andrews Walk. The event will have low visual impact as it will be set up over an area of 30 metres x 40 metres on Cable Beach, with flags and citronella lamps being used to mark the event boundary. No large infrastructure will be erected. A secondary area five metres square will be located in close proximity to contain temporary toilets. This event application cannot be approved under delegation and is required to be considered by Council for the following reasons: 1. Council’s Events Policy 5.1.11 requires events in Category 1 (120-500) patrons for an event located on Cable Beach to be approved by Council; 2. Access to the beach vehicle prohibited area will be required for two vehicles for the duration of the event between 10.00am and 11.00pm on 12 May 2017. |
BACKGROUND
Previous Considerations
Nil
The Full Moon Barefoot Ball will mark a milestone for the Kyle Andrews Foundation Inc in delivering 20 Kyle’s Camps in Broome and will be used to celebrate the support provided by the community. The first came about after Kyle was sitting on Cable Beach watching a sunset after undergoing a bone marrow transplant and wishing the children from the Oncology ward could come to Broome and experience his lifestyle. Since this time the Broome community has sponsored and welcomed 340 children undergoing medical treatment to Broome to experience a week of sunshine and activities. The Full Moon Barefoot Ball will welcome major contributors to celebrate the anniversary including previous attendees of the camp, carers, Princess Margaret Hospital staff and ex committee members, along with the Broome community.
COMMENT
For this event, the pre drinks and canapes will be held at the Broome Surf Life Saving Club (BSLSC) with the main part of the event being held on Cable Beach on 12 May 2017. The visual impact will be low due to the layout and design of the set up. No large infrastructure will be erected and the event area will be delineated by flags and lamps. There will be tables, chairs and a small stage to the rear of the event area near the sand dunes, along with two small bar serving areas. The food preparation will be done in commercial kitchens off site and the BSLSC will be utilised to plate individual picnic hampers for the guests. The BSLSC will be applying for and holding the liquor licence for the event.
Officers will liaise with the Kyle Andrews Foundation Inc to ensure that all public access ways to the beach remain open to the general public at all times. This is recommended to be a condition of approval for the event.
On this basis, and in accordance with the current Events Policy, this report seeks Council approval of the event.
CONSULTATION
Nil
STATUTORY ENVIRONMENT
Shire of Broome Local Government Property and Public Places Local Law 2012
Definitions and Interpretations
1.6 (1) In this local law, unless the context otherwise requires: “function” means an event or activity characterised by any or all of the following:
(a) formal organisation and preparation;
(b) its occurrence is generally advertised or notified in writing to particular persons;
(c) it is organised by or on behalf of a club;
(d) payment of a fee is required for attendance; and
(e) there is systematic recurrence in relation to the day, time and place;
3.1 (1) Where a person is required to obtain an approval from the local government under this local law, that person shall:
(a) not do the thing for which the approval is required without first obtaining the approval; and
(b) apply for the approval in accordance with subclause (2).
(2) An applicant shall make an application for an approval by completing the form provided for the purpose by the local government, paying the application fee to the local government and forwarding the application to the local government.
(3) The signature of the applicant on the form under subclause (2) shall be deemed to be proof that the applicant has:
(a) read and understood any conditions printed on the application form; and
(b) accepted and agreed to comply with any conditions printed on the application form.
Determination of application
3.2 (1) The local government may, in respect of an application for an approval: (a) refuse the application; or (b) approve the application on such terms and conditions, if any, as it considers fit.
(2) Without limiting the generality of subclause (1)(b), the local government may impose conditions requiring the payment of a fee for the issue of the form of approval referred to in subclause (3) and for the renewal of the approval, including the payment of a renewal fee.
(3) If the local government approves an application under subclause (1)(b), then it is to issue to the applicant an approval in the form determined by the local government.
Conditions of approval
3.3 (1) Where an application for an approval has been approved subject to conditions, the approval holder shall comply with each of those conditions.
(2) The local government may vary the conditions of an approval and the approval holder shall comply with those conditions as varied.
Division 2 – Matters relating to approvals
Term and validity of approval
3.4 An approval remains valid until:
(a) the expiration date and time stated in the approval is reached;
(b) the activity or function for which the approval was issued is changed to the extent that it is no longer consistent with the original purpose or intent for which the approval was given;
(c) the approval is cancelled by the local government under clause 3.5; or
(d) the public liability or indemnity insurance required as a condition of an approval lapses, is cancelled or is no longer current.
3.5 (1) The local government may cancel an approval if:
(a) anything purporting to be done in accordance with the approval is not done in conformity with the conditions of the approval;
(b) the approval holder is convicted of an offence against this local law; or
(c) the approval holder fails to comply with a notice given under clause 12.1 in relation to a breach of the approval or a condition of the approval.
(2) Notwithstanding subclause (1), where an approval relates to the hiring of local government property, the local government may cancel the approval at any time. (3) Where the local government cancels an approval for the hire of local government property under subclause (2), then the local government shall not be liable to the approval holder for any loss or damage sustained by the approval holder arising from the cancellation
Part 4 – Activities Which Are Restricted Or Prohibited On Local Government Property and Public Places
Division 1 – Activities only permitted under an approval or by a sign
Activities requiring an approval 4.1 (1) A person shall not on any local government property or public place within the Broome town site area, without first having obtained an approval from the local government to do so:
(a) consume any liquor;
(b) erect a structure for public amusement or for any performance for personal gain or otherwise;
(c) conduct any function;
(d) light or set off any fireworks or conduct a fireworks display;
(e) light any fire except in a facility provided for that purpose;
(f) erect any tent, camp, hut, building or other structure, other than a beach umbrella or other portable item used for protection from the elements between sunrise and sunset on any day;
(g) coach, teach, instruct or train any person for a fee;
(h) charge a person for entry to local government property;
(i) operate any broadcasting or public address system or apparatus, other than those used by a life saving club in the performance of its functions;
(j) erect any sign;
(k) walk, lead, ride, herd or drive any large animal;
(l) play or use any musical instrument or any other similar device;
(m) pursue a use on local government property set aside for that purpose under clause 5.1
Shire of Broome Trading, Outdoor Dining ad Street Entertainment Local Law 2003
Definitions and Interpretations 1.6 In this local law unless the context requires otherwise: “trading” includes:
(a) the selling or hiring or, the offering for sale or hire of or the soliciting of orders for goods or services in a public place;
(b) displaying goods in any public place for the purpose of:
(i) offering them for sale or hire;
(ii) inviting offers for their sale or hire;
(iii) soliciting orders for their sale or hire; or
(iv) carrying out any other transaction in relation to them; and
(c) the going from place to place, whether or not public places, and:
(i) offering goods or services for sale or hire; or
(ii) inviting offers or soliciting orders for the sale or hire of goods or services, but does not include:
(d) the delivery of pre ordered goods or services to the purchaser of those goods or services, or to the person nominated by the purchaser of those goods or services to accept delivery, whether or not payment for those goods or services is made on delivery;
46. Local laws and regulations generally
(1) Any regulation made under section 44 or local law made under this Act may be so made —
(a)as to apply generally or in a particular class of case, or particular classes of cases, at all times or at a specified time or specified times, throughout the district or in a specified part or specified parts of the district and in areas which although not within the district are by the operation of the provisions of this Act nevertheless to be regarded as being within the district;
(b) as to require a matter affected by it to be in accordance with a specified requirement, or as approved by, or to the satisfaction of, a specified person or body, or class of person or body, and so as to delegate to or confer upon a specified body a discretionary authority; and
(c) as to provide that in specified cases, or a specified class of case, or specified classes of cases, whether on specified conditions or unconditionally, persons or things may be exempted from its provisions either wholly or to such extent as is specified.
(2) Any regulation made under section 44 or local law may make provision for the imposition of penalties not exceeding $100 in respect of any contravention.
(3) Where in relation to a regulation made under section 44 or local law made under this Act the expression “specified” is used, the expression, unless the context requires otherwise, means specified in that regulation or local law.
Shire of Broome Health Local Law 2006
POLICY IMPLICATIONS
5.1.11 Events
4.2.15 Trading in Public Places
FINANCIAL IMPLICATIONS
The Kyle Andrews Foundation Barefoot Ball on Cable Beach will attract application and licence fees in accordance with the adopted Council fees and charges.
|
Fee Type |
Fee |
|
Event Application Fee |
$112.00 |
|
Venue hire |
$313.50 |
|
Public Building Approvals |
$210.00 |
|
Waste Services |
$489.64 |
|
TOTAL |
$1,125.14 |
RISK
No significant risk factors have been identified with this event.
In accordance with the Shire Events Policy 5.1.11, the applicant is required to submit a Risk Management Plan. Officers have requested the event organiser include controls to mitigate any risk associated with glass on the beach at this event within the risk management plan, prior to an event permit being issued and provide certificates of currency for public liability insurance cover.
STRATEGIC IMPLICATIONS
Our People Goal – Foster a community environment that is accessible, affordable, inclusive, healthy and safe:
Accessible and safe community spaces
Participation in recreational and leisure activity
Our Place Goal – Help to protect the nature and built environment and cultural heritage of Broome whilst recognising the unique sense of the place:
Retention and expansion of Broome’s iconic tourism assets and reputation
Our Organisation Goal – Continually enhance the Shire’s organisational capacity to service the needs of a growing community:
Effective community engagement
VOTING REQUIREMENTS
Simple Majority
|
That Council approves the event application and authorises the Chief Executive Officer to issue an event permit in accordance with Event Policy 5.1.11 to the Kyle Andrews Foundation Inc for the Full Moon Barefoot Ball to be held on Cable Beach 12 May 2017 (with any minor variations), subject to the following conditions: 1. All public access ways, stairs and paths remain open and accessible to the general public at all times; 2. Only two vehicles with trailers will have access to the vehicle exclusion zone of Cable Beach at any one time; 3. The applicant must meet all regulatory requirements for the event; and 4. All risk control measures, outlined in the Risk Management Plan submitted with the event application, are to be followed to the satisfaction of the Chief Executive Officer.
|
|
Ball Location Plan Cable Beach |
|
|
Ball Site Layout Plan |
|
9.2.4 DEVELOPMENT ASSESSMENT PANEL (DAP) NOMINATIONS OF MEMBERS AND ALTERNATE MEMBERS LOCATION/ADDRESS: N/A APPLICANT: Department of Planning FILE: PLA01 AUTHOR: Senior Planning Officer CONTRIBUTOR/S: Nil RESPONSIBLE OFFICER: Director Development Services DISCLOSURE OF INTEREST: Nil DATE OF REPORT: 24 January 2017 |
|
SUMMARY: Development Assessment Panels (DAPs) were introduced on 1 July 2011 to determine development applications that meet prescribed thresholds. Each DAP comprises five (5) members: three (3) specialist members and two (2) local government members. As per the DAP Regulations, the Shire is required to nominate two (2) sitting members and two (2) alternate members to the Joint Kimberley Development Assessment Panel (JDAP). The Shire’s current DAP members were appointed on 27 July 2015 for the term expiring 26 April 2017. A request for nominations of replacement members for the Kimberley JDAP was received from the Department of Planning (DoP) on 4 January 2017. Accordingly, this report recommends that Council submit its nomination of DAP members to the Minister of Planning. |
BACKGROUND
Previous Considerations
OMC 27 November 2014 Item 9.4.5
OMC 21 February 2013 Item 9.2.12
OMC 27 October 2011 Item 9.1.4
OMC 29 October 2009 Item 9.3.1
SMC 29 January 2015 Item 9.2.1
Kimberley Joint Development Assessment Panel
The JDAP for the Kimberley considers all DAP applications received by the Shires of Broome, Halls Creek, Derby/West Kimberley and Wyndham East Kimberley. When an application is received for development proposed within the Shire of Broome, in addition to the three (3) specialist members appointed by the Minister for Planning, the assessment panel will also comprise two (2) local representatives for Broome nominated by the Local Government.
Any application for development having a value of $10 million or more is required to be determined by the DAP and the proponents of any development having a value of $2 million or more can elect to have a development determined by the DAP. Certain developments are excluded from consideration by the DAP regardless of the development value. Excluded development includes single houses and associated incidental development and grouped or multiple dwelling developments of less than 10 dwelling units.
All development applications are to be made to the local authority and where the application is to be determined by the DAP there is an additional application form and an additional application fee. The additional application form and fee is remitted to the Department of Planning.
Recent changes to the DAPs
With a view to ensuring that the DAP system remains flexible and responsive, the DoP announced amendments to the Planning and Development (Development Assessment Panel) Regulations 2011 in October 2016. Following a Parliamentary Inquiry in 2015, the largely administrative amendments were informed by extensive consultation and seek to increase the transparency and accountability of the DAP process. The amended Regulations came into effect on 1 February 2017, and whilst the full extent of changes are detailed in Attachment 1 – Practice Note 11, key changes of particular relevance are summarised as follows.
• Providing an option to opt-out of a DAP in favour of a local government assessment for development of industrial warehouses even when over $10 million in value;
• DAP agendas to be published at least seven days before a meeting - instead of the current five days - to provide greater advance notice to the public;
• Local governments will be required to proactively contact each person who has provided a written submission in relation to a DAP application, to inform them of when the meeting will take place;
• Responsible authority reports to include more information about why decisions can be made, to ensure that the decision-making process is clearly communicated and can be better understood;
• Provide proponents with the option to choose between a local government or a DAP when requesting an amendment to a minor aspect of an existing development approval (Form 2); and
• Changes to the DAP fee structure.
Changes have also been made to the term of appointment of DAP members. This change was made as local government elections are held every 2 years for half of the Council. If the local government DAP members’ terms also expire after 2 years, then situations can arise where there is a period of time in which no local government Councillors have been formally appointed to the DAP.
To address this, Regulation 29(2) has been amended to provide that a DAP member can be appointed for a term of up to 3 years, rather than 2. This will allow local government DAP members who retain office as local councillors after an election to remain in place as a DAP member until they can be formally reappointed.
Eligibility and Role of Nominated Members
Currently the JDAP comprises the following members and alternate members for Broome:
- Chris Mitchell (Member)
- Harold Tracey (Member)
- Desiree Male (Alternate Member)
- Bruce Rudeforth (Alternate Member)
As detailed above, the term of current DAP member appointments expire on 26 April 2017. Following receipt of all local government nominations, the Minister for Planning will consider and appoint nominees for up to a three-year term, expiring on 26 April 2020.
All appointed local members will be placed on the local government member register and advised of DAP training dates and times. It is a mandatory requirement, pursuant to the DAP Regulations, that all members attend training before they can sit on a DAP and determine applications.
All nominated members who have not previously undergone training will be required to complete mandatory training before undertaking any DAP duties. The training is organised by the DoP who have advised such training can be offered, should a DAP application be received, prior to the DAP meeting.
COMMENT
The DoP has advised the appointment of all Local Government Development Assessment Panel (DAP) members expire on 26 April 2017. The Shire of Broome has been requested to provide nominations no later than Friday 27 February 2017.
This report recommends Council nominates two members and two alternative members to the DAP and advises the Minister accordingly. In accordance with the recent amendments to the Regulations, the recommendation reflects that the term of appointment should be three years.
CONSULTATION
The selection of nominated DAP members is not required to be advertised by Council.
STATUTORY ENVIRONMENT
Planning and Development Act 2005
171D. Constitution, procedure and conduct of DAPs
(1) The Governor may make regulations prescribing all matters that are required or permitted by this Act to be prescribed, or that are necessary or convenient to be prescribed, for the establishment and functioning of DAPs.
(2) Without limiting subsection (1), regulations may be made about the constitution, procedure and conduct of DAPs, including but not limited to regulations about the following —
(a) the total number of persons who are to be on a DAP;
(b) the qualifications to be held by each person on a DAP;
(c) the procedure to be followed for nominating and appointing DAP members;
(d) the remuneration and allowances payable to DAP members;
(e) the term of office of DAP members;
(f) the removal of DAP members;
(g) compiling and maintaining a register of persons who are eligible to be DAP members;
(h) the paid training of persons appointed to be DAP members;
(i) procedures at DAP meetings;
(j) the conduct of DAP members.
(3) The qualifications to be held by a person on a DAP may be specified in the regulations by reference to one or more of these —
(a) an office or position;
(b) an educational qualification;
(c) a type or level of knowledge;
(d) a type or level of experience.
Planning and Development (Development Assessment Panel) Regulations 2011
Part 4 — Development assessment panels
25. JDAP members
(1) The members of a JDAP, at any meeting of the JDAP to determine or otherwise deal with a development application or an application to amend or cancel a determination of the JDAP, are —
(a) the 2 local government members included on the local government register for the relevant local government in relation to the development application; and
(b) 3 persons appointed to the JDAP as specialist members.
(2) In subregulation (1)(a) —
relevant local government, in relation to a development application, means the local government of the district in which the land to which the development application relates is situated.
(3) The specialist members must be appointed in writing by the Minister.
(4) Regulation 37 applies to the appointment of specialist members.
26. JDAP local government member register
(1) The Minister must cause to be established and maintained a register of local government members of JDAPs.
(2) Subject to subregulation (4), the register must include, for each local government of a district for which a JDAP is established, the names of 2 members of the council of the local government.
(3) Whenever it is necessary to include a member of a council of a local government on a local government register under subregulation (2), the Minister must —
(a) in writing, request the local government to nominate a member of the council of the local government for inclusion on the register; and
(b) unless subregulation (4) applies, include on the register the name of the person nominated.
(4) If, within 40 days after the date on which the Minister makes a request under subregulation (3) or such longer period as the Minister may allow, the local government fails to nominate a person for inclusion on the local government register in accordance with the request, the Minister may instead include on the register a person who is an eligible voter of the district of the local government.
(5) For the purposes of subregulation (4) a person is an eligible voter of a district if that person is eligible under the Local Government Act 1995 section 4.29 or 4.30 to be enrolled to vote at elections for the district.
POLICY IMPLICATIONS
Nil.
FINANCIAL IMPLICATIONS
Nil.
RISK
Nil.
STRATEGIC IMPLICATIONS
Our Place Goal – Help to protect the nature and built environment and cultural heritage of Broome whilst recognising the unique sense of the place:
Realistic and sustainable land use strategies for the Shire within state and national frameworks and in consultation with the community
A built environment that reflects arid tropical climate design principles and historical built form
A unique natural environment for the benefit and enjoyment of current and future generations
A preserved, unique and significant historical and cultural heritage of Broome
Retention and expansion of Broome’s iconic tourism assets and reputation
VOTING REQUIREMENTS
Simple Majority
|
That Council: 1. Nominates Cr______________________ and Cr ____________________ as its Development Assessment members for the term expiring 26 April 2020; 2. Nominates Cr _______________________ and Cr ____________________ as its alternative Development Assessment Panel members for the term expiring 26 April 2020; and 3. Requests the Chief Executive Officer to submit nominations to the Minister for Planning. |
|
Practice Note 11 - Changes to DAP Regulations |
|
9.2.5 PROPOSED WELCOME TO COUNTRY SIGNS - GREAT NORTHERN HIGHWAY LOCATION/ADDRESS: Great Northern Highway APPLICANT: Nyangumarta Warrern Aboriginal Corporation FILE: GRE-1/GEN AUTHOR: Manager Planning & Building Services CONTRIBUTOR/S: Nil RESPONSIBLE OFFICER: Director Development Services DISCLOSURE OF INTEREST: Nil DATE OF REPORT: 27 January 2017 |
|
SUMMARY: An application for development approval to install three signs on the Great Northern Highway has been received. The signage is proposed at the southern and northern entrance of the Nyangumarta determination area in addition to a sign to signal the entrance to the ‘Nyangumarta Highway’ (also known as the Kidson Track). The application is referred to Council as it seeks a variation to the Shire’s Local Planning Policy 8.17 - Signs (LPP 8.17). This report recommends that the signage as proposed be approved. |
BACKGROUND
Previous Considerations
Nil.
Description of the Proposal
Approval is being sought for the placement of three signs within the Great Northern Highway road reserve. Two signs are ‘welcome to country signs’ and will be positioned at the entrance point to the Nyangumarta Native Title determination area.
The first sign is proposed at the southern-most entry point to the Shire and the second sign is proposed for approximately 28km north-east of Sandfire Roadhouse. These two signs will display the same message and will advise people that they are entering Nyangumarta country.
The third sign will be a double-sided sign and will be positioned at the start of the ‘Nyangumarta Highway’ or the track commonly known as the Kidson Track (which is approximately 1.4km to the east of the Eighty Mile Beach turn-off). The sign is proposed to make travellers aware of the track’s location and also to advise how permits for access can be obtained.
Details of all three signs are provided in Attachment No 1.
COMMENT
The application seeks a variation to LPP 8.17 as it proposes the erection of signage within a road reserve. Both signs would fall within the ‘sign not permitted’ section of LPP 8.17, in that they are signs that are not erected within or on lot boundaries. Officers do not have delegated authority to approve development applications for signs in variation to LPP 8.17.
In considering this application, the objectives of LPP 8.17 must be referenced. The relevant objectives are set out below:
1. Coordinate and control signage within the Shire of Broome;
3. Ensure the siting, design and general appearance of advertising does not detract from the visual amenity and character of the Shire; and
4. To avoid a proliferation of signs on individual sites and building.
Based on the above objectives of LPP 8.17, it is considered that this application for signs within the Great Northern Highway can be supported for the following reasons:
· The signs are not traditional advertising signs and the purpose of the signs is to inform people that they are entering Nyangumarta country. This is not considered to establish a precedent which would lead to the submission of applications for other advertising signs in similar locations, and therefore would not lead to the proliferation of signage.
· Two signs are proposed over a distance of approximately 140km, which is not considered to detract from the visual amenity nor result in the proliferation of signage.
· The Great Northern Highway road reserve is 150m in width. This limits the ability of the applicant to achieve compliance with LPP 8.17 because if the signs were placed on the lot boundary, they would not be visible to passing traffic.
· The signs would increase community awareness that they are entering Nyangumarta country and also the location of the ‘Nyangumarta Highway’ or Kidson Track.
The welcome to country signs are proposed to be 2.4m x 1.2m in dimension with a total area of 2.88sqm and the ‘Nyangumarta Highway’ sign is proposed to be 1.8m x 0.8m in dimension with a total area of 1.44sqm. The proposed sizing will be similar to Main Roads directional signage for service stations and the like, which are generally 2.4m in width and can vary from 0.45m to 1.2m in height. The Shire has previously approved two welcome to country signs for the Karrajarri people which were 1.5m x 1m in dimension. While these signs are larger, given the distance that they are separated and that their dimensions are similar to the typical MRWA road side directional sign, the proposed sizing of the signs are considered appropriate.
Given the above points, it is recommended that the application for the signs is conditionally approved.
CONSULTATION
Nil. The applicant has submitted copies of communication from Main Roads WA where consent is given to the placement of the signs within the Great Northern Highway road reserve.
STATUTORY ENVIRONMENT
Planning and Development Act 2005
Local Planning Scheme No 6
POLICY IMPLICATIONS
Local Planning Policy 8.17 – Signs
FINANCIAL IMPLICATIONS
Nil.
RISK
Nil.
STRATEGIC IMPLICATIONS
Our Place Goal – Help to protect the nature and built environment and cultural heritage of Broome whilst recognising the unique sense of the place:
A built environment that reflects arid tropical climate design principles and historical built form
A unique natural environment for the benefit and enjoyment of current and future generations
A preserved, unique and significant historical and cultural heritage of Broome
Retention and expansion of Broome’s iconic tourism assets and reputation
VOTING REQUIREMENTS
Simple Majority
|
That Council approves the application for three freestanding signs within the Great Northern Highway, Eighty Mile Beach, subject to the following condition: 1. Development must be carried out in compliance with the plans and documentation listed below and endorsed with the Council's stamp, except where amended by other conditions of this approval.
Plans & Specifications
P1 (Sign Description, Sign Elevation and Location Plan) as received by the Shire on 14 December 2016. |
|
Sign Details |
|
Item 9.2.5 - PROPOSED WELCOME TO COUNTRY SIGNS - GREAT NORTHERN HIGHWAY |
Attachment to application for development approval
Installation of ‘Welcome to Nyangumarta country’ signs along the Great Northern Highway
Supplier: BK Signs, Broome
Installation: Nyangumarta rangers under the supervision of ranger coordinator
1) 2 ‘Welcome to country’ signs with following details:
· Dimensions: 2.4m x 1.2m
· 2 posts & brackets
· Top of sign flush with top of post, approximately 2.5-3m above ground
· Posts will be 1-1.5m into the ground (depending on nature of soil); holes will be dug with petrol auger, posts secured with gravel and light concrete
· Distance from edge of pavement/shoulder: according to local regulations
· Locations
i. Western boundary, coordinates 19°59'21.20"S 120° 3'52.80"E, north of the road
ii. Eastern boundary, coordinates 19°40'47.33"S, 121°15'49.78"E, south of the road
iii. Note: final locations are flexible and will depend on road safety issues, vegetation and soil. Locations can be adjusted inside Nyangumarta country.

2) 1 double sided directional sign with following details:
· Dimensions: 1.8m x 0.8m
· 2 posts and brackets
· Top of sign flush with top of post, approximately 1.5-2m above ground
· Posts will be approximately 1m into the ground; holes dug with auger, posts secured with gravel and light concrete
· Distance from edge of pavement/shoulder according to local regulations
· Location:
i. Coordinates 19°50'2.54"S 120°41'32.15"E
ii. preferably north of the road, opposite the turn off to Kidson track/Wapet road


|
9.2.6 DRAFT POLICY FOLLOWING PUBLIC COMMENT PERIOD - CONSULTATION ABORIGINAL HERITAGE LOCATION/ADDRESS: N/A APPLICANT: Shire of Broome FILE: PLA97 AUTHOR: Manager Planning & Building Services CONTRIBUTOR/S: Nil RESPONSIBLE OFFICER: Director Development Services DISCLOSURE OF INTEREST: Nil DATE OF REPORT: 27 January 2017 |
|
SUMMARY: The Shire of Broome is recognised as having a rich cultural heritage, with significant Aboriginal cultural heritage present in the Shire. As the Shire performs a number of functions which can interact with Aboriginal cultural heritage, a policy has been drafted to guide how and when the Shire will consult with key stakeholders in this regard. This is proposed to ensure that Aboriginal cultural heritage is taken into account when both planning for and undertaking works. Council adopted the draft Policy at the August 2016 Ordinary Meeting of Council for the purposes of seeking public comment. The 60 day public comment period has concluded and this report presents the submissions received and recommends that Council adopt the Policy. It is also recommended that Council commits to review the Policy once the Memorandum of Understanding has been finalised in accordance with the Yawuru Indigenous Land Use Agreement (ILUA). |
BACKGROUND
Previous Considerations
OMC 25 August 2016 Item 9.2.1
History
At the Ordinary Meeting of Council in May 2014, Council adopted a Local Planning Policy – Public Consultation Planning Matters (LPP). This LPP was prepared to guide when the Shire will undertake public consultation on planning matters and also the form of advertising that should be undertaken. At this time, the Council agenda item noted that the LPP does not deal with consultation regarding Aboriginal Cultural or Heritage Matters and that a separate Policy would be prepared in this regard.
Since this time, Officers have been researching and investigating with a view to developing a corporate Policy which sets out the process for consulting on Aboriginal Heritage. As a result, the draft Consultation – Aboriginal Heritage policy has been developed (Policy). The objectives of the Policy are to:
· guide where the Shire will advise and consult with Aboriginal persons to gauge whether a Development Strategy, Public Works or Shire Development proposal may impact upon Aboriginal heritage;
· establish the process the Shire will follow when a Public Works or Shire Development proposal is to be referred for consultation and how comments received will be considered; and
· detail the requirements for consultation based on the level of interaction with Aboriginal heritage.
This Policy has been prepared further to Action 2.1.1.1 in the Corporate Business Plan which requests that a policy be developed regarding cultural heritage consultation with traditional owners and other stakeholders.
The draft Policy was considered at the Ordinary Meeting of Council on 25 August 2016 where Council resolved:
That Council:
1. Adopts the draft Policy – Consultation – Aboriginal Heritage, as set out in Attachment No 1 for the purposes of seeking public comment for a period of 60 days.
2. Adopts the Community Engagement Framework as set out in Attachment No 2 to guide the consultation to be undertaken during the public comment period.
The draft Policy was advertised for public comment in accordance with the adopted Community Engagement Framework. At the conclusion of the public comment period two submissions were received. The Shire also received correspondence from Nyamba Buru Yawuru Ltd (NBY) prior to the formal comment period commencing. All comments received are provided in Attachment 1 – Schedule of Submissions.
COMMENT
The Shire of Broome’s Strategic Community Plan 2015-2025 recognises that history, identity and culture is the third most highly valued aspect of living in the Shire of Broome, and this relates to a living Indigenous culture and traditions and the connection to country. Further, the Shire of Broome Local Planning Strategy (Strategy) recognises that the Shire has a rich cultural heritage encompassing many different cultural groups, including Aboriginal culture. The Strategy acknowledges that it is important to protect and manage the significant heritage of the Shire which is valuable to the region’s inhabitants and acknowledged both nationally and internationally.
In response to the recognised importance of Aboriginal cultural heritage to the Shire, Council through the Corporate Business Plan has requested that a policy be prepared regarding cultural heritage consultation. Shire Officer’s have prepared the draft Policy as set out in Attachment 2. This draft Policy was advertised for public comment for a 60 day period in accordance with the adopted community engagement plan. At the conclusion of the public comment period submissions were received as follows:
· Department of Aboriginal Affairs (DAA); and
· Goolarabooloo Millibinyarri Indigenous Corporation (GMIC) on behalf of the Goolarabooloo people.
Prior to Council’s adoption of the Policy for public comment, the Shire also forwarded a copy of the draft Policy to NBY. While comments were requested from NBY during the public comment period, no submission was received. The matters that NBY raised in the original letter received prior to the public comment period is included in the schedule of submissions.
A review of the key points raised in the comments received are set out below.
NBY comments
NBY in the initial feedback to the Shire expressed concern with the draft Policy. This principally related to the provisions contained within the ILUA and the Shire’s approach in preparing the draft Policy.
NBY have expressed that the starting point for discussions on heritage issues in the Yawuru determination area should be clause 16.2 of the ILUA which states the following:
16.2 Memorandum of understanding
a) The Parties agree to enter into a memorandum of understanding within 12 months of the Registration Date (Memorandum of Understanding) under which, in respect to heritage issues arising from time to time in any area within the outer boundaries of the Determination Area, the Parties, inter alia, shall agree:
i. for the purpose of protecting and preserving heritage, the Yawuru Community has the primary and principal interest and rights;
ii. Yawuru RNTBC must be consulted about heritage issues in the first instance; and
iii. to consult each other and deal in good faith in accordance with the provisions of the Aboriginal Heritage Act 1972.
b) The State will disseminate the Memorandum of Understanding to all relevant Western Australian agencies for observance by them when dealing with heritage issues that relate to all areas within the outer boundaries of the Determination Area.
NBY also referenced clause 13.2 of the PBC ILUA, which states the following:
13.2 Planning processes
Where planning processes are undertaken by the State agencies or local government in respect of any portion of the Determination Area, the State and the Shire (as applicable) shall support Yawuru RNTBC participation and consultation.
Overall, NBY expressed that the draft Policy does not comply with clause 16.2 of the ILUA because the process of developing the Policy did not include the relevant parties to the PBC ILUA. Further NBY expressed the following concerns with the Policy:
· It makes no reference or acknowledgment of the relevant clauses of the PBC ILUA; and
· It does not recognise the primacy of the Yawuru Community’s principal rights and interests in protecting and preserving heritage in the determination area.
In relation to these points raised by NBY, Officers recommend the Policy still be progressed for the following reasons:
· It is acknowledged that the preparation of the MOU referenced in clause 16.2 of the ILUA remains outstanding. The draft Policy is not intended to replace or interfere with the development of the MOU referenced in the ILUA, but rather establish a clear and transparent process that can be followed by Shire Officers now.
· The Policy can and will be reviewed and amended once the MOU is developed.
· The draft Policy has been prepared for the whole Shire area, which extends beyond the outer boundaries of the Yawuru Determination Area. It is intended to guide the Shire Officers in their activities in all parts of the Shire. Given the high level of importance the Shire places on Aboriginal Heritage, it is seen as critically important that the Shire has something in place to ensure the Shire’s activities properly recognise Aboriginal Heritage at an early stage. Therefore, the draft Policy is needed now, and should not be delayed any further.
During the formal 60 day public comment period, Shire Officer’s meet with officers from NBY to seek feedback and input into the draft Policy. During the discussions, NBY reaffirmed the concerns previously communicated with the Policy, as cited above. They advised that the Yawuru Implementation Committee has been reformed to progress with a number of outstanding matters in the ILUA, including the preparation of the MOU referenced in clause 16.2. More recently, a Yawuru Implementation Committee meeting has been held and a draft version of a MOU previously prepared by the DAA was circulated. At the conclusion of the Yawuru Implementation Committee meeting it was agreed that the DAA and NBY would work together to update the MOU with assistance from the State Solicitors Office.
A timeframe for when the MOU will be drafted or circulated has not been provided. While it is acknowledged that any matters that may form part of the MOU may require amendment to the draft Policy, given there is no known timeframe it is recommended that Council adopt the Policy to guide Shire operational practices now. This is recommended so the Shire has a framework to ensure that it is proactive in identifying and addressing heritage considerations. Further, it is recommended that Council commits to review the Policy once the MOU has been finalised.
DAA Comments
The DAA has advised that it supports the Shire in formalising a process that will enhance the protection of Aboriginal heritage during the planning stages, provide the opportunity for consultation and also promote protection or mitigation measures where development is planned to occur. The DAA has raised a number of points for consideration that are set out below:
Consultation with knowledge holders
The DAA stated that when views are being sought for planned activities that may impact Aboriginal heritage, along with Determined Native Title Holders and/or Registered Native Title claimants, those people who have knowledge for a specific Aboriginal heritage place should also be consulted. For already reported Aboriginal heritage places, people with specific knowledge are listed as ‘knowledge holders’ in the DAA database and may not necessarily be part of a Native Title determination or claimant group.
This issue is noted by Shire Officers and recognised in the Policy. Under clause 2.6, when the Shire is undertaking the detailed design of public works or Shire development and the works fall within an a registered Aboriginal Heritage Site, the Shire will forward the proposal to DAA and request details of the organisations and/or persons that should be consulted. At this stage, DAA will advise who the knowledge holders are and the Shire will undertake consultation with those persons. With regard to the preparation of Development Strategies (clause 1.1) and Shire developments at the concept phase (clause 2.4) the Policy outlines that consultation will be undertaken with Determined Native Title Holders or Registered Native Title claimants. This is consistent with the Yawuru PBC ILUA and for works outside of the Yawuru Determination Area, will mean that the Shire will be consulting directly with PBC (and in some limited circumstances claimant groups), which is considered appropriate as these bodies have demonstrated that they are the traditional custodians of the claimed area as a part of the Native Title processes.
Shire officers have held further discussions with the DAA’s heritage team to clarify the comments received in this respect. In discussions, the DAA again reaffirmed its support for the Policy and advised that the purpose of this comment was to make sure that the Shire was aware of the difference between knowledge holders and Native Title holders/claimants. The DAA advised that it is in the Shire’s discretion as to how it seeks to engage with members of the community when preparing Development Strategies and concept plans for public works and/or Shire development. It was outlined that when it comes to the detailed design phase of works proposals, if a section 18 consent under the Aboriginal Heritage Act 1972 (WA)(AH Act) is required, the Shire must demonstrate that it has consulted with any registered knowledge holder in addition to Native Title holders/claimant groups.
Overall it is considered that the Policy reflects the practices that are statutory requirements under the AH Act. The consultation proposed at the Development Strategy and concept design phase goes beyond what would be required by the AH Act. As such it is not recommended that any amendments are made to the Policy in this regard.
Definition of low ground disturbance activity
The Department has raised concern with the use of the definition of ‘low ground disturbance activity’ as a number of the activities listed (such as removing soil and rock samples and maintenance of existing roads, culverts, etc) may in some circumstances contravene section 17 of the AH Act or may require consent under Regulation 10 of the Aboriginal Heritage Regulations 1974.
The definition contained in the Policy was adapted from the definition included in the Government Standard Heritage Agreement (prepared by the Department of Premier and Cabinet), with the exception that the listed activities are only considered to be low ground disturbance when undertaken in an area which has previously been disturbed or are not significant or major works (which are defined in the DAA’s Aboriginal Heritage Due Diligence Guidelines (Due Diligence Guidelines)). This is consistent with the advice provided by the DAA in the Fact Sheet distributed for the reassessment of DAA 30274 (LSC11) which sets out that in built-up areas in Broome which have previously been cleared for these purposes will not require any additional approvals under the AH Act.
Shire Officers sought further clarification from officers at the DAA with regard to this comment. In these discussions, Shire Officers relayed that an activity would only be considered low ground disturbance where it was within an existing disturbed footprint or works were not significant or major. It was conveyed that this definition was included in the Policy to clarify that for certain activities the Shire would not be undertaking consultation of any form (i.e. grading and existing road within the footprint of the road or undertaking weed management within an existing drain and so on). It was acknowledged by DAA officers that this would be consistent with the approach in the Due Diligence Guidelines.
Given the above and as the Policy is consistent with the practices recommended in the Due Diligence Guidelines, it is not proposed to amend the Policy in this regard.
GMIC Comments
GMIC have raised a number of points in relation to the draft Policy, which are all summarised and addressed in the Attachment No 1. Of particular note, GMIC raised the following in their submission:
Difference between knowledge holder and native title holder
GMIC raised that there is a difference between cultural knowledge holders and a native title holder and PBC. They may be synonymous, or they may not be depending upon the circumstances. They submit that the Policy does not bear this difference in mind.
As set out in the comments under the ‘DAA Comments’ heading above, this distinction has been recognised in the Policy when the Shire is preparing detailed designs (clause 2.6 onwards).
Development strategies
GMIC submit that Goolarabooloo (especially the responsible law bosses) must be consulted in relation to activities occurring in the Northern Tradition areas within the Rubibi determination area. Further, informants for Aboriginal sites and places, where they are recorded, should be consulted in relation to any matter affecting a site or place.
While the Shire notes that there is a difference between a ‘knowledge holder’ and Native Title Holder/Claimant, the Policy has been drafted so that at the higher level planning process (ie. the preparation of Development Strategies and concept plans), consultation will be undertaken with the Native Title Holders or Claimants. This is recommended as these bodies have demonstrated that they are the traditional custodians of the claimed area as a part of the Native Title process. Further, from an administration perspective, this is considered to be more practical as information on Native Title Holders/Claimant groups is publicly available.
Low ground disturbance activities
GMIC raise concern in relation to Clause 2.3 of the Policy, in that no consultation will be undertaken for Low Ground Disturbing Activities.
This is addressed in the DAA comments section, see above.
Consultation with Goolarabooloo
Regarding Clauses 2.10 and 2.11 of the Policy, GMIC state that for all land which does not fall within a registered site but is between the Beagle Bay boundary and Dampier Creek, Goolarabooloo must be consulted. They submit that any comment from the Goolarabooloo People about the impact of the proposed activity on Aboriginal cultural significance should be dealt with separately from the wider community engagement program.
This contention is not supported. The Policy has been structured in such a manner that for higher level planning phases (the Development Strategy and concept planning phases), early engagement/consultation occurs to ensure that Aboriginal heritage is addressed and potential conflicts or damage to heritage is avoided. When it comes to undertaking the detailed design for the specific works or activity, known impacts on Aboriginal heritage should be avoided. At the detailed design level, unless the site falls within a registered Aboriginal Heritage Site or would be in an area that under the Due Diligence Guidelines is designated as medium or high risk, then it is not considered that consultation is required.
Summary
Detailed consideration has been given to the comments received in relation to the Policy. While it is noted that a MOU required by the ILUA remains outstanding, in the interim period this Policy is considered to be a strong guiding document for the Shire and its stakeholders in relation to how the Shire will mitigate the risk of its works or activities impacting on Aboriginal heritage. The processes established in the Policy are considered robust and reasonable in terms of allowing for meaningful consultation, while being achievable taking into account Shire resources.
Following the public comment period, it is recommended that two minor amendments are made to the Policy:
· The definition of ‘Aboriginal Heritage Site’ is updated to be consistent with the Due Diligence Guidelines.
· The definition of ‘Previously Surveyed Area’ is removed from the Policy as it is not mentioned in the Policy and does not need to be defined.
The proposed changes are shown as tracked changes in Attachment No 2.
It should also be noted that the Policy establishes a minimum level of consultation. There may be circumstances where higher levels of engagement or consultation occur, including seeking participation of Aboriginal persons on working groups. Examples of such projects would include the master planning being undertaken for the Town Beach area or the Chinatown Cultural Interpretative Centre working group.
It is therefore recommended that Council adopt the Policy. As per the comments above, given that a MOU is currently being prepared further to the ILUA, it is recommended that Council commit to reviewing the Policy once the MOU has been finalised.
CONSULTATION
In preparing the draft Policy, Officers have consulted with the Shire’s Infrastructure Services section and also sought preliminary comments from the Shire’s solicitors and the DAA.
Consultation with the community was undertaken in accordance with the adopted community engagement plan, which included the following:
· Notification and copies of the Policy available on the website
· Direct mail out to identified primary stakeholders which included Determined Native Title Holders, registered Native Title Claimants, Department of Premier and Cabinet and DAA.
· Advertisement in the local newspaper targeting feedback from the primary and secondary stakeholders (general community).
The public comment period formally commenced on 8 September 2016 and went for 60 days, concluding on 7 November 2016. A summary of the submissions received and the proposed Shire responses to the points raised is provided in Attachment 1 – schedule of submission.
Also, as a part of finalising the Policy, further consultation was undertaken with the Shire’s Management Coordination Group. At this meeting concerns were expressed about the potential implications that the consultation could have upon the timing and project delivery if the Policy is adopted. While it is noted that from an operational perspective the Policy may have implications on how the Shire plans and implements its works scheduled, Aboriginal heritage is an important consideration that must be addressed.
STATUTORY ENVIRONMENT
Local Government Act 1995
2.7. Role of council
(1) The council –
(a) governs the local government’s affairs; and
(b) is responsible for the performance of the local government’s functions.
(2) Without limiting subsection (1), the council is to -
(a) oversee the allocation of the local government’s finances and resources; and
(b) determine the local government’s policies.
POLICY IMPLICATIONS
Nil.
FINANCIAL IMPLICATIONS
Nil.
RISK
As set out in the comments above, the Shire is recognised as having rich Aboriginal heritage which is greatly valued by the community. This Policy is considered to reduce the risk that Shire operations could have a detrimental impact upon Aboriginal heritage by ensuring that an appropriate level of consultation is undertaken. Further, the Policy will establish clear direction to the relevant Officers at the Shire as to the level of consultation expected to be undertaken, which allows for more informed project management and reduces the risk of delays in the delivery of projects.
STRATEGIC IMPLICATIONS
Our People Goal – Foster a community environment that is accessible, affordable, inclusive, healthy and safe:
Effective communication
Our Place Goal – Help to protect the nature and built environment and cultural heritage of Broome whilst recognising the unique sense of the place:
Realistic and sustainable land use strategies for the Shire within state and national frameworks and in consultation with the community
A preserved, unique and significant historical and cultural heritage of Broome
Council is able to mobilise resources to deliver municipal service to indigenous communities that are compliant, effective and within Council’s capacity.
Our Prosperity Goal – Create the means to enable local jobs creation and lifestyle affordability for the current and future population:
Affordable and equitable services and infrastructure
Affordable land for residential, industrial, commercial and community use
Key economic development strategies for the Shire which are aligned to regional outcomes working through recognised planning and development groups/committees
Our Organisation Goal – Continually enhance the Shire’s organisational capacity to service the needs of a growing community:
An organisational culture that strives for service excellence
Sustainable and integrated strategic and operational plans
Effective community engagement
Improved systems, processes and compliance
VOTING REQUIREMENTS
Simple Majority
|
That Council: 1. Adopts the Policy – Consultation – Aboriginal Heritage, with minor amendments as set out in Attachment 2; and 2. Upon the finalisation of the Memorandum of Understanding required under Clause 16.2 of the Yawuru PBC Indigenous Land Use Agreement, commits to undertaking a review of the Policy. |
|
Schedule of Submissions |
|
|
Policy: Consultation - Aboriginal Heritage |
|
Item 9.2.6 - DRAFT POLICY FOLLOWING PUBLIC COMMENT PERIOD - CONSULTATION ABORIGINAL HERITAGE |
|
# |
Name |
Date |
Submission |
Staff Comments |
Recommendations |
|
1. |
NBY (Prior Engagement) |
|
1. The parties to the ILUA as I am sure that you are aware, are the PBC, NBY, the State of WA, Minister of Lands, Conservation Commission, CALM and the Shire of Broome. In our view, the starting point for any discussions in relation to heritage issues in the Yawuru Determination area is Clause 16.2 of the PBC ILUA which states that the parties agree to enter into a MOU (within 12 months) under which, for the purpose of protecting and preserving heritage, the Yawuru Community has the primary and principal interests and rights, Yawuru RBTBC must be consulted about heritage issues in the first instance and the parties are to consult each other and deal in good faith in accordance with the provisions of the Aboriginal Heritage Act 1972 (AHA). 2. Clause 13.2 of the PBC ILUA is also important and related to clause 16.2 because it provides that “where planning processes are undertaken by State Agencies or local government in respect of any portion of the Determination Area, the State and the Shire (as applicable) shall support Yawuru PBC participation and consultation”. The use of word shall specifies a mandatory obligation on the State and the Shire in this regard. 3. I consider that the Shire’s Draft Policy does not comply with Clause 16.2 of the PBC ILUA because essentially the process of developing it did not include the relevant parties to the PBC ILUA, makes no reference or acknowledgment of the relevant clauses of the PBC ILUA and notably does not recognise the primacy of the Yawuru Community’s principal rights and interests of protecting and preserving heritage in the determination area.
4. Unfortunately the Draft Policy is presented as a fait accompli and inappropriately gives primacy to “public comment” for 60 days after endorsement by the Shire Council on the 25 August 2016, followed (almost by afterthought) by a formal referral to Yawuru for feedback and comment from “early September 2016 to approximately 7 November 2016”. This approach in your email is clearly contrary to the sprit of the ILUA and relegates the Yawuru in the consideration of heritage issues in the determination area. 5. Clause 16 of the ILUA also prescribes that the State of WA will disseminate the MOU to all relevant WA agencies for observance by them when dealing with heritage issues that relate to all areas within the outer boundaries of the Determination Area. This is clearly after the parties to the PBC ILUA have negotiated and entered into a binding MOU. Unfortunately the Shire’s Draft Policy clearly has excluded the State and other agencies from negotiations and agreeing its terms and conditions although it adopts key documents such as the Aboriginal Heritage Due Diligence Guidelines and the Government Standard Heritage Agreement as an integral to the Policy. A MOU agreed between the parties to the PBC ILUA however was clearly intended to operate as a stand-alone agreement to be complied with by the Shire and the State agencies outside of other established policies and standard heritage agreements. 6. The matter which I raise above are threshold issues which must be addressed by the parties to the PBC ILUA in accordance with clause 16 and regrettably the Shire’s approach and Draft Policy is a unilateral departure from the PBC ILUA which could also be a potential breach of the agreement.
7. However, I believe that we can work through these issues to get the negotiations on the right footing, aligned and in compliance with the PBC ILUA and welcome constructive discussion with the Shire in relation to these matters. I request that you withhold any further action in relation to obtaining approval from you Council on the 25 August 2016 to provide us the opportunity to move positively in developing an agreeable MOU with the relevant parties. |
1. It is acknowledged that the preparation of the MOU referenced in clause 16.2 remains outstanding. The draft Policy is not intended to replace or interfere with the development of the MOU referenced in the ILUA, but rather establish a clear and transparent process that can be followed by Shire Officers in the intervening period while the MOU is being developed.
2. Noted.
3. The draft Policy has been prepared for the whole Shire area, which extends beyond the outer boundaries of the Yawuru Determination Area. It is intended to guide the Shire Officers in their activities in all parts of the Shire.
The provisions of the Policy highlight that in all stages the Shire will consult with the Determined Native Title Holders, giving primacy to the Yawuru people for matters within the Yawuru Native Title Determination Area. 4. Given the high level of importance the Shire places on Aboriginal Heritage, it is seen as critically important that the Shire has something in place to ensure the Shire’s activities properly recognise Aboriginal Heritage at an early stage. Therefore, the draft Policy is needed now.
5. Once the MOU has been developed and agreed to by all parties forming part of the ILUA, the Shire will review the Policy as it applies to the Yawuru Determination Area.
6. In the absence of the MOU, it is a high priority to have established Council direction (through the Policy) ensuring that Aboriginal Heritage is identified and addressed as part of Council’s activities. While the MOU is still being developed, the Shire does not consider the adoption of this Policy to be a breach of the ILUA. The Shire wants to ensure that its practices incorporate Aboriginal cultural heritage and considers a Policy to be an appropriate mechanism to do this. The Policy can be reviewed once the MOU is finalised. 7. The Shire will participate in the preparation of the MOU through the Yawuru ILUA implementation committee and it is recommended that Council commit to reviewing the Policy once the MOU is finalised. |
That the submission be noted.
The Council commits to reviewing the Policy and incorporating any changes as required following the finalisation of the MOU which is to be prepared further to clause 16.2 of the ILUA. |
|
2. |
Department of Aboriginal Affairs |
23/10/2015 |
1. The DAA supports the Shire of Broome formalising a process that will enhance the protection of Aboriginal heritage during the planning stages, provide the opportunity for consultation, and also promote protection or mitigation measures when development is planned to occur. 2. The ‘Public Works and Shire Development’ flow chart on page 11 of the document provides a clear, structured process, which includes requests for comment from the DAA at the appropriate stages of planning. 3. When views are sought from Aboriginal people in regards to planned activities that may impact Aboriginal heritage, the Shire of Broome should be aware that along with either the Determined Native Title Holders and/or the Registered Native Title claimants for an area, those Aboriginal people who have knowledge for a specific Aboriginal heritage place should also be considered. For already ready reported Aboriginal heritage places, people with specific knowledge about heritage places are listed as ‘knowledge holders’ in the DAA database. Knowledge holders may not necessarily be a part of a Native Title determination or claimant group.
4. The section ‘1.0 Preparation of Development Strategies’ (pages 3-4) states that most important element in undertaking consultation is to inform the preparation of the Development Strategy and to ensure that an Aboriginal heritage site or areas of Aboriginal cultural significance are identified and considered. The process to obtain this outcome is described in the draft document as including a 30 day period which may include a workshop where information of the details about an Aboriginal site are expected to be provided. A potential issue may arise for areas where Aboriginal sites are present, but have not yet been reported, a workshop may not be the forum to adequately present information about these places. An outcome of the workshop may include a recommendation for the proponent to undertake a heritage survey where necessary. 5. It is understood for all new development strategies, Aboriginal people will be provided details of the proposal and the opportunity to comment. The DAA agrees with the proposal to involve Aboriginal people in the consultation process of all new development strategies. 6. The section 2.3 ‘Shire of Broome public works and shire development’ (page 4) states the Shire of Broome will not undertake any consultation or notification for activities or works which meet the definition of low ground disturbance activity. A number of the low ground disturbance activities listed, such as removing soil and rock samples, drilling using hand held rig or rig mounded on 4WD, maintaining existing roads, culverts, bridges, erosion control activities, may in some circumstances, contravene section 17 of the Aboriginal Heritage Act 1972 or may require consent under Regulation 10 of the Aboriginal Heritage Regulations 1974.
7. The DAA suggests the Shire of Broome, when planning works within a reported Aboriginal heritage place or site, requests information form the DAA about the existing Aboriginal heritage place or site. 8. The DAA is able to provide on request ‘Open’ or unrestricted site files to the Shire. 9. ‘Closed’ or restricted files require the consent of the knowledge holder to view the file. This will allow an internal assessment within the Shire of Broome of the relevant considerations and allow a more informed due diligence process before contacting the DAA. 10. The references throughout the document to the Aboriginal Heritage Due Diligence Guidelines are considered appropriate. 11. The DAA supports the initiative to formalize the process to consider, protect and avoid impacting Aboriginal heritage, when the Shire of Broome is involved in planning and public works. |
1. Noted.
2. Noted.
3. This is noted by the Shire and is recognised in the Policy. Under clause 2.6, when the Shire is undertaking detailed designs of public works or shire development and the works fall within an a registered Aboriginal Heritage Site, the Shire will forward the proposal to DAA and request which organisations and/or persons should be consulted. At this stage DAA can advise the Shire who the knowledge holders are and the Shire will undertake consultation at that point. With regard to the preparation of development strategies (clause 1.1) and shire developments at the concept phase (clause 2.4) the Policy outlines that consultation will be undertaken with Determined Native Title Holders or Registered Native Title claimants. This is consistent with the Yawuru ILUA and for works outside of the Yawuru Determination Area, will mean that the Shire will be consulting directly with PBC, (and in some limited circumstances claimant groups) which is considered appropriate for this stage of the planning process as these bodies have demonstrated that they are the traditional custodians of the claimed area as a part of the Native Title processes. 4. Noted.
5. Noted.
6. The definition contained in the Policy was adapted from the definition included in the Government Standard Heritage Agreement, with the exception that the listed activities only apply in areas which has previously been disturbed. This is consistent with the advice provided by the Department in the Fact Sheet distributed for the reassessment of DAA 30274 (LSC11) which sets out that activities in developed areas will not require an Aboriginal heritage approval and that areas which have previously been cleared will not require any additional approvals.
The Shire has discussed this comment with officers at the DAA. In the discussion Shire officers relayed as per the definition that an activity would only be considered low ground disturbance where it was within an existing disturbed footprint (i.e. the Shire was grading and existing road within the existing roads footprint or was undertaking weed management within an existing drain). It was acknowledged that this is consistent with the approach in the Aboriginal Heritage Due Diligence Guidelines whereby such works would generally be negligible to moderate disturbance and when undertaken in a built environment or significantly altered environment has a low risk to Aboriginal heritage. 7. Noted.
8. Noted.
9. Noted.
10. Noted.
11. Noted.
|
That the submission be noted.
|
|
3 |
Goolarabooloo Millibinyarri Indigenous Corporation (GMIL) |
|
1. GMIC makes this submission on behalf of the Goolarabooloo people, including their law bosses. Thank you for inviting us to comment on your draft policy for Aboriginal heritage. 2. Our country falls across the Rubibi determination areas the Goolarabooloo Family claim area. Goolarabooloo country goes from Gariyan (near Beagle Bay boundary) to Ngellan Ngellangun (Dampier Creek) in the south. In this area, Goolarabooloo (and the law bosses in particular) are culturally responsible for the Northern Tradition. 3. Goolarabooloo are not against development within the Shire of Broome, and in fact Goolarabooloo worked with the Shire over many years planning, investigating and approving a number of developments. Goolarabooloo must be consulted about activities that will affect their country or disturb the ground of their law or the integrity of the health and wellbeing of their Song Cycle Path. Development must be sustainable from a cultural perspective, as well as from and environmental and an economic perspective. 4. The Shires policy as a whole is premised upon a narrower definition of Aboriginal cultural heritage than is warranted. The Shire should develop its policy in light of the requirements of the Burra charter and its practice notes. The Shire’s definition of “Aboriginal cultural heritage’ clearly borrows from the Burra’s charter definition, but other critical elements of the Burra Charter are lacking.
5. There is also a categorical different between a cultural knowledge holder and a native title holder or PBC. They may be synonymous, or they may not be depending upon the circumstances. The draft Policy does not bear this difference in mind. Two practical examples: a. There are a number of Goolarabooloo people who hold knowledge for the country from Broome to Willie Creek, including the law boss Richard Hunter. Mr Hunter was recognised in the Rubibi determination as one of the law bosses for the Northern Tradition in Yawuru community. Mr Hunter is not a Yawuru native title holder. b. Some places in the Shire of Broome also have significance under traditional law to people from outside of the Broome area. An examples is the place Billingur (see [60] of Rubibi v Western Australia (no. 5) [2005] FCA 1025).
6. Definition of “Aboriginal Heritage Site’ – no such term is defined in the Aboriginal Heritage Act 1972. There is a tension between the statutory concept of a “site” under the AHA and the broader concept of “Aboriginal cultural significance” as defined under the draft Policy. A place can plainly have acute “Aboriginal cultural significance” without meeting the requirements of section 5 of the AHA, and indeed not all places that meet the definitional requirements of section 5 are entered on the Register. 7. How will the Shire determine whether a place meets the requirements of section 5 of the AHA, particularly in the absence of consultation or a comprehensive prior survey? Entry on the Register is an independent matter.
8. Definition of “Low Ground Disturbance Activity” & “Previously Survey Area” – as the Burra Charter makes clear, the appropriate process is one which identifies Aboriginal cultural heritage values first, and then determines whether undertaking a particular activity is appropriate. The fundamental principle is “Ask First”. The Shire’s definition of ‘low ground disturbance activity’ is contrary to this, appears to be contrary to the due diligence matrix and also includes a large number of ground disturbing activities which could not reasonably be considered to be low impact even in the abstract.
9. The interrelationship between a ‘previous surveyed area’ and whether an activity is a ‘low ground disturbance activity’ is problematic. A prior survey is usually limited in terms of area, the activities the survey has under consideration, who undertook the survey, the methodology employed and the time when it was undertaken (best practice in 1972, or 1992, is not the same as best practice in 2016). This Shire would leave itself to determine whether an area was “cleared” or not. 10. Preparation of development strategies – Goolaralooboo (especially the responsible law bosses) must be consulted in relation to activities occurring in the Northern Tradition areas within the Rubibi determination area. North of Willie Creek, Goolarabooloo are registered native title claimants. Informants for Aboriginal sites and places, where they are recorded, should be consulted in relation to any matter affecting the site(s) or place(s). 11. Goolarabooloo and any informants for affected sites of places, must be included in these workshops.
12. Shire of Broome Public Works or Shire Development – although the Shire will not be undertaking consultation on behalf of other government agencies, Goolarabooloo suggests that when the Shire is notified of other government authorities or agencies undertaking works within their country the Shire should inform them.
13. The Shire’s Policy of no consultation in relation to so-called “Low Ground Disturbing Activities” is alarming to the Goolarabooloo. Parts a, b, c, d, e, f, g, h, I, j, k, l, m, n, o, p, q, r, s of the definition are unacceptable. Goolarabooloo always seeks to accompany anyone wanting to undertaken any work on their country, including scientists and researchers or even school projects. This is much for the protection of the country and safety of strangers in country. Genuine consultation, which is aimed at achieving informed consent to activities affecting Aboriginal cultural significance, should be the Shire’s aim, rather than the push towards limited transparency and self-assessment which appears to inform the draft Policy. 14. Concept Phase – Goolarabooloo (through GIMC) should be included in the consultations for activities occurring between the Beagle Bay boundary and Dampier Creek. 15. In all cases, including where the work is identified as “not Low Discretion”, Goolarabooloo say that any impact upon Aboriginal Sites or Aboriginal cultural significance should be avoided.
16. Design Phase – If a proposed Public Work or Shire Development (whether defined as “Low ground Disturbance Activity” or not) falls within an Aboriginal Heritage Site between the Beagle Bay boundary and Dampier Creek, then the Shire of Broome should forward a copy of the proposal to Goolarabooloo. In Goolarabooloo’s experience, DAA administration of the AHA has been negligent and partisan in recent years. DAA has repeatedly preferred development over genuine heritage protection. 17. For all land, which does not fall within a registered site, but is between Beagle Bay boundary and Dampier Creek, Goolarabooloo must be consulted. Any comment from the Goolarabooloo about the impact of the proposed activity on Aboriginal cultural significance should be dealt with separately from the wider community engagement process. 18. Aboriginal
Heritage Monitors – no matter where works are proposed to be undertaken
inside of Goolarabooloo country, or by whom, Goolarabooloo require that
somebody onsite
19. Aboriginal Heritage Surveys – the right people to survey Goolarabooloo country, and to determine the Aboriginal cultural significance of that country and the areas and places within it, are the Goolarabooloo people themselves. 20. Over may years since its inception, Goolarabooloo have sought protection for the Lurujarri Heritage Trail, including having the Trail entered on to the Municipal Inventory. We understand that Goolarabooloo’s submission was overwhelmingly supported by the Shire of Broome’s development officers, the State assessor and the independent assessor. It was also endorsed by the Arts and Cultural Committee as having an A class rating. Goolarabooloo requests the Shire of Broome to revisit this matter and confirm its support for listing the Trail on the Municipal Inventory.
|
1. Noted.
2. Noted.
3. Noted, the policy has been provided to guide Shire officers as to when consultation will be undertaken for particular projects and development strategies.
4. In the development of the Policy the Burra Charter was referenced and considered. The definition of Aboriginal Cultural Significance is consistent with the Burra Charter and the principles within the Policy of seeking to consult with parties and review all available information is consistent with the Burra Charter principle of collecting and analysing information before making decisions. 5. This is noted by the Shire and is recognised in the Policy. Under clause 2.6, when the Shire is undertaking detailed designs of public works or shire development and the works fall within an a registered Aboriginal Heritage Site, the Shire will forward the proposal to DAA and request which organisations and/or persons should be consulted. At this stage DAA can advise the Shire who the knowledge holders are and the Shire will undertake consultation at that point. With regard to the preparation of development strategies (clause 1.1) and shire developments at the concept phase (clause 2.4) the Policy outlines that consultation will be undertaken with Determined Native Title Holders or Registered Native Title claimants. This is consistent with the Yawuru ILUA and for works outside of the Yawuru Determination Area, will mean that the Shire will be consulting directly with PBC, (and in some limited circumstances claimant groups) which is considered appropriate for this stage of the planning process as these bodies have demonstrated that they are the traditional custodians of the claimed area as a part of the Native Title processes. 6. Noted. It is recommended that the definition is updated to be consistent with the one contained in the Government Standard Heritage Agreement.
7. It is not for the Shire to determine whether a place meets with the requirements of section 5 of the AHA. This rests with the ACMC under the provisions of the Act. If a site is on the register then the Shire will undertake the consultation as set out in the Policy. 8. The definition contained in the Policy was adapted from the definition included in the Government Standard Heritage Agreement, with the exception that the listed activities only apply in areas which has previously been disturbed. This is consistent with the advice provided by the Department in the Fact Sheet distributed for the reassessment of DAA 30274 (LSC11) which sets out that activities in developed areas will not require an Aboriginal heritage approval and that areas which have previously been cleared will not require any additional approvals.
The Shire has discussed this comment with officers at the DAA. In the discussion Shire officers relayed as per the definition that an activity would only be considered low ground disturbance where it was within an existing disturbed footprint (i.e. the Shire was grading and existing road within the existing roads footprint or was undertaking weed management within an existing drain). It was acknowledged that this is consistent with the approach in the Aboriginal Heritage Due Diligence Guidelines whereby such works would generally be negligible to moderate disturbance and when undertaken in a built environment or significantly altered environment has a low risk to Aboriginal heritage. 9. The definition of ‘previously surveyed area’ can be removed as it is not subsequently mentioned in the Policy and therefore does not need to be defined.
10. See comments under point 5 above.
11. See comments under point 5 above.
12. The Shire receives numerous referrals for public work activities. It is the responsibility of each individual public authority to ensure that Aboriginal Heritage is addressed as part of the planning stages. The Shire does not have the administrative resources to undertaken this on behalf of other agencies. 13. The definition of “low ground disturbing activities” only applies in areas which have previously been disturbed. This would cover activities such as grading a road within the roads existing footprint, weed management of drains within the existing footprint and so on. Given that the Shire undertakes these type of activities on a daily basis it is not in a position to consult on these matters. This position is consistent with the Aboriginal Heritage Due Diligence Guidelines.
14. See comments in 5 above.
15. Noted, while it is not the Shire’s intention to undertake works in areas which have Aboriginal cultural significance, there are circumstances where this may not be avoidable. In such circumstances the Shire will seek to avoid impacts, however this may lead to s 18 consent applications being submitted to the DAA. 16. DAA is the department responsible for the implementation of the AHA and the process established in the Policy is consistent with this.
17. The Shire will consult with Goolarabooloo in accordance with the provisions of the draft Policy.
18. The Policy provides guidance about the circumstances where the Shire may engage heritage monitors. As set out under clause 2.13, monitors may be engaged following consultation where the works are being undertaken in an area which has previously not be disturbed and the comments received demonstrate that reasonable grounds exist to conclude that the presence of a heritage monitor is required to mitigate the risk of harm to Aboriginal heritage.
19. See comments above.
20. The Shire’s Corporate Business Plan shows that the review of the Municipal Inventory will be undertaken in the 18/19 financial year. The proposal to include the Lurujarri Heritage Trail on the Municipal Inventory will be considered at this time.
|
That the submission be noted.
That the definition of ‘Aboriginal Heritage Site’ be updated to be consistent with the definition contained in the Government Standard Heritage Agreement.
That the definition of ‘previously surveyed area’ be deleted.
|
|
Item 9.2.6 - DRAFT POLICY FOLLOWING PUBLIC COMMENT PERIOD - CONSULTATION ABORIGINAL HERITAGE |
|
TITLE: |
CONSULTATION - ABORIGINAL HERITAGE |
|
ADOPTED: |
OMC……………………….. – Pages |
|
REVIEWED: |
OMC……………………….. – Pages OMC……………………….. – Pages OMC……………………….. – Pages OMC……………………….. – Pages |
|
ASSOCIATED LEGISLATION: |
Aboriginal Heritage Act 1972 (WA)
|
|
ASSOCIATED DOCUMENTS: |
Community Development Policy 5.1.10 – Community Engagement |
|
REVIEW RESPONSIBILITY: |
Chief Executive Officer & Director Development Services |
|
DELEGATION: |
|
Previous Policy Number: Nil
Background:
The Shire of Broome undertakes a number of functions which could potentially interact with Aboriginal heritage, this includes:
· Preparation of strategic land use plans or development strategies (Development Strategies);
· Undertaking of Public Works; and
· Undertaking development.
The Shire of Broome acknowledges the importance of Aboriginal heritage and therefore proposes to have a clear policy to guide the Shire while performing the above functions.
Objectives:
· Guide where the Shire will consult with the Aboriginal community to gauge whether a Development Strategy, Public Works or Shire Development proposal may impact upon Aboriginal heritage.
· Establish the process the Shire will follow when a Public Works or Shire Development proposal is to be referred for consultation and how comments received will be considered.
· Detail the requirements for consultation based on the level of interaction with Aboriginal heritage.
Definitions:
‘Aboriginal Cultural Significance’ means an area that displays aesthetic, historic, scientific, social or spiritual value for past, present or future generations of Aboriginal people.
‘Aboriginal Heritage Due Diligence Guidelines’ means the guidelines published by the Department of Premier and Cabinet of WA and amended from time to time.
‘Aboriginal Heritage Site’ means a place to which the Aboriginal Heritage Act 1972 applies by operation of section 5 of the Aboriginal Heritage Act 1972.
‘Consultation’ is the open exchange of information between the Shire and the person/s being consulted, to promote awareness of the Shire’s activities and to enable the person/s to have meaningful input in the Shire’s decision-making process.
‘DAA’ means the WA Department of Aboriginal Affairs administered by the Minister of Aboriginal Affairs.
‘Development Strategy’ means a land use strategy, development strategy or other land use planning document that identifies aspirations for future land use or development for an area/precinct. Examples of documents that would be considered Development Strategies for the purposes of this definition include:
· Local Planning Strategy;
· Old Broome Development Strategy;
· Chinatown Development Strategy;
· Tourism Strategy;
· Recreation Strategies.
‘Government Standard Heritage Agreement’ means the Government Standard Heritage Agreement published by the Department of Premier and Cabinet of WA.
‘Low Discretion Works’ are Public Works or Shire Development in which there is limited discretion available to the Shire as to how or where the works can be carried out (for example, the extension of a footpath, road or drain).
“Low Ground Disturbance Activity” means any activity that is undertaken on land which has previously been disturbed or an activity that does not involve major or significant ground disturbance, including the following:
(a) field mapping, including cadastral surveys, not involving the permanent disturbance of soil and vegetation;
(b) sampling, including removing soil, rock and flora samples using hand methods (including hand augering) from the natural surface;
(c) remote sensing, biological, environmental or conservation surveys, including installing monitoring plots and marker posts;
(d) establishing temporary lay-down areas, where the establishment of the lay-down area does not require the removal of trees or shrubs and does not require any earthworks in areas which have not previously been disturbed;
(e) reconnaissance and patrol in light vehicles;
(f) drilling using hand held rig or rig mounted on 4 wheel vehicle, using existing access and without the construction of new roads and tracks (and where use of the existing roads or tracks involves no disturbance to plant roots);
(g) digging pitfall traps and temporary trenches for small animals
(h) baiting and installation of temporary fences and nest boxes;
(i) collecting and removing loose rocks, firewood, flora or fauna;
(j) conducting tests for water, site contamination, or other scientific or conservation purposes;
(k) maintaining and refurbishing existing facilities, including recreation and camping facilities, water points, signs and other structures;
(l) maintaining existing roads, drains, culverts, bridges, trails, tracks, fence lines and firebreaks;
(m) erecting signage and barriers using hand and mechanical augers;
(n) revegetating of degraded areas, including fencing areas of vegetation;
(o) rehabilitating previously disturbed areas, including ripping, scarifying, matting, brushing, seeding and planting;
(p) carrying out species recovery programs;
(q) erosion control activities around existing roads, infrastructure or facilities;
(r) weed control using hand, mechanical and chemical methods of control;
(s) any other use of hand-held tools, not referred to in the preceding
paragraphs;
(t) the laying of temporary water pipelines across the ground where no excavation is required; and
(u) electrical works associated with existing infrastructure in previously disturbed areas.
‘Public Work’ has the meaning given in the Public Works Act 1902.
‘Section 18 Notice’ means a notice lodged in accordance with section 18 of the Aboriginal Heritage Act 1972 (WA) for consent to use land which may impact an Aboriginal heritage site.
‘Shire Development’ means a development, other than public works, that is undertaken by the Shire which involves the carrying out on the land of any excavations or other ground disturbing works.
Policy:
1.0 Preparation of Development Strategies
|
While Development Strategies themselves do not propose to undertake works, they do identify future development opportunities or concepts to improve an area.
The most important element of undertaking consultation at this stage is to inform the preparation of the Development Strategy and to ensure that an Aboriginal Heritage Site or areas of Aboriginal Cultural Significance are identified and considered.
|
1.1 The Shire of Broome (or consultants engaged by the Shire) prior to preparing a Development Strategy will forward details of the land area proposed to be covered by the Development Strategy and a copy of the key objectives to the following organisations:
a) Determined Native Title Holders for the area; or
b) Registered Native Title claimants for the area.
The Shire will also review any heritage reports previously prepared and that are publicly available for the Development Strategy area.
1.2 The Shire will arrange a workshop with representatives of the above organisations, to discuss the project and any Aboriginal Heritage Sites or areas of Aboriginal Cultural Significance that may exist within the area of the Development Strategy.
1.3 In undertaking this consultation, the Shire will request information on:
a) any Aboriginal Heritage Sites;
b) particular areas within the proposed Development Strategy area boundaries that are known to have Aboriginal Cultural Significance; and
c) a description of the significance (if culturally appropriate).
The Shire will provide a minimum 30 day period in which the above information can be provided and the workshop is to be held. Following this period, the Shire will progress with the preparation of the Development Strategy.
1.4 The outcomes from the consultation (both written and verbal) will be incorporated into the Development Strategy as far as practicable and will identify ways to avoid impacts upon Aboriginal Heritage Sites or areas of Aboriginal Cultural Significance.
1.5 As these planning instruments do not involve ground disturbing works or activities, the Shire will not undertake an Aboriginal heritage survey. However, the Shire will review and incorporate any relevant considerations for an identified Aboriginal Heritage Site that may exist in the Development Strategy area.
1.6 Following a draft of the Development Strategy being adopted, organisations consulted with in accordance with clause 1.1 of this policy will be forwarded a copy of the draft and invited to provide comments.
1.7 A further opportunity will be provided for a workshop to be held between the Shire and representatives of the organisations mentioned in clause 1.1.
1.8 Any comments or submissions received will be tabled as a part of a report seeking the final adoption of the Development Strategy.
2.0 Shire of Broome Public Works or Shire Development
|
For the Shire of Broome to be able to deliver services to the community the Shire is required to undertake a number of different Public Works or Shire Development. This could include (but is not limited to) items such as:
· Road construction and maintenance; · Installation of drainage; · Footpaths and development of public recreation facilities; · Bridges; · Cemeteries; · Redevelopment of Shire owned/managed land or buildings; · Quarries or works for procuring stone, earth or any other material required for the construction of a public work.
The Crown, the Governor, or the State government may also undertake Public Works including works such as railways, public housing, court houses, provision of water, public schools, etc.
Public Works and Shire Development can have the potential to impact upon Aboriginal Heritage Sites. The provisions below will establish the Shire’s procedure for determining whether a Public Work or Shire development may impact upon Aboriginal Heritage Sites.
|
2.1 The Shire of Broome will not undertake consultation on behalf of other government authorities or agencies undertaking Public Works. This is the responsibility of the government authority or agency undertaking the works.
2.2 The provisions below apply to the Shire of Broome’s activities only.
2.3 The Shire will not undertake any consultation or notification for activities or works which meet the definition of Low Ground Disturbance Activity.
Concept Phase
2.4 For Public Works or Shire Development which is not Low Discretion Works, at the concept design phase of the project the Shire will refer the proposal to:
a) Determined Native Title Holders for the area; or
b) Registered Native Title claimants for the area,
and provide a 30 day period in which comments are to be provided on any Aboriginal Heritage Sites or Aboriginal Heritage Significance that exists within the area.
For any works which are Low Discretion Works, the consultation will be undertaken in accordance with clause 2.6.
2.5 From the comments received the Shire will:
a) If the concept plan has been identified as impacting upon an Aboriginal Heritage Site(s), as far as practicable the concept plan will be amended to avoid impacts upon the Aboriginal Heritage Site(s); and
b) Subject to design and budgetary considerations, attempt to:
(i) alter the design of the proposed works or activity to avoid impacts on elements of Aboriginal Cultural Significance that exists within the area of the works or activity; and/or
(ii) incorporate interpretative or design elements to promote awareness of elements of Aboriginal Cultural Significance that exists within the area of works or activity.
Design Phase
2.6 If a proposed Public Work or Shire Development which is not a Low Ground Disturbance Activity falls within an Aboriginal Heritage Site, the Shire of Broome will forward a copy of the proposal to the DAA to enquire if:
a) the Public Work or Shire Development proposed will disturb an Aboriginal Heritage Site;
b) whether a Section 18 Notice is required; and
c) who should be consulted prior to the lodgment of the section 18 Notice.
2.7 If the DAA advises that the proposed Public Works or Shire Development does fall within the area the subject of an Aboriginal Heritage Site, the Shire of Broome will consult with those persons or organisations advised by the DAA.
2.8 In undertaking this consultation, the Shire will:
a) Forward to the persons or organisations advised by the DAA in accordance with clause 2.7:
(i) written notification advising of the proposed Public Works or Shire Development;
(ii) details of estimated commencement and completion dates; and
(iii) copies of the designs of the proposed works (if available); and
b) Request that comments be provided within 30 days on whether the proposed works would impact upon any Aboriginal Heritage Sites and if the proposed works could be modified to avoid or minimise impacts upon Aboriginal Heritage Sites.
2.9 If the DAA advises that there is ‘insufficient information’ to determine if the Aboriginal Heritage Act 1972 applies, the Shire of Broome will:
a) forward the information outlined in clause 2.8 a) to any determined native title holders or any registered native title claimant groups; and
b) provide a 30 day period in which any comments are requested to be forwarded to the Shire.
Please refer to Attachment No 1 – Public Works or Shire Development Flow Chart which provides a visual representation of the above processes.
2.10 For all other land which does not fall within a registered Aboriginal Heritage Site, the Shire of Broome will follow the principles and process set out in the Aboriginal Heritage Due Diligence Guidelines.
2.11 If consultation is deemed to be required following a review of the Due Diligence Guidelines, then it will be carried out in accordance with clause 2.6.
Please refer to Attachment No 2 – The Aboriginal Heritage Risk Matrix which provides a summary of the risk assessment process provided within the Due Diligence Guidelines.
2.12 As part of the consultation carried out in accordance with clauses 2.8, 2.9 and 2.11, the Shire will only adjust how it intends to undertake the proposed Public Works or Shire Development if comments are received that the works would impact upon an Aboriginal Heritage Site. Any other comments received that do not relate directly to Aboriginal Heritage Site(s) will be considered as part of any wider community engagement process, if required in accordance with Policy 5.1.10 – Community Engagement.
Aboriginal Heritage Monitors
2.13 If the Shire receives comments following consultation under clauses 2.8, 2.9 or 2.11 requesting that a heritage monitor is engaged, the Shire will agree to engage a heritage monitor in the following circumstances:
a) the works are being undertaken in an area which has previously not been subject to ground disturbing activities; and
b) the comments received following consultation demonstrate reasonable grounds exist to conclude that the presence of a heritage monitor is required to mitigate the risk of harm to Aboriginal heritage;
2.14 If doubt exists as to whether the engagement of a heritage monitor is required or regarding the selection of an appropriate heritage monitor for a particular location, then the Shire will seek advice from the DAA.
2.15 If:
a) the Shire engages a heritage monitor in accordance with Clause 2.13; or
b) consent to proceed with the works granted in accordance with Section 18 of the Aboriginal Heritage Act 1972 is conditioned on a heritage monitor being required while the ground disturbing works are being undertaken,
the Shire of Broome adopts the principles contained within the Department of Premier and Cabinet’s Guidelines for the Engagement of Aboriginal Heritage Monitors.
Aboriginal Heritage Surveys
2.16 Aboriginal heritage surveys will be undertaken for proposed Public Works or Shire Development in the following circumstances:
a) A person or an organisation consulted under clauses 2.8, 2.9 or 2.11 can demonstrate that an Aboriginal heritage survey is required to identify an Aboriginal Heritage Site; or
b) Advice is received from the DAA that a survey is required to support the Section 18 Notice application.
Notwithstanding the above, the Shire may decline to undertake an Aboriginal heritage survey if a survey has previously been prepared for the area or the works.
2.17 When undertaking an Aboriginal heritage survey, the Shire adopts the principles contained within the Government Standard Heritage Agreement and will request that the registered Native Title claimants or determined Native Title holders enter into such agreement with the Shire.
Links:
|
Aboriginal Heritage Inquiry System: |
|
|
Aboriginal Heritage Due Diligence Guidelines: |
|
|
Government Standard Heritage Agreement: |

|
9.2.7 TRADING IN PUBLIC PLACES LICENCE APPLICATION - BROOME FAT BIKE TOURS LOCATION/ADDRESS: Cable Beach APPLICANT: Lachlan Harris FILE: COS11 AUTHOR: Environmental Health Officer CONTRIBUTOR/S: Nil RESPONSIBLE OFFICER: Director Development Services DISCLOSURE OF INTEREST: Nil DATE OF REPORT: 31 January 2017 |
|
SUMMARY: The Shire received an application for a Trading Licence under the Trading, Outdoor Dining and Street Entertainment Local Law 2016 to conduct small group mountain bike tours along Cable Beach. The area of operation will be north of the rocks to Willie Creek. This report provides an overview of the application for Council’s consideration. |
BACKGROUND
Previous Considerations
Nil.
COMMENT
Application Details
|
Applicant |
Lachlan Harris |
|
Application Received |
19 September 2016 |
|
Application Fee Paid |
Yes |
|
Information On Application |
Complete |
|
Appropriately Zoned Land |
Not required by this activity |
|
Approvals |
Approval under the Conservation and Land Management Act 1998 (CALM Act) is required. |
|
Public Liability Insurance |
Will be a requirement prior to issuing the licence |
|
Details Of Proposed Activity |
Small group mountain bike tours along Cable Beach north of the rocks. |
An application for a Trading Licence was received from Mr Lachlan Harris on 19 September 2016. Requests for further information and consideration of the proposal by the Yawuru Park Council has delayed the preparation of this report.
Mr Harris has proposed that tours will be conducted along the beach north of the rocks to Willie Creek. Tours will operate year round subject to demand and will be undertaken under the trading name Broome Fat Bike Tours.
Attachment 1 to this report shows the proposed area within which the Fat Bike Tours will be undertaken.
The applicant proposes to operate all year around, running daily mountain bike tours. Each tour group will have a maximum of 10 participants. Tours will initially be conducted in the hours leading up to sunset, with a duration of 1.5 to 2 hours. Subject to popularity, additional tours may be run in the morning from dawn onwards. The tours will utilise a special type of mountain bike known as a fat bike, which is a modified mountain bike that has specialised wheels designed for riding on sand.
Staffing of the business will initially be solely by the applicant, Mr Harris. Depending on operating needs, one or two additional part-time or casual staff may be engaged in the future. Staff will not be required to be present at the trading site at all times, as the trading site is not a point of sale or bookings, but functions as a start and finish point for the tours that the staff will be leading.
The applicant requires sufficient space on the beach to park a vehicle and trailer combination used for the transport of customers and bikes. Land use will be non-exclusive, and as such a 30 metre wide strip of beach is considered to be an adequate sized trading area. Tour participants will be picked up from their accommodation and driven to the approved area at Cable Beach for their transfer to the mountain bikes and the commencement of the tour.
The vehicle and trailer will be transported to the beach each day shortly before the start of tours and will be removed from the beach at the close of operations. The trailer will be stored on a private property when not in use.
Attachment 2 to this report shows the proposed trading area on Cable Beach from which the Fat Bikes Tours will commence.
The tours will be marketed and booked in advance through a website that provides a booking portal. Promotional materials will be distributed through Broome accommodation providers and the Broome Visitors Centre. The applicant is exploring advertising possibilities with third party providers such as Trip Advisor and Lonely Planet.
A completed risk management checklist, which forms part of the Shire’s trading licence application requirements, has been included, as has confirmation of intention to obtain public liability insurance to the value of $10 million if the application is approved.
Land which the proposed tours will traverse
The proposed tours will commence on Lot 555 DP406039 which is managed by the Shire. It is on this Lot that the 30 metre area where the vehicle and trailer will be parked.
The tours will then traverse Reserve 50994 and Reserve 51162. Reserve 50994 is jointly managed by the Shire and the Yawuru Native Title Holders Aboriginal Corporation Registered Native Title Body Corporate (Yawuru). Reserve 51162 is jointly managed by the Shire, Yawuru and Department of Parks and Wildlife (DPAW) on behalf of the Conservation Commission of WA. Therefore, the application must be supported by Yawuru and the Yawuru Park Council (YPC) for it to proceed.
On advice from Shire officers, the applicant approached Yawuru to discuss the proposal prior to submitting his application for a trading licence. As a result of this consultation, the applicant agreed that the Broome Fat Bike Tours would not access the sand dunes or tracks contained in the sand dunes, and would restrict tour activities to the beach. Mr Harris confirmed this in an email to Shire officers.
Further, a report outlining the proposal was presented to the YPC at its meeting on 16 November 2016. At this meeting, the YPC resolved as follows:
That Yawuru Park Council:
1. Supports each Yawuru Park Council member organisation delegating authority to individual representative to assess the Shire of Broome Trading Licence application and the Dept. Parks and Wildlife ‘T-class’ application and include any other conditions so required by those agencies. If there is any dissention between agencies then the matter is referred back to YPC.
2. That the delegated authority (as above) has the ability to advise the SoB and Dept. Parks and Wildlife to complete the processing of the licence applications.
In accordance with this YPC resolution, the application for trading licence and a set of draft conditions of approval were provided to Yawuru and DPAW representatives for their consideration. The conditions recommended for the trading licence for the Broome Fat Bike Tours include an addition requested by DPAW and Yawuru, stating that the tours must be undertaken below the Highest Astronomical Tide.
In addition, approval will be required for the proposed tours over Reserve R51162 under the CALM Act. The applicant has been in discussions with the relevant officer at DPAW in relation to obtaining this approval and is aware of this requirement.
What are fat bikes?
A fat bike (also referred to as a fatbike or fat-tyre bike) is a bicycle designed for off-road use, which has larger than normal bicycle rims and tyres. Tyre widths are typically upwards of 64mm, with sizes that are increasingly larger depending on the size and design of the bike wheels and rims. This design allows for low ground pressure and a large contact area (or footprint) between the tyre and the ground. This design enables the bikes to be ridden smoothly over soft terrain such as snow and sand, terrains on which tyres with a smaller contact area would not gain sufficient traction and become bogged.
Regulatory issues
The applicant addresses the issue of helmets in the Workplace Health and Safety Management Plan by saying that participants will be supplied with helmets that comply with the Australian Standard AS/NZS 2063:2008 Bicycle helmets. The loaning or hiring out of bicycle helmets raises health issues relating to nits and bodily fluids such as sweat. It is recommended that these health issues are addressed by the Applicant by ensuring that the helmets are cleaned between uses.
The applicant has also proposed that light refreshments may be served to participants after each tour. The provision of food products, including bottled water, will require notification of a food business in accordance with s107(1) of the Food Act 2008. As a result, the submission of a Food Premises Notification/Registration Form, an inspection of the business and payment of associated application and annual fees will be required before the trading activity can include the provision of light refreshments. This is a requirement that the applicant has indicated will be met if the licence is approved.
Statutory planning considerations
As the activity will not require the exclusive use of the land as outlined above, it is not considered to constitute a land use change which would require development approval.
Conclusion
It is recommended that a Trading Licence be issued for a period of five (5) years in accordance with Council Policy 4.2.15 subject to relevant conditions. The trading licence will take affect upon payment of the licence fee in accordance with Council’s adopted fees and charges.
CONSULTATION
Nyamba Buru Yawuru Ltd, Department of Parks and Wildlife and Yawuru Park Council
STATUTORY ENVIRONMENT
Trading, Outdoor Dining and Street Entertainment Local Law 2016
5.4 Licence application
5.4.1 An applicant for a trading licence must comply with subclause 2.2.2.
5.4.2 An application for a trading licence must be forwarded to the local government together with—
(a) details of the number of persons to be employed or engaged in the trading at any one time;
(b) a plan of the proposed location or, where the trading will not be conducted from a fixed location, a description of the route or areas from which the applicant proposes to trade;
(c) details of the days and hours of operation;
(d) details of the proposed goods or services to be traded under the trading licence;
(e) if any stall will be used for trading, a detailed and accurate plan and description, including dimensions, of the stall; and
(f) where the applicant is a corporation, the name and address of the person responsible for complying with any terms and conditions of the licence.
5.5 Trading licence
A trading licence granted by the local government will—
(a) include a licence number;
(b) include the location, days and hours of operation and approved trading area;
(c) detail the goods or services which can be traded under the trading licence;
(d) specify the number of persons that may carry on trading at any time under the trading licence; and
(e) detail any other terms and conditions imposed on the licence.
5.6 Term and validity of licence
5.6.1 A trading licence remains valid until—
(a) the expiry date stated in the licence is reached;
(b) variations are made to the trading area or activities, including an increase, reduction or change in the approved trading area, unless the variations are made by the local government in accordance with subclause 2.4.4;
(c) any public liability insurance policy required as a condition of the licence lapses, is cancelled or is no longer in operation; or
(d) the licence is cancelled by the local government.
5.6.2 If any of the events specified in subclause 5.6.1 occur, then a new application for a trading licence must be made and a new trading licence issued before any trading can be carried out.
5.7 Responsibilities of licensee
5.7.1 The licensee must—
(a) comply with the conditions of the trading licence;
(b) where a stall is being used for trading:
(i) display a sign indicating the name of the licensee and the licence number, with letters and numerals not less than 5 centimetres in height in a conspicuous place in the approved trading area;
(ii) ensure that the approved trading area is attended either by the licensee or a person employed or engaged in the trading activity at all times when trading is being undertaken;
(iii) keep the stall in a clean and safe condition and in good repair;
(iv) keep the approved trading area free from refuse and rubbish;
(v) remove any stall, goods, equipment and signs from the approved trading area and leave that location clean and vacant -
A. at the conclusion of the permitted hours of operation specified in the trading licence; and
B. whenever trading is not taking place; and
(c) have the trading licence available at all times trading is being undertaken, for inspection at the request of any authorised person.
5.7.2 The licensee must not—
(a) permit any trading activity to extend beyond the approved trading area;
(b) engage in or permit any trading in any goods or services other than those specified in the trading licence;
(c) cause, permit or suffer any nuisance to exist, arise or continue on or from the approved trading area;
(d) deposit, place or store any goods on any public place, other than within the trading area;
(e) obstruct the free passage of pedestrians on any footpath or pedestrian accessway;
(f) use or display or permit to be used or displayed any advertisement, placard, poster, streamer, sign or signboard on or about the approved trading area exceeding a total area of 0.5 square metres;
(g) erect and maintain any signs in accordance with sub-clause (f) so as to obscure any other signage on or adjacent to the approved trading area;
(h) cry out or shout about, or permit any other person to cry out or shout about, any goods or services in any public place or from the trading area, to the detriment of or causing a nuisance to nearby traders or persons undertaking commercial activities; or
(i) use or permit to be used—
A. any loud hailer, microphone, amplifier or other apparatus for making or transmitting sound, on or from the approved trading area, unless approved by the local government;
B. any record, tape, radio, bell, musical instrument or other instrument or device capable of being heard beyond the boundaries of the approved trading area unless approved by the local government;
C. any flashing or intermittent lighting apparatus or device on or from the approved trading area; or
D. an apparatus or device including a flap or shelf whereby the dimensions of the stall are increased beyond the dimensions specified in the trading licence.
POLICY IMPLICATIONS
The application has been assessed against the Shire’s Trading, Outdoor Dining and Street Entertainment Local Law 2016 (Local Law) and Policy 4.2.15 – Trading in Public Places (Trading Policy).
A licence agreement via a formal disposal process in accordance with section 3.58 of the Local Government Act 1995 is not required in this particular instance due to the temporal nature of the activity and the fact that use of the area will not be exclusive.
Local Law
Clause 5.4 of the Local Law contains a list of application requirements. The applicant has provided the necessary information, as described above.
Trading Policy
The Objectives of the Trading Policy include:
1. To facilitate the assessment and approval of Trading Licences in accordance with the Local Law.
2. To maintain amenity, usability and public safety in public places.
3. Promote fairness and certainty to traders, permanent businesses and the community in relation to trading in public places.
4. Promote vibrancy of public places and economic development in the Shire of Broome.
5. To protect Cable Beach as a highly valued environmental, cultural and social asset enjoyed by visitors and residents alike.
The application is considered to comply with the objectives of the Trading Policy.
The Trading Policy also provides criteria to be met when considering a trading licence application. These criteria are discussed below.
Other than the commercial camel operators, there is currently one other trading licence issued for Cable Beach. This licence is held by Darryl and Angela Roberson trading as the Beach Hut. See Attachment 3 which shows the location of the other Cable Beach traders.
The business would not be directly competing with other like businesses, and is located more than 300m from the Broome Cycles bicycle hire business.
The location of the proposed trading area will minimise its impact on other traders and prevent congestion of the area. In terms of community impact, the proposed trading area is already well used by members of the public for swimming and driving, as it is a main area in which vehicle access is permitted. Therefore, locating the starting point for the tours in this location will provide an additional recreational opportunity for people without detracting from the reasonable enjoyment of the beach by other visitors.
The trading activity is not likely to generate a noise disturbance as it does not involve hawking or motorised vehicles beyond the vehicle used to transport customers and bikes.
The applicant provided all required documents including a Risk Management Plan, an Occupational Health and Safety Plan, and a Business/Operational Plan. These plans have been assessed and have been deemed satisfactory by Shire officers.
The Trading Policy includes additional provisions for trading activities on Cable Beach. The proposed Fat Bike Tours comply with these criteria, as follows:
1. A maximum of six trading licences are to be granted for Cable Beach - There are currently only five trading licences granted for Cable Beach.
2. Trading licences are to only to be issued for trading activities that support and are related to the recreational use and enjoyment of Cable Beach and its adjacent waters - Mountain bike tours are a recreational use and the location has been specifically selected to take advantage of the natural attributes of the area.
3. A person must not hold more than one trading licence for Cable Beach at any time - The applicant does not currently hold another trading licence in Broome.
4. The licensee must have a valid permit issued in accordance with the Control of Vehicles (Off Road Areas) Act 1960 - The area where the applicant intends to take his vehicle on the beach does not lie within the off-road vehicle prohibited area of Cable Beach. As such, a permit for access is not required.
Therefore, the application complies with the Local Law and Trading Policy.
FINANCIAL IMPLICATIONS
Should Council approve a Trading Licence for Broome Fat Bike Tours the following fees will be payable by the applicant. An application fee of $330.00 has already been submitted, and an annual licence fee will be collected in accordance with Council’s adopted fees and charges.
Fees are set based on cost recovery. Given the activity is proposed on Cable Beach, an area to which significant Shire resources are dedicated, the high intensity licence fee of $1540.00 per annum will be applicable.
RISK
Risks associated with the business are to be borne by the applicant. The applicant has developed a Risk Assessment and Management Plan and a Workplace Health and Safety Management plan to mitigate risks.
As part of the terms of the trading licence, the licensee is required to obtain public liability insurance to the value of $10,000,000 ($10 million) prior to the commencement of trading.
In light of these mitigation measures, the risk to the Shire in approving the activity is considered Low.
There is a risk if the Shire were to refuse the application that the decision may be challenged in the State Administrative Tribunal. The risk of this occurring should the Shire refuse the application, given the application complies with the Local Law and Trading Policy, is considered Moderate.
STRATEGIC IMPLICATIONS
Our People Goal – Foster a community environment that is accessible, affordable, inclusive, healthy and safe:
Accessible and safe community spaces
Participation in recreational and leisure activity
A healthy and safe environment
Our Place Goal – Help to protect the nature and built environment and cultural heritage of Broome whilst recognising the unique sense of the place:
A unique natural environment for the benefit and enjoyment of current and future generations
Retention and expansion of Broome’s iconic tourism assets and reputation
VOTING REQUIREMENTS
Simple Majority
|
That Council: 1. Approves the application for a trading licence from Lachlan Harris for small group mountain bike tours on Cable Beach in accordance with: a) clause 2.3.1 of the Trading, Outdoor Dining and Street Entertainment Local Law 2016; and b) the
application received by the Shire on 14 September 2016. 2. Authorises the Chief Executive Officer to issue the trading licence to Lachlan Harris for small group mountain bike tours on Cable Beach in accordance with clauses 2.3.1 and 2.4 of the Trading, Outdoor Dining and Street Entertainment Local Law 2016 subject to the following conditions: a) The licence expiry date is 28 February 2022. b) No individual or business shall hold more than one (1) trading licence at any time and will operate independently at all times. c) All necessary approvals for all aspects of the operation must be obtained and maintained. d) The licence holder must ensure that public liability insurance cover is in place for the trading activity to the value of $10,000,000 ($10 million) at all times. e) The licence is not transferable or renewable without the approval of Council and there is to be no expectation of continuance of the licence by the Licence Holder. f) The trading activity is to occur within the area approved for the trading activity as detailed on the plan attached to this trading licence. g) The trading activity must remain limited to Cable Beach, below the highest astronomical tide. h) The commencement of tours undertaken as part of the trading activity, including the placing of signs, is to occur within the area shown on the plan attached to this trading licence. i) The licensee must immediately comply with any lawful direction given at any time by the Chief Executive Officer of the Shire of Broome or his or her delegate, or an Authorised Officer, including the Shire of Broome Rangers and Lifeguards. j) The licensee must maintain and adhere to, during the period of the licence, all procedures, policies, licences and accreditation outlined in the licence application and allow Shire officers, at any time, to inspect and verify the use and currency of those procedures, policies, licences and accreditation. k) The licensee must at all times comply with the requirements of all relevant legislation, including but not limited to the Road Traffic Act 1974, the Road Traffic Code 2000, the Food Act 2008 and the Occupational Health and Safety Act 1984. l) The licensee must obtain approval in accordance with the Conservation and Land Management Act 1998 to undertake the trading activity within Reserve 51162. m) The licensee may place only one portable sign within the trading area approved for the commencement of the tours. That sign must: (i) not exceed 750mm in height; (ii) not exceed 0.9 square metres double sided area (eg. 750mm x 600mm each face); (iii) not indicate or display any matter other than the nature of the trading activity; (iv) be placed so as not to cause interference or be hazardous to vehicular traffic or cause any interference or hazard or impede pedestrians; (v) be of sound construction, maintained in good condition, neatly written and fixed in position to the satisfaction of the Shire’s Building Surveyor; (vi) be removed from the land in the event of a cyclone threat; and (vii) be removed at the end of each trading session. n) The licensee must, at the conclusion of business each day, remove all and any refuse and litter associated with the operation of the trading activity and ensure the site is left in a clean and safe condition. o) All equipment must be removed from the beach at the close of operation each day. p) A maximum of 10 participants is permitted in each tour. q) The only trading activities permitted on the area of application are: · Small group mountain bike tours. |
|
Proposed Trading Area up to Willie Creek |
|
|
Broome Fat Bikes Proposed Trading Area |
|
|
Cable Beach Trader Locations |
|
Item 9.2.7 - TRADING IN PUBLIC PLACES LICENCE APPLICATION - BROOME FAT BIKE TOURS |
Shire of Broome – Overview of Broome Fat Bike Tours Proposed Trading Area up to Willie Creek

![]()
|
Item 9.2.7 - TRADING IN PUBLIC PLACES LICENCE APPLICATION - BROOME FAT BIKE TOURS |
Shire of Broome - Broome Fat Bike Tours Proposed Trading Area

![]()
|
Item 9.2.7 - TRADING IN PUBLIC PLACES LICENCE APPLICATION - BROOME FAT BIKE TOURS |
Shire of Broome – Cable Beach Trader Locations


|
9.2.8 GOVERNMENT SEWERAGE POLICY - SHIRE OF BROOME SUBMISSION LOCATION/ADDRESS: Nil APPLICANT: Nil FILE: ENH81 AUTHOR: Manager Planning & Building Services CONTRIBUTOR/S: Environmental Health Coordinator RESPONSIBLE OFFICER: Director Development Services DISCLOSURE OF INTEREST: Nil DATE OF REPORT: 1 February 2017 |
|
SUMMARY: The Department of Planning has released the draft Government Sewerage Policy (October 2016) and accompanying Explanatory Notes for public comment. This report includes a review of the changes proposed and recommends that Council make a formal submission on the draft Policy. |
BACKGROUND
Previous Considerations
Nil.
Background
The draft Country Sewerage Policy was introduced in 2002 (amended in 2003) to improve amenity and foster the development of townsites through the orderly provision of sewerage services. The draft Country Sewerage Policy requires that all subdivisions or development are connected to reticulated sewerage, except where certain discretionary provisions apply.
The State government has identified the need to review the current sewerage policies (including the Government Sewerage Policy – Perth Metropolitan Region) in light of their age, the ongoing draft status of the Country Sewerage Policy and changes in on-site sewage treatment and disposal technologies and management in Western Australia.
In December 2011, the Department of Health released the Government Sewerage Policy – Consultation Draft, which it had prepared with the assistance of the Government Sewerage Policy Review Committee, consisting of representatives from the Department of Planning, Department of Environment and Conservation, Department of Water and the Water Corporation.
Forty-four submissions were received from a range of agencies and individuals.
The government sewerage policies are implemented via the planning process through development/subdivision controls adopted by the Western Australian Planning Commission (WAPC). As a result, the revised Government Sewerage Policy (October 2016) has been prepared predominantly by the Department of Planning. Technical advice on health impacts has been provided by the Department of Health. Environmental advice has been provided by the Department of Environment Regulation, Department of Parks and Wildlife and Department of Water.
The draft Government Sewerage Policy (October 2016) and a copy of the Explanatory Notes can be accessed from the following link: https://www.planning.wa.gov.au/publications/9808.aspx.
COMMENT
The draft Country Sewer Policy, while still in draft form, is a Policy that has been implemented through the planning and subdivision process since 2002. The Policy establishes that new lots and houses are required to be connected to reticulated sewerage with some exemptions. These exemptions include:
· Small infill subdivisions where there is no potential for the creation of more than four additional lots, dwellings or single dwelling equivalents in the immediate vicinity (within a street block) so that the proposal completes rather than extends an existing pattern of subdivision;
· Larger lot subdivisions that would create lots of 2000sqm or greater; or
· Sites which are remote or isolated from reticulated sewer provided that the maximum density is R10 (average lot size of 1,000sqm) and no more than 25 lots are being created.
In the above cases, an applicant can dispose of effluent through onsite methods (such as septic tanks and leach drains or Alternative Treatment Units (ATUs)) rather than being connected to reticulated sewer.
In the Shire of Broome, the Water Corporation sewerage service extends to all residential zoned properties in the Broome townsite. As a result, lots are required to be connected to reticulated sewerage. Therefore the exemptions in the current draft Policy have limited application in Broome and would only apply to development proposals remote or isolated from existing sewerage services.
The review which has lead to the release of the Government Sewerage Policy (October 2016) and Explanatory Guidelines has taken a number of years, with technical input from a number of government departments and local governments. In the main, the changes proposed are considered positive as they have provided clarification on a number of elements which were not addressed in the previous Policy, including how trade waste is dealt with and water table separation.
One of the key differences in the Government Sewerage Policy (October 2016) is the introduction of policy measures to prevent environmental impacts when on-site effluent disposal is used. This has been incorporated into the Policy by defining ‘sewage sensitive areas’ which are locations known to have high environmental values. ‘Sewerage sensitive areas’ are defined to include the following areas in the Shire of Broome:
· Land that drains to or is within 2km of the estuarine areas of Dampier Creek;
· Within 2km of the coastal embayment of Roebuck Bay;
· Areas within a boundary which is 1km up-groundwater gradient and 250m down-groundwater gradient of a significant wetland, or where the groundwater gradient is unknown, within 1km of a significant wetlands;
· Habitats of threatened ecological communities (TECs) and priority ecological communities (PECs) and specially protected water dependent fauna.
Mapping of sewage sensitive areas has been prepared to support the Policy. The Map of sewage sensitive areas is available online at https://espatial.planning.wa.gov.au/mapviewer/Index.html?viewer=planwa&layerTheme=8. A large portion of the Broome townsite and various locations in the Dampier Peninsular and the southern coastal areas of the Shire will be sewerage sensitive areas under the Policy, as shown in Attachment No 1.
Being included in the sewerage sensitive areas will have implications in the application of two clauses of the Policy, as summarised below.
Minimum lot size
Clause 6.2 (1)(c) of the Policy establishes that residential subdivisions must have a minimum lot size of 1ha in sewerage sensitive areas. For areas outside of sewerage sensitive areas and priority drinking water source areas, the minimum lot size without sewer will be maintained at 2,000sqm.
Under the current draft Country Sewer Policy there are no ‘sewerage sensitive areas’ and the minimum lot size allowed without connection to reticulated sewerage is 2000sqm. Under the new Policy, this will increase to 1ha for sewerage sensitive areas. Given that the majority of the townsite is, or can be connected to reticulated sewer, this does not raise significant implications. It may have an impact on the ‘Bush Living’ parcels identified in the northern portions of the Broome North District Development Plan (DDP). The DDP allows for a range in residential densities from R2 – R10 in these area. The proposed amendments under the Government Sewer Policy (October 2016) will mean that these lots would have to be connected to reticulated sewer unless they are 1ha in area, whereas currently they would only have to be connected to sewer if a density greater than R5 (minimum lot size is 2000sqm lots) were proposed.
The Policy will have the effect of either creating larger lots sizes in this area or will require that future developers connect these lots to sewer.
The increase in lot sizes for the sewer sensitive areas is proposed to reduce the cumulative impact onsite effluent disposals systems could have upon sensitive environments. Under clause 6.2 (5) (b) of the Policy any development in a sewer sensitive area will also be required to have a secondary treatment system with nutrient removal installed instead of a conventional septic tank and leach drain system. These types of systems reduce the phosphorus and nitrogen concentration of the waste water. As these systems can effectively operate on lots with an area of 2,000sqm and reduce nutrients from the waste water, and in doing so minimise the potential environmental impacts, it is considered that the minimum lot size should remain at 2000sqm.
Secondary treatment systems
Clause 6.2 (5) b) will require that development applications and non-residential subdivisions utilise secondary treatment systems with nutrient removal if in a sewerage sensitive area.
A secondary treatment unit is a microbial digestion and physical settling and filtering process and decomposition of sewerage from a primary treatment unit, commonly known as an ATU. When installed, operated and maintained appropriately, they effectively treat sewage to a standard suitable for spray irrigation, thereby providing a sustainable source of fit-for purpose water for reuse. Secondary treatment units however, are significantly more expensive to install and maintain than conventional septic systems.
Secondary treatment units have rigorous installation, operation and maintenance requirements and are prone to failure when the maintenance requirements are not adhered to, which has implications for landowners, licenced service agents and local government. If failure occurs, these systems can create a risk to both human and environmental health.
Under the Policy, non-residential subdivisions (recent example includes the Broome Road Industrial Area) will be conditioned to require the installation of a secondary treatment unit if they are in a sewerage sensitive area. This already forms a condition of the Broome Road Industrial Area and no concerns are raised in relation to this approach, where these areas are located in proximity to Broome and have all year round access for maintenance purposes.
Concern is raised on the impacts this Policy provision could have on some tourist developments in the more remote coastal locations in the Shire. As some of the coastal locations have significant wetlands or are in proximity to TEC or PECs they are defined as sewerage sensitive areas. Therefore the Policy will require that a secondary treatment unit is installed rather than a conventional septic system (septic tanks and leach drains). The maintenance burden that a secondary treatment unit would place on proponents in these areas and additional costs would be significant. This is because an authorised person, of which there are limited numbers in Broome, would have to undertake maintenance inspections and reporting every three months.
Given the potential risks that could occur if a secondary treatment unit is not maintained correctly, it is recommended that it should not be a requirement that these systems be used. Instead, discretion should be provided in the Policy to allow site by site assessment and if it is deemed that the site is capable of accommodating a conventional septic system instead of primary treatment unit without creating a risk to the sensitive environment, this should be allowed to occur. Alternatively as the principle issue with secondary treatment unit is the on-going maintenance implications, the Policy should allow for discretion to be exercised on sites which are remote.
Summary
Overall the review of the draft Country Sewer Policy is long-over due. While there are some changes proposed in the Government Sewerage Policy (October 2016), apart from the two issues identified above, it is considered that overall the changes will have minimal impact on development in the Shire of Broome and are positive. A copy of the proposed submission is provided in Attachment No 2
It is recommended that Council endorse the submission prepared.
CONSULTATION
Nil.
STATUTORY ENVIRONMENT
Planning and Development Act 2005
POLICY IMPLICATIONS
Nil.
FINANCIAL IMPLICATIONS
Nil.
RISK
Nil.
STRATEGIC IMPLICATIONS
Our People Goal – Foster a community environment that is accessible, affordable, inclusive, healthy and safe:
Affordable services and initiatives to satisfy community need
Accessible and safe community spaces
A healthy and safe environment
Our Place Goal – Help to protect the nature and built environment and cultural heritage of Broome whilst recognising the unique sense of the place:
Realistic and sustainable land use strategies for the Shire within state and national frameworks and in consultation with the community
A built environment that reflects arid tropical climate design principles and historical built form
A unique natural environment for the benefit and enjoyment of current and future generations
VOTING REQUIREMENTS
Simple Majority
|
That Council endorses the submission on the Government Sewerage Policy (October 2016) as set out in Attachment No 2 and requests that the Chief Executive Officer forward the submission to the Department of Planning. |
|
Sewerage Sensitive Areas |
|
|
Draft Submission |
|
Item 9.2.8 - GOVERNMENT SEWERAGE POLICY - SHIRE OF BROOME SUBMISSION |
|
Section / Clause |
Officer Comments |
Recommendation |
|
General Comment
|
The Shire supports Department in undertaking the review of the draft Country Sewerage Policy and the preparation of the Government Sewerage Policy (November 2016).
The Shire would like to commend the Department and other support agencies who have assisted with the preparation of the Guidelines which provide a documented rational and justification for the Policy provisions.
The Shire would also like to thank the Department for holding a workshop with all Local Governments to brief the industry on the proposed changes and provide a forum where Local Governments could discuss and seek feedback from the officers involved in drafting the Government Sewerage Policy. |
That the Government Sewerage Policy is adopted. |
|
6.2 Exemptions to requirements to connect to reticulated sewerage
Consideration may be given to an exemption from the provision of reticulated sewerage in the following circumstances, provided that the statutory authority is satisfied that the proposal is capable of accommodating on-site sewage disposal without endangering public health or the environment and the minimum site requirements for on-site sewage disposal systems outlined in section 6.4 and Schedule 3 of this policy can be met.
(1) Residential subdivision proposals for the creation of lots greater than:
c) one hectare in sewerage sensitive areas |
It is noted that the Government Sewerage Policy proposes to increase the minimum lot size to 1ha in the sewerage sensitive areas to reduce the potential cumulative impact onsite effluent disposal can have upon surrounding sensitive environment. However given Clause 6.2 5) b) prescribes that secondary treatment systems with nutrient removal must be used in sewer sensitive areas, the need to increase the minimum lot size for subdivisions is questioned.
Given that secondary treatment unit with nutrient removal reduce the phosphorus and nitrogen content from waste water and can effectively operate on a 2,000sqm parcel of land, the need to increase the minimum lot size is not supported.
|
That Clause 6.2 (1) (c) be deleted and clause 6.2 (1) (d) is amended to remove the reference to ‘sewerage sensitive areas’ effectively allowing residential subdivisions in sewer sensitive areas to have a minimum lot size of 2,000sqm. |
|
6.2 Exemptions to requirements to connect to reticulated sewerage
Consideration may be given to an exemption from the provision of reticulated sewerage in the following circumstances, provided that the statutory authority is satisfied that the proposal is capable of accommodating on-site sewage disposal without endangering public health or the environment and the minimum site requirements for on-site sewage disposal systems outlined in section 6.4 and Schedule 3 of this policy can be met.
(5) Development applications and non-residential subdivisions that:
b) utilise secondary treatment systems with nutrient removal if in a sewerage sensitive area or a public drinking water source area.
|
Concern is raised to impacts this Policy provision could have on some developments in the more remote coastal locations in the Shire of Broome. As some of the coastal locations, both north and south of Broome have significant wetlands or are in proximity to TEC or PEC’s they are defined as ‘sewer sensitive areas’ as such it would be a requirement that an ATU is used instead of a conventional septic system. The maintenance burden and costs that an ATU would place on proponents in these areas would be significant because authorised person of which there are limited numbers in Broome, would have to undertake maintenance inspections and reporting every three months.
Given the potential risks that could occur if ATU’s are not maintained correctly, it is recommended that it should not be a requirement that all development in sewerage sensitive areas have an ATU. Discretion should be provided in the Policy so that officers have the ability to approve a conventional septic system where an assessment is undertaken and it is deemed that the site may be capable of accommodating a conventional septic system without creating a risk to the sensitive environment.
Alternatively, a Policy provisions could be included to establish that if the development is a remote development (i.e. positioned more than 50km from a gazetted townsite) then the decision maker may exercise discretion and approve a conventional septic system where site conditions are unlikely to create a risk to surrounding sensitive environments.
|
That Clause 6.2 (5) b) be amended so that discretion is provided to enable conventional septic system in sewerage sensitive areas where such areas are remote from townsites and site condition would allow for a conventional septic system without impacting upon sensitive environments. |
|
Schedule 2: Supporting Information for Planning Applications where onsite sewage disposal is proposed |
The Shire supports the inclusion of the schedules which will assist applicants in preparing documentation for submission to the local government. |
|
|
Policy Status |
The Policy currently does not form part of the Draft State Planning Policy 1 – State Planning Framework. Further that status of the Policy and how it fits into the State’s planning policy framework is unclear.
|
That the Government Sewerage Policy form part of the Draft State Planning Policy 1 – State Planning Framework and that it is adopted as either a State Planning Policy or a Development Control and Operational Policy. |
|
9.2.9 RFT 17/02 PROVISION OF CLEANING SERVICES FOR OPERATIONAL BUILDINGS LOCATION/ADDRESS: Nil APPLICANT: Nil FILE: RFT17/02 AUTHOR: Property and Leasing Senior Officer CONTRIBUTOR/S: Nil RESPONSIBLE OFFICER: Director Infrastructure DISCLOSURE OF INTEREST: Nil DATE OF REPORT: 3 February 2017 |
|
SUMMARY: This report considers tenders received for the supply of goods and the provision of cleaning services for the Shire of Broome’s operational buildings. Officers seek Council’s endorsement of the recommendation outlined in this report and attached confidential evaluation report. |
BACKGROUND
Previous Considerations
OMC 24 November 2016 Item 9.2.9
On 28 September 2016 officers issued Western Australian Local Government Association (WALGA) with a purchase order for the procurement services to tender the Shire of Broome’s cleaning contract. WALGA worked with officers and developed a scope of works and procurement plan for the new tender.
During scope finalisation with panel members it was agreed that the weighting of scores reflect the following:
a) Tenderer’s Personnel: Skills and Experience 20%
b) Performance 5%
c) Organisation Capabilities 10%
d) Tenderer’s Resources 10%
e) Local Content 5%
f) Pricing 50%
On 24 November 2016 the procurement and scope of work was presented to Council for endorsement. Council resolved the following:
|
Council Resolution: (Report Recommendation) Moved: Cr H Tracey Seconded: Cr R Johnston That Council: 1. In accordance with regulation 14(2a) of the Local Government Functions and General) Regulations 1996 endorses the attached Request for Tender Scoping document, and authorise the Chief Executive Officer to make minor amendments to the document prior to tender advertising. 2. In accordance with Section 3.57 of the Local Government Act 1995, requests the Chief Executive Officer to advertise for the tender of the Cleaning Services Contract with the attached Request for Tender scope and supporting documents. CARRIED UNANIMOUSLY 6/0 |
On 17 December 2016 in accordance with the Local Government Act 1995, WALGA released and commenced advertising tender 17/02. WALGA ran the process as per the procurement plan with a compulsory site inspection(s) on 10 January 2017. Tender applications then closed on 20 January 2017 at 11.00am.
COMMENT
As per the attached recommendation report four (4) tenders were received by the deadline of the request for tender. The tender submissions were reviewed by an evaluation panel consisting of Shire of Broome and WALGA staff.
At the conclusion of the evaluation process, the evaluation panel has recommended a contractor based on the qualitative scoring process (refer attachment 1 – WALGA Recommendation Report).
CONSULTATION
WALGA
STATUTORY ENVIRONMENT
Local Government Act 1995
3.57 Tenders for providing goods or services
(1) A local government is required to invite tenders before it enters into a contract of a prescribed kind under which another person is to supply goods or services.
(2) Regulations may make provision about tenders.
Local Government (Functions and General) Regulation 1996
11 When Tenders have to be publicly invited
(1) Tenders are to be publicly invited according to the requirements of this Division before a local government enters into a contract for another person to supply goods or services if the consideration under the contract is, or is expected to be, more, or worth more, than $150,000 unless sub regulation (2) states otherwise.
14 Publicly inviting tenders, requirements for
(2a) If a local government –
(a) Is required to invite a tender; or
(b) Not being required to invite a tender, decides to invite a tender,
The local government must, before tenders are publicly invited, determine in writing the criteria for deciding which tender should be accepted.
POLICY IMPLICATIONS
Procurement and assessment of tenders has been undertaken in accordance with the following Shire of Broome Policies:
1.2.9 – Local Price Preference Policy
2.3.7 – Purchasing Policy
FINANCIAL IMPLICATIONS
The appointment of the recommended tenderer will result in an annual saving of $54,943.04 in comparison to the previous cleaning contracts (RFT 13/05 and RFT 12/09).
Service:
|
Cleaning Services Contract |
Initial Cost |
Lifecycle Cost (Annual) |
Remarks |
|
Start Up costs (WALGA) |
$7,981.80 |
|
|
|
Operational (Annual) |
|
$443,104.96 |
Currently Budgeted (16/17FY) at $498,048.00 |
|
Less Additional Revenue (Annual) |
NA |
|
|
|
TOTAL |
$7,981.80 |
$443,104.96 |
|
RISK
Proceeding with the recommended tenderer represents low risk. The recommendation report delivered by WALGA reflects the best qualitative scores amongst the three other tenderers. The recommended tenderer is well resourced and an existing local contractor with a proven track record with the Shire of Broome.
STRATEGIC IMPLICATIONS
Our People Goal – Foster a community environment that is accessible, affordable, inclusive, healthy and safe:
Effective communication
Affordable services and initiatives to satisfy community need
Accessible and safe community spaces
A healthy and safe environment
Our Place Goal – Help to protect the nature and built environment and cultural heritage of Broome whilst recognising the unique sense of the place:
Core asset management to optimise Shire’s infrastructure whilst minimising life cycle costs.
Our Prosperity Goal – Create the means to enable local jobs creation and lifestyle affordability for the current and future population:
Affordable and equitable services and infrastructure
Our Organisation Goal – Continually enhance the Shire’s organisational capacity to service the needs of a growing community:
Sustainable and integrated strategic and operational plans
Responsible resource allocation
Improved systems, processes and compliance
VOTING REQUIREMENTS
Simple Majority
|
That Council: 1. Adopts the recommendation as contained in the confidential WALGA Recommendation Report for Tender 17-02 – Provision of Cleaning Services for Operational Buildings; 2. Notes details of the successful tenderer will be available for public information in the Tender Register in accordance with Regulation 17 of the Local Government (Functions and General) Regulations 1996; 3. Authorises the Chief Executive Officer to make minor variations; and 4. Authorises the Shire President and Chief Executive Officer to engross the contract document. |
|
WALGA Recomendation Report (Confidential to Councillors and Directors Only) This attachment is confidential in accordance with Section 5.23(2) of the Local Government Act 1995 section 5.23(2)((e)(iii)) as it contains “a matter that if disclosed, would reveal information about the business, professional, commercial or financial affairs of a person, where the information is held by, or is about, a person other than the local government”. |
9.3

PRIORITY STATEMENT
Our region has grown significantly over the past years in terms of population, economy and industry – this will continue! Balancing ecological sustainability with economic growth and retaining the ‘look and feel’ of Broome and its environs are an ongoing challenge for the region. Encouraging appropriate investment and business development opportunities to ensure a strong, diverse economic base is essential for community prosperity and the success of our future generations.
Focusing on developing clear pathways linking education with employment for our youth and the community at large is essential as we aim to retain our local people and continue to build a skilled and highly motivated workforce.
Business and Industry partnerships must be fostered to ensure sustainable economic growth is achieved, along with the provision of affordable and equitable services and infrastructure. Ensuring development meets community needs and legislative requirements whilst creating close community relationships and enhancing our understanding of local heritage and cultural issues will continue to be a major focus. The built environment must contribute to the economy, long term viability of the region and provide a quality lifestyle for all.
|
9.3.1 MOTORSPORT RELOCATION PROJECT LAND TENURE LOCATION/ADDRESS: Nil APPLICANT: Nil FILE: RES /SPEED AUTHOR: Special Projects Coordinator CONTRIBUTOR/S: Nil RESPONSIBLE OFFICER: Acting Director Community Development DISCLOSURE OF INTEREST: Nil DATE OF REPORT: 1 February 2017 |
|
SUMMARY: This report seeks to progress the Motorsports Relocation project in accordance with the Deed of Agreement between the Shire of Broome, LandCorp, and the Broome Motocross Club, by allowing Council to secure Tenure over Lot 591 Broome Road. |
BACKGROUND
Previous Considerations
OMC 20 June 2013 Item 9.2.7
OMC 21 November 2013 Item 9.2.2
OMC 24 April 2014 Item 9.2.2
OMC 30 April 2015 Item 9.2.5
OMC 26 May 2016 Item 9.4.2
In May 2016 Council resolved the following:
|
Council Resolution: (Report Recommendation) Moved: Cr C Mitchell Seconded: Cr W Fryer That Council in relation to: 1. The Motorsports Relocation Project: (a) notes the technical investigations undertaken by LandCorp to refine the site selection to a preferred site are complete. (b) notes the attached Due Diligence Report and endorses the selection of a 30 hectare site at Lot 591 Broome Road (corner Cape Leveque Rd) as the preferred site. (c) requests the Chief Executive Officer to seek a Management Order from the Minister for Lands as a reserve vested with the Shire of Broome for Lot 591 Broome Road for the purpose of recreational motor sports. 2. The relocation of the Motocross Club to a new site: (a) Delegates authority to the Chief Executive Officer to negotiate the Deed of Agreement with LandCorp and the Motocross Club in accordance with the following terms: (i) To use reasonable endeavours to facilitate the Management Order being granted prior to the commencement of the New Lease; (ii) To provide support and assistance to, and do all things reasonably required by, LandCorp in order for LandCorp to obtain all approvals necessary for the construction of the new facility; (iii) Subject to: (1) surrender of the Sublease by the Club; (2) the Management Order to the Shire having been granted; (3) the terms of any revised Specifications being agreed in accordance with clause 8(a); and (4) all relevant approvals having been obtained in accordance with clause 3(a), the Shire shall grant the new lease to the Club on terms acceptable to the Club and the Shire (both acting reasonably) and being on usual commercial terms having regard to the nature of the permitted use under the new lease. The Shire shall be notified when the provisions of c (i) to (iv) have been completed. (b) Authorises the Chief Executive Officer and the Shire President to engross the Deed of Agreement and affix the Shire of Broome’s Common Seal. 3. The Speedway Club’s continued operation at the current site on Broome Road: (a) Notes that a Noise Management Plan defining Speedway operations is being prepared and will need to be publicly advertised for comment prior to being approved by the Shire. (b) Notes that although the new motorsports site will be selected, the eventual relocation of the Speedway Club is currently unfunded. (c) Requests the Chief Executive Officer to commence negotiations for a new lease with the Speedway Club on the existing site, subject to the approval of the Noise Management Plan) and report back to Council for consideration. CARRIED BY ABSOLUTE MAJORITY 6/1 |
This report relates specifically to item 1(c) which requires the Chief Executive Officer (CEO) to seek a Management Order (MO) for Lot 591 Broome Road. Lot 591 currently has an MO over it in favour of WaterCorp. During consultation (see attachment 1.), WaterCorp have agreed to allow the Shire of Broome to seek from the Minister for Lands an MO over a 30 hectare portion of Lot 591 Broome Road for recreational motor sports on the condition that the Shire of Broome relinquish the MO it currently has over Lot 351 McGuigan Road for the same purpose.
COMMENT
LandCorp, in securing Stage 2 of Broome North, is looking to finalise the relocation and noise management plan for the Motocross Club and Speedway respectively. The motorsport users currently operate from Reserve 32823 on Broome Road. To comply with the Shire’s developer contributions plan LandCorp and the Shire require;
- The identification of a new motorsports precinct;
- A signed Deed of Agreement for the relocation of the Motocross Club; and
- An approved Noise Management Plan for the Speedway Club to continue operations at the existing site.
The Shire of Broome has previously engaged a consultant to undertake a desktop site selection process and accompanying Masterplan and Business Case for the Motorsports Relocation Project. The scope of this project was to determine an appropriate location for motorsports activities for Broome which provided a greater buffer from actual and future sensitive receptors. The Masterplan and Business Case have been developed with a single site in mind, Site 1, which was identified as the preferred site during the desktop site selection process. As this scope of works did not include any on-ground surveys, LandCorp and the Shire of Broome decided that inclusion of the top two preferred sites would reduce the risks associated with potential discovery of fatal flaws during subsequent investigations.
The next stage of the Motorsports Relocation Project, undertaken in partnership with LandCorp, is to secure the legal agreement associated with the actual relocation of the Motocross Club from the current site, Reserve 32823 on Broome Road, to Lot 591 Broome Road as determined by the site selection report and further Due Diligence Report prepared by LandCorp. It is proposed that the Shire seeks approval from the Department of Lands for the 30 hectare site to be excised as a reserve vested with the Shire of Broome for the purpose of recreational motorsports.
The Shire of Broome currently has a MO over Lot 351 McGuigan Road for the purposes of recreational motorsports. During site technical investigations Lot 351 McGuigan Road was found to be environmentally constrained and it was recommended that the Shire of Broome seek to establish recreational motor sports on an equivalent portion of Lot 591 Broome Road. Shire officers approached WaterCorp regarding Lot 591 (currently vested with WaterCorp) to secure a MO over a 30 hectare portion. WaterCorp has granted conditional consent as per the attached correspondence.
CONSULTATION
WaterCorp
STATUTORY ENVIRONMENT
46. Care, control and management of reserves
(1) The Minister may by order place with any one person or jointly with any 2 or more persons the care, control and management o fa reserve for the same purpose as that for which the relevant Crown land is reserved under section 41 and for purposes ancillary or beneficial to that purpose and may in that order subject that care, control and management to such conditions as the Minister specifies.
(2) The Minister may, with the consent of the management body of a reserve and of the holders of any interests within the reserve, by order vary any condition to which the care, control and management of the reserve is subject.
POLICY IMPLICATIONS
Nil
FINANCIAL IMPLICATIONS
Nil
RISK
The granting of an MO over Lot 591 is conditional upon the Shire of Broome relinquishing the MO and vesting it has on Lot 351. Given that environmental studies have found Lot 351 to be unsuitable for development of a motorsports precinct, there is a risk if Council resolves not to relinquish Lot 351 that the Shire would be unable to secure tenure for the Motorsports Relocation Project and future Motorsports precinct. This would in effect nullify the agreement and work done to date and has the potential to inhibit the development of Landcorp Land Development Plan 2 (LDP2).
STRATEGIC IMPLICATIONS
Our People Goal – Foster a community environment that is accessible, affordable, inclusive, healthy and safe:
Affordable services and initiatives to satisfy community need
Accessible and safe community spaces
Participation in recreational and leisure activity
Our Place Goal – Help to protect the nature and built environment and cultural heritage of Broome whilst recognising the unique sense of the place:
Realistic and sustainable land use strategies for the Shire within state and national frameworks and in consultation with the community
Our Prosperity Goal – Create the means to enable local jobs creation and lifestyle affordability for the current and future population:
Affordable land for residential, industrial, commercial and community use
Our Organisation Goal – Continually enhance the Shire’s organisational capacity to service the needs of a growing community:
VOTING REQUIREMENTS
Simple Majority
|
That Council authorises the Chief Executive Officer to: 1. Relinquish the Shire of Broome’s Management Order over Lot 351 McGuigan Rd; and 2. Seek a Management Order from the Minister for Lands as a reserve vested with the Shire of Broome for a 30 hectare portion of Lot 591 Broome Road for the purposes of recreational motorsports. |
|
Conditional Consent from WaterCorp |
9.4

PRIORITY STATEMENT
Council will strive to create an environment where local governance is delivered in an open and accountable manner; where we provide leadership to the region in such areas as planning and financial management; where the community has the opportunity to contribute to the Council’s decision making thereby fostering ownership of strategies and initiatives.
In delivering open, accountable and inclusive governance, we will be ever mindful that we operate within a highly regulated environment that requires a high level of compliance.
Council will strive to be the conduit between the other spheres of government and the community, translating State and Federal law, policy and practice into customer focussed, on ground service delivery that support’s Broome’s unique lifestyle.
The Region is experiencing significant change with Council dedicated to sound governance, effective leadership and innovation, and high quality services. Building organisational capacity is a priority with a commitment to delivering services to the community in a sustainable, effective and accountable way.
|
9.4.1 MONTHLY PAYMENT LISTING - DECEMBER 2016 LOCATION/ADDRESS: Nil APPLICANT: Nil FILE: FRE02 AUTHOR: Finance Officer - Creditors CONTRIBUTOR/S: Nil RESPONSIBLE OFFICER: Director Corporate Services DISCLOSURE OF INTEREST: Nil DATE OF REPORT: 1 January 2017 |
|
SUMMARY: This report recommends that Council adopts the list of payments made under delegated authority, as per the attachment to this report for the month of December 2016. |
BACKGROUND
Previous Considerations
Nil
COMMENT
The Chief Executive Officer (CEO) has delegated authority to make payments from the Municipal and Trust funds in accordance with budget allocations.
The Shire provides payments to suppliers by either Electronic Funds Transfer (EFT), cheque, credit card or direct debit.
Attached is a list of all payments processed under delegated authority during the month of December 2016.
CONSULTATION
Nil
STATUTORY ENVIRONMENT
Local Government (Financial Management) Regulations 1996
13. Payments from municipal fund or trust fund by CEO, CEO’s duties as to etc.
(1) If the local government has delegated to the CEO the exercise of its power to make payments from the municipal fund or the trust fund, a list of accounts paid by the CEO is to be prepared each month showing for each account paid since the last such list was prepared —
(a) the payee’s name;
(b) the amount of the payment; and
(c) the date of the payment; and
(d) sufficient information to identify the transaction.
(2) A list of accounts for approval to be paid is to be prepared each month showing —
(a) for each account which requires council authorisation in that month —
(i) the payee’s name; and
(ii) the amount of the payment; and
(iii) sufficient information to identify the transaction; and
(b) the date of the meeting of the council to which the list is to be presented.
(3) A list prepared under subregulation (1) or (2) is to be —
(a) presented to the council at the next ordinary meeting of the council after the list is prepared; and
(b) recorded in the minutes of that meeting.
POLICY IMPLICATIONS
Nil
FINANCIAL IMPLICATIONS
List of payments made in accordance with budget and delegated authority.
RISK
The risk of Council not adopting this report is extreme as this will result in non-compliance with Regulation 13 of the Local Government (Financial Management) Regulations 1996. The likelihood of this ever occurring is rare due to the CEO’s implementation of procedures to ensure payment details are disclosed to Council in a timely manner, as well as Procurement and Purchasing policies which ensure these payments are made in accordance with budget and delegated authority and comply with Local Government (Financial Management) Regulations 1996.
STRATEGIC IMPLICATIONS
Our Organisation Goal – Continually enhance the Shire’s organisational capacity to service the needs of a growing community:
An organisational culture that strives for service excellence
Responsible resource allocation
Effective community engagement
Improved systems, processes and compliance
VOTING REQUIREMENTS
Simple Majority
|
That Council records the accounts as paid under delegated authority for December 2016, totalling $4,305,314.50 as attached, covering:
· EFT Vouchers 38440 – 38871 totalling $4,075,777.00; · Municipal Cheque Vouchers 57439– 57442 totalling $5,242.35; · Trust Cheque Vouchers 3428- 3428 totalling $3,232.68; and · Municipal Direct Debits DD21745.1 – DD21853.25 totalling $221,062.47. |
|
Payment Listing December 2016 |
|
Item 9.4.1 - MONTHLY PAYMENT LISTING - DECEMBER 2016 |
|
Part Part 5. Division 4. Section 5.42 Delegation of some powers to CEO. Sub Section Finance Management Regulation 12. |
|||||
|
Each payment must show on a list the payees name, the amount of the payment, the date of the payment and sufficient information to identify the transaction. |
|||||
|
|
|
||||
|
This report incorporates the Delegation of Authority (Administration Regulation 19) |
|||||
|
PAYMENTS BY EFT & CHEQUE AND FROM TRUST - DECEMBER 2016 |
|
||||
|
MUNICIPAL ELECTRONIC TRANSFER - DECEMBER 2016 |
|
||||
|
EFT |
Date |
Name |
Description |
Amount |
Del Auth |
|
EFT38440 |
01/12/2016 |
ADVANCED ELECTRICAL EQUIPMENT PTY LTD |
Materials- Depot |
$188.65 |
AMFS |
|
EFT38441 |
01/12/2016 |
ASB MARKETING PROMOTIONAL PRODUCTS |
‘Fite the Bite’ hats- Health |
$1,386.00 |
AMFS |
|
EFT38442 |
01/12/2016 |
BITUMEN SEALING SERVICES PTY LTD (BSS) |
Sealing services Short St car park- Works |
$10,934.00 |
AMFS |
|
EFT38443 |
01/12/2016 |
BP AUSTRALIA PTY LTD - FUEL |
Diesel- Depot |
$16,243.89 |
AMFS |
|
EFT38444 |
01/12/2016 |
BROOME AUTO EXCELLENCE |
Vehicle service- Waste Management Facility |
$1,432.90 |
AMFS |
|
EFT38445 |
01/12/2016 |
BROOME AVIATION PTY LTD |
Conferences travel, Councillor & Shire staff- Regional Road Group meeting |
$3,480.00 |
AMFS |
|
EFT38446 |
01/12/2016 |
BROOME DOCTORS PRACTICE PTY LTD |
Recruitment expenses- HR |
$887.00 |
AMFS |
|
EFT38447 |
01/12/2016 |
BROOME RETICULATION |
Water tank repair- P&G |
$165.00 |
AMFS |
|
EFT38448 |
01/12/2016 |
BROOME SCHOOL BUS SERVICE |
Bus Hire- BRAC Holiday program |
$396.00 |
AMFS |
|
EFT38449 |
01/12/2016 |
BROOME VETERINARY HOSPITAL |
Provision of boarding, veterinary & euthanasia costs- October 16 |
$4,579.06 |
AMFS |
|
EFT38450 |
01/12/2016 |
CABLE BEACH TYRE SERVICE PTY LTD |
Tyres & tyre repair- Depot |
$573.00 |
AMFS |
|
EFT38451 |
01/12/2016 |
CAM MANAGEMENT SOLUTIONS (CAMMS) |
Annual license fees- IT |
$17,098.51 |
AMFS |
|
EFT38452 |
01/12/2016 |
CLARITY COMMUNICATIONS |
Promotion expenses- Media |
$142.47 |
AMFS |
|
EFT38453 |
01/12/2016 |
CT MECHANICAL & SERVICES |
Vehicle & plant maintenance, service & parts- Waste Management Facility |
$3,951.00 |
AMFS |
|
EFT38454 |
01/12/2016 |
DIRECTCOMMS PTY LTD |
SMS service fees- Library |
$731.06 |
AMFS |
|
EFT38455 |
01/12/2016 |
DORMA AUTOMATICS PTY LTD |
Toilet door repairs- Broome Visitors Centre |
$275.00 |
AMFS |
|
EFT38456 |
01/12/2016 |
ESPLANADE HOTEL FREMANTLE - BY RYDGES |
Accommodation- Shire CEO |
$478.00 |
AMFS |
|
EFT38457 |
01/12/2016 |
FLOWERS ON SAVILLE STREET |
Remembrance Day Wreath- Media |
$70.00 |
AMFS |
|
EFT38458 |
01/12/2016 |
FUEL TRANS AUSTRALIA PTY LTD |
Oils & Lubricants- Workshop |
$144.32 |
AMFS |
|
EFT38459 |
01/12/2016 |
G. BISHOPS TRANSPORT SERVICES PTY LTD |
Freight- Depot |
$343.56 |
AMFS |
|
EFT38460 |
01/12/2016 |
GARRARDS PTY LTD |
Pest control chemicals- Health |
$553.78 |
AMFS |
|
EFT38461 |
01/12/2016 |
GHD PTY LTD |
Water supply study- Development Services |
$4,452.90 |
AMFS |
|
EFT38462 |
01/12/2016 |
GOOD EARTH GARDEN PRODUCTS PTY LTD |
Nursery materials- P&G |
$473.00 |
AMFS |
|
EFT38463 |
01/12/2016 |
HERBERT SMITH FREEHILLS |
Legal matters |
$1,183.77 |
AMFS |
|
EFT38464 |
01/12/2016 |
HORIZON POWER (ELECTRICITY USAGE) |
Electricity charges |
$23,881.61 |
AMFS |
|
EFT38465 |
01/12/2016 |
HUTTON PLUMBING & GAS |
Plumbing works- P&G |
$198.00 |
AMFS |
|
EFT38466 |
01/12/2016 |
INFOCOUNCIL PTY LTD |
Annual support fee- IT |
$3,278.00 |
AMFS |
|
EFT38467 |
01/12/2016 |
J BLACKWOOD & SON T/AS BLACKWOODS |
Safety equipment, street lighting & consumables- Depot & Infrastructure |
$5,029.57 |
AMFS |
|
EFT38468 |
01/12/2016 |
JASON SIGNMAKERS |
Signs for Stewart St Upgrade- Depot |
$391.60 |
AMFS |
|
EFT38469 |
01/12/2016 |
JOHN WILLIAM SALKILLD- SALTY'S DIESEL MECHANICS BROOME |
Vehicle maintenance- Works |
$1,797.00 |
AMFS |
|
EFT38470 |
01/12/2016 |
JUSTIN HAZEBROEK |
Reimbursement of expenses- Infrastructure |
$32.60 |
AMFS |
|
EFT38471 |
01/12/2016 |
KIMBERLEY CAMPING & OUTBACK SUPPLIES |
Staff Uniforms & protective clothing- Depot & Works |
$1,586.85 |
AMFS |
|
EFT38472 |
01/12/2016 |
KIMBERLEY DISTRIBUTORS |
Kiosk stock- BRAC |
$516.02 |
AMFS |
|
EFT38473 |
01/12/2016 |
KIMBERLEY FUEL & OIL SERVICES |
Engine & hydraulic oil & grease- Waste Management Facility |
$897.20 |
AMFS |
|
EFT38474 |
01/12/2016 |
KIMBERLEY GOLD PURE DRINKING WATER |
Drinking water- Administration & Waste Management Facility |
$323.00 |
AMFS |
|
EFT38475 |
01/12/2016 |
LEDA ELECTRONICS PTY LTD |
Survey consumables- Infrastructure |
$204.60 |
AMFS |
|
EFT38476 |
01/12/2016 |
MCCORRY BROWN EARTHMOVING PTY LTD |
Materials & machinery- Waste Management Facility |
$5,570.18 |
AMFS |
|
EFT38477 |
01/12/2016 |
MCLEODS BARRISTERS & SOLICITORS |
Legal expenses- Development Services (recoupable) |
$280.39 |
AMFS |
|
EFT38478 |
01/12/2016 |
MERCURE INN BROOME |
Group fitness program- BRAC |
$3,825.00 |
AMFS |
|
EFT38479 |
01/12/2016 |
MOORE STEPHENS (WA) PTY LTD |
Accounting services (RFQ 16-60)- Governance & Financial Impact KRO Development Options |
$12,940.40 |
AMFS |
|
EFT38480 |
01/12/2016 |
NDY MANAGEMENT PTY LTD |
Engineering services (RFQ15-55)- BRAC Aquatic Upgrade |
$2,613.60 |
AMFS |
|
EFT38481 |
01/12/2016 |
NEVERFAIL SPRINGWATER LIMITED |
Drinking water- Depot |
$194.40 |
AMFS |
|
EFT38482 |
01/12/2016 |
NORTH WEST COAST SECURITY |
Security- Civic Centre |
$501.60 |
AMFS |
|
EFT38483 |
01/12/2016 |
NORTHWEST HYDRO SOLUTIONS |
Reticulation parts- P&G |
$8,132.27 |
AMFS |
|
EFT38484 |
01/12/2016 |
AGUNYA LTD |
Public Art Concept Development- Special Projects |
$1,000.00 |
AMFS |
|
EFT38485 |
01/12/2016 |
MIDALIA STEEL PTY LTD |
Materials- Waste Management Facility |
$891.17 |
AMFS |
|
EFT38486 |
01/12/2016 |
OFFICE NATIONAL BROOME |
Stationary- BRAC |
$125.85 |
AMFS |
|
EFT38487 |
01/12/2016 |
ONE STOP MEDICAL |
Pre-Employment medicals- HR |
$295.00 |
AMFS |
|
EFT38488 |
01/12/2016 |
OPTEON (NORTH WEST WA) |
Valuation expenses- Property |
$660.00 |
AMFS |
|
EFT38489 |
01/12/2016 |
PENTAIR FLOW CONTROL PACIFIC PTY LTD |
Material purchase- Cable Beach & Old Broome |
$4,503.40 |
AMFS |
|
EFT38490 |
01/12/2016 |
SOUELLA PERKINS |
Crossover Subsidy- A107071 |
$515.00 |
AMFS |
|
EFT38491 |
01/12/2016 |
SUSTAINABLE RESOURCES INDUSTRY TRAINING PTY LTD |
Staff training- Infrastructure |
$4,380.00 |
AMFS |
|
EFT38492 |
01/12/2016 |
TAPPED PLUMBING & GAS PTY LTD |
Plumbing works- KRO2 |
$180.40 |
AMFS |
|
EFT38493 |
01/12/2016 |
TERRITORY RURAL BROOME |
Reticulation parts (RFQ16-82), pesticides & equipment- Depot |
$10,565.34 |
AMFS |
|
EFT38494 |
01/12/2016 |
TNT AUSTRALIA PTY LTD T/AS TNT EXPRESS |
Freight- Health & Workshop |
$660.06 |
AMFS |
|
EFT38495 |
01/12/2016 |
TOXFREE |
Pump out of BRAC grease trap August 2016 (RFT 14/01)- BRAC & Skip Bin- Cape Leveque Rd |
$1,602.60 |
AMFS |
|
EFT38496 |
01/12/2016 |
UDLA |
Community engagement (RFQ16-54)- Broome Golf Club Redevelopment |
$6,842.00 |
AMFS |
|
EFT38497 |
01/12/2016 |
WEST COAST ON HOLD |
Telephone message service- Media & Promotions |
$69.00 |
AMFS |
|
EFT38498 |
01/12/2016 |
WATER CORPORATION |
Water charges- various Shire sites |
$78,749.01 |
AMFS |
|
EFT38499 |
01/12/2016 |
BROOME SHIRE COUNCIL |
Bond refund (Pay invoice 42235)- Civic Centre |
$1,315.56 |
AMFS |
|
EFT38500 |
01/12/2016 |
SAMUEL TESARA FRONDA |
Bond refund T3366- Civic Centre |
$1,266.10 |
AMFS |
|
EFT38501 |
02/12/2016 |
BROOME FIRST NATIONAL REAL ESTATE |
Staff & storage Rent |
$8,609.51 |
AMFS |
|
EFT38502 |
02/12/2016 |
CHARTER PROPERTY GROUP PTY LTD |
Staff rent |
$2,607.14 |
AMFS |
|
EFT38503 |
02/12/2016 |
HUTCHINSON REAL ESTATE |
Staff Rent |
$4,642.02 |
AMFS |
|
EFT38504 |
02/12/2016 |
MAX BERNARD GRAFFEN |
Staff Rent |
$2,166.67 |
AMFS |
|
EFT38505 |
02/12/2016 |
PRD NATIONWIDE |
Community storage rent |
$2,475.00 |
AMFS |
|
EFT38506 |
02/12/2016 |
RAY WHITE BROOME |
Staff Rent |
$17,641.52 |
AMFS |
|
EFT38507 |
05/12/2016 |
BROOME FIRST NATIONAL REAL ESTATE |
Staff Rent (BOND) |
$1,740.00 |
AMFS |
|
EFT38508 |
05/12/2016 |
P34591 |
Missed pay run from PPE 22.11.16 |
$2,292.00 |
AMFS |
|
EFT38509 |
05/12/2016 |
BROOME PRIMARY SCHOOL |
Refund bond- Civic Centre |
$525.00 |
AMFS |
|
EFT38510 |
05/12/2016 |
BROOME SHIRE COUNCIL |
Refund bond- Civic Centre |
$841.00 |
AMFS |
|
EFT38511 |
07/12/2016 |
BROOME SHIRE COUNCIL |
BRB commission- November 2016 |
$110.00 |
AMFS |
|
EFT38512 |
07/12/2016 |
DEPARTMENT OF COMMERCE - BUILDING COMMISSION - INC BCITF |
BRB levy- November 2016 |
$2,838.12 |
AMFS |
|
EFT38513 |
07/12/2016 |
AMPAC DEBT RECOVERY |
Debt recovery- Finance |
$545.19 |
AMFS |
|
EFT38514 |
07/12/2016 |
ASK ALEX |
Pruning- Mulberry Child Care |
$1,232.00 |
AMFS |
|
EFT38515 |
07/12/2016 |
AUSRECORD PTY LTD |
Labels- Records |
$162.80 |
AMFS |
|
EFT38516 |
07/12/2016 |
AUSTRALIAN TAXATION OFFICE |
Salary & wages |
$2,908.46 |
AMFS |
|
EFT38517 |
07/12/2016 |
BOC LIMITED |
Gas bottle hire- Workshop |
$98.23 |
AMFS |
|
EFT38518 |
07/12/2016 |
BROOME TOWING & SALVAGE |
Impounding of vehicles expense- Rangers |
$2,464.00 |
AMFS |
|
EFT38519 |
07/12/2016 |
HORIZON POWER (ELECTRICITY USAGE) |
Electricity charges |
$42,149.14 |
AMFS |
|
EFT38520 |
07/12/2016 |
INGE TADROS |
Refund of Dog registration 0316YE18 |
$40.15 |
AMFS |
|
EFT38521 |
07/12/2016 |
JEREMY JAMES HALL |
Reimbursement of expense- Waste Management Facility |
$25.30 |
AMFS |
|
EFT38522 |
07/12/2016 |
JUSTIN HAZEBROEK |
Reimbursement of expenses- Community Development |
$38.00 |
AMFS |
|
EFT38523 |
07/12/2016 |
MAGIQ SOFTWARE PTY LTD |
Budget management system software- Finance |
$14,850.00 |
AMFS |
|
EFT38524 |
07/12/2016 |
TALIS CONSULTANTS |
Upgrade to asset management plan (RFQ14-03)- Infrastructure |
$16,500.00 |
AMFS |
|
EFT38525 |
07/12/2016 |
TELSTRA |
Phone charges |
$1,835.81 |
AMFS |
|
EFT38526 |
08/12/2016 |
BITUMEN SEALING SERVICES PTY LTD (BSS) |
Bitumen resealing (RFT 15/07)- Works |
$92,300.64 |
AMFS |
|
EFT38527 |
08/12/2016 |
BROLGA DEVELOPMENTS & CONSTRUCTION PTY LTD |
Crossover Subsidies |
$1,030.00 |
AMFS |
|
EFT38528 |
08/12/2016 |
BROOME BUILDERS PTY LTD |
Crossover Subsidies |
$1,030.00 |
AMFS |
|
EFT38529 |
08/12/2016 |
BROOME CHAMBER OF COMMERCE |
Membership renewal- Office of the CEO |
$750.00 |
AMFS |
|
EFT38530 |
08/12/2016 |
BROOME CLARK RUBBER |
Pool maintenance- Shire staff housing |
$1,202.01 |
AMFS |
|
EFT38531 |
08/12/2016 |
BROOME DIESEL & HYDRAULIC SERVICE |
Vehicle parts & maintenance- Workshop |
$4,668.40 |
AMFS |
|
EFT38532 |
08/12/2016 |
BROOME RETRAVISION |
Audio equipment- BRAC |
$10.00 |
AMFS |
|
EFT38533 |
08/12/2016 |
BROOME SMALL MAINTENANCE SERVICES |
Building maintenance- Waste Management Facility |
$88.00 |
AMFS |
|
EFT38534 |
08/12/2016 |
BROOME TOYOTA |
Toyota Prado (RFQ 16-88)- Workshop |
$31,311.83 |
AMFS |
|
EFT38535 |
08/12/2016 |
BROOME TREE & PALM SERVICE |
Mulching green waste- Waste Management Facility |
$37,852.10 |
AMFS |
|
EFT38536 |
08/12/2016 |
BUDGET CAR & TRUCK RENTAL |
Car hire- Shire staff |
$129.88 |
AMFS |
|
EFT38537 |
08/12/2016 |
CLEMENTSON STREET ACCIDENT REPAIR CENTRE |
Insurance excess / vehicle- Workshop |
$500.00 |
AMFS |
|
EFT38538 |
08/12/2016 |
COASTAL DISTRIBUTING & PROVEDORING |
Kiosk stock- BRAC |
$443.58 |
AMFS |
|
EFT38539 |
08/12/2016 |
COLIN WILKINSON DEVELOPMENTS PTY LTD |
Crossover Subsidy |
$515.00 |
AMFS |
|
EFT38540 |
08/12/2016 |
DEBORAH WALL |
Books- Library |
$90.00 |
AMFS |
|
EFT38541 |
08/12/2016 |
DEPARTMENT OF THE PREMIER & CABINET |
Advertising- Rates |
$86.40 |
AMFS |
|
EFT38542 |
08/12/2016 |
DEPARTMENT OF TRANSPORT |
Vehicle searches- Rangers |
$204.60 |
AMFS |
|
EFT38543 |
08/12/2016 |
FIELD AIR CONDITIONING & AUTO ELECTRICAL PTY LTD |
Vehicle parts & maintenance- P&G |
$823.75 |
AMFS |
|
EFT38544 |
08/12/2016 |
FIXIT BROOME |
Building maintenance- Staff housing & Cable Beach toilets |
$2,419.68 |
AMFS |
|
EFT38545 |
08/12/2016 |
FLEET LOGISTICS PTY LTD (EZY2C) |
Vehicle parts- Workshop |
$27.50 |
AMFS |
|
EFT38546 |
08/12/2016 |
GREENHILLS TURF FARM |
Lawn paint- Depot |
$449.80 |
AMFS |
|
EFT38547 |
08/12/2016 |
HERBERT SMITH FREEHILLS |
Legal expenses |
$3,085.49 |
AMFS |
|
EFT38548 |
08/12/2016 |
HORIZON POWER |
Electricity charges |
$1,369.28 |
AMFS |
|
EFT38549 |
08/12/2016 |
HOUGOUMONT HOTEL |
Accommodation- Shire Staff |
$480.00 |
AMFS |
|
EFT38550 |
08/12/2016 |
ICON SEPTECH PTY LTD |
Drainage- Depot |
$688.60 |
AMFS |
|
EFT38551 |
08/12/2016 |
COAST & COUNTRY ELECTRICS |
RCD & emergency exit light testing- Various Shire sites |
$2,446.49 |
AMFS |
|
EFT38552 |
08/12/2016 |
IGA - SEAVIEW |
Daily newspaper- Library |
$86.30 |
AMFS |
|
EFT38553 |
08/12/2016 |
J BLACKWOOD & SON T/AS BLACKWOODS |
Safety equipment, vehicle parts & consumables- Various Shire sites |
$4,054.45 |
AMFS |
|
EFT38554 |
08/12/2016 |
KIMBERLEY BROOME PEST CONTROL |
Ant prevention- BRAC |
$132.00 |
AMFS |
|
EFT38555 |
08/12/2016 |
KIMBERLEY DISTRIBUTORS |
Catering- Midnight Basketball program |
$107.57 |
AMFS |
|
EFT38556 |
08/12/2016 |
KGT Employment |
Apprentice wages- Workshop |
$2,690.16 |
AMFS |
|
EFT38557 |
08/12/2016 |
KIMBERLEY WASHROOM SERVICES |
Sanitary disposal service- Various Shire sites |
$760.00 |
AMFS |
|
EFT38558 |
08/12/2016 |
KOTT GUNNING LAWYERS |
Legal matters |
$17,835.61 |
AMFS |
|
EFT38559 |
08/12/2016 |
LGIS WA |
Motor vehicle premium adjustment. Additional premium as at June 2016 |
$2,308.77 |
AMFS |
|
EFT38560 |
08/12/2016 |
MARKETFORCE |
Advertising- HR |
$1,387.63 |
AMFS |
|
EFT38561 |
08/12/2016 |
MCCORRY BROWN EARTHMOVING PTY LTD |
Supply and delivery of pindan (RFT 16/07)- Waste Management Facility & fence hire Demco project- Infrastructure |
$61,982.80 |
AMFS |
|
EFT38562 |
08/12/2016 |
THE MANGROVE RESORT HOTEL |
Recruitment accommodation- HR |
$164.00 |
AMFS |
|
EFT38563 |
08/12/2016 |
IGA - SEAVIEW |
Daily newspaper- Media |
$30.90 |
AMFS |
|
EFT38564 |
08/12/2016 |
OAKS SANCTUARY RESORT CABLE BEACH |
Accommodation- BRAC Project team meeting |
$140.00 |
AMFS |
|
EFT38565 |
08/12/2016 |
PINDAN LABOUR SOLUTIONS PTY LTD |
Recruitment expenses & labour hire- HR & Waste Management Facility |
$5,643.04 |
AMFS |
|
EFT38566 |
08/12/2016 |
RALPH BEATTIE BOSWORTH PTY LTD |
Surveying (RFQ15/54)- BRAC Aquatic upgrade |
$6,600.00 |
AMFS |
|
EFT38567 |
08/12/2016 |
RAWLINSONS (WA) |
Contract management- KRO |
$2,024.00 |
AMFS |
|
EFT38568 |
08/12/2016 |
RAY WHITE BROOME |
Staff rent (BOND) |
$2,600.00 |
AMFS |
|
EFT38569 |
08/12/2016 |
ROEBUCK WELDING SERVICES |
Equipment maintenance- Workshop |
$297.00 |
AMFS |
|
EFT38570 |
08/12/2016 |
SHIRE OF DERBY/WEST KIMBERLEY |
Joint Kimberley NT Forum 2016- Office of the CEO |
$2,145.00 |
AMFS |
|
EFT38571 |
08/12/2016 |
ST JOHN AMBULANCE AUSTRALIA (WA) INC |
Lifeguard training & paediatric defibrillator pads- BRAC |
$389.00 |
AMFS |
|
EFT38572 |
08/12/2016 |
STAPLES AUSTRALIA PTY LTD |
Stationery items- November 2016 |
$802.13 |
AMFS |
|
EFT38573 |
08/12/2016 |
SUNNY SIGN COMPANY PTY LTD |
Safety equipment & street sign- Depot |
$178.20 |
AMFS |
|
EFT38574 |
08/12/2016 |
TENDERSPOT MEAT COMPANY |
Catering Midnight Basketball- Community Development |
$642.15 |
AMFS |
|
EFT38575 |
08/12/2016 |
TNT AUSTRALIA PTY LTD T/AS TNT EXPRESS |
Freight- Health |
$783.73 |
AMFS |
|
EFT38576 |
08/12/2016 |
UDLA |
Landscape architectural consultancy services- Trails Masterplan |
$1,056.00 |
AMFS |
|
EFT38577 |
08/12/2016 |
WA HINO |
Vehicle repairs- Waste Management Facility |
$1,349.55 |
AMFS |
|
EFT38578 |
08/12/2016 |
WELDING SOLUTIONS |
Equipment- Waste Management Facility |
$929.50 |
AMFS |
|
EFT38579 |
08/12/2016 |
WALGA |
Procurement & tender services & advertising- Property |
$14,968.34 |
AMFS |
|
EFT38580 |
08/12/2016 |
WILD MANGO CAFE |
Catering- various Shire sites |
$2,415.50 |
AMFS |
|
EFT38581 |
08/12/2016 |
SALARY & WAGES |
Payroll S & W |
$650.00 |
AMFS |
|
EFT38582 |
08/12/2016 |
SALARY & WAGES |
Payroll S & W |
$488.45 |
AMFS |
|
EFT38583 |
08/12/2016 |
AUSTRALIAN TAXATION OFFICE |
PAYG |
$111,486.62 |
AMFS |
|
EFT38584 |
08/12/2016 |
SALARY & WAGES |
Payroll S & W |
$380.00 |
AMFS |
|
EFT38585 |
08/12/2016 |
SALARY & WAGES |
Payroll S & W |
$750.00 |
AMFS |
|
EFT38586 |
08/12/2016 |
SALARY & WAGES |
Payroll S & W |
$666.44 |
AMFS |
|
EFT38587 |
08/12/2016 |
SALARY & WAGES |
Payroll S & W |
$600.00 |
AMFS |
|
EFT38588 |
08/12/2016 |
SALARY & WAGES |
Payroll S & W |
$248.65 |
AMFS |
|
EFT38589 |
08/12/2016 |
SALARY & WAGES |
Payroll S & W |
$370.77 |
AMFS |
|
EFT38590 |
08/12/2016 |
SALARY & WAGES |
Payroll S & W |
$373.90 |
AMFS |
|
EFT38591 |
08/12/2016 |
SALARY & WAGES |
Payroll S & W |
$420.00 |
AMFS |
|
EFT38592 |
08/12/2016 |
SALARY & WAGES |
Payroll S & W |
$578.17 |
AMFS |
|
EFT38593 |
08/12/2016 |
SALARY & WAGES |
Payroll S & W |
$410.00 |
AMFS |
|
EFT38594 |
08/12/2016 |
SALARY & WAGES |
Payroll S & W |
$425.00 |
AMFS |
|
EFT38595 |
08/12/2016 |
SALARY & WAGES |
Payroll S & W |
$357.50 |
AMFS |
|
EFT38596 |
08/12/2016 |
SALARY & WAGES |
Payroll S & W |
$1,608.61 |
AMFS |
|
EFT38597 |
08/12/2016 |
SALARY & WAGES |
Payroll S & W |
$250.00 |
AMFS |
|
EFT38598 |
08/12/2016 |
SALARY & WAGES |
Payroll S & W |
$372.90 |
AMFS |
|
EFT38599 |
08/12/2016 |
SALARY & WAGES |
Payroll S & W |
$340.00 |
AMFS |
|
EFT38600 |
08/12/2016 |
SALARY & WAGES |
Payroll S & W |
$259.27 |
AMFS |
|
EFT38601 |
08/12/2016 |
SALARY & WAGES |
Payroll S & W |
$400.00 |
AMFS |
|
EFT38602 |
08/12/2016 |
SALARY & WAGES |
Payroll S & W |
$201.10 |
AMFS |
|
EFT38603 |
08/12/2016 |
SALARY & WAGES |
Payroll S & W |
$108.09 |
AMFS |
|
EFT38604 |
08/12/2016 |
SALARY & WAGES |
Payroll S & W |
$300.00 |
AMFS |
|
EFT38605 |
08/12/2016 |
SALARY & WAGES |
Payroll S & W |
$457.57 |
AMFS |
|
EFT38606 |
08/12/2016 |
SALARY & WAGES |
Payroll S & W |
$662.65 |
AMFS |
|
EFT38607 |
08/12/2016 |
SALARY & WAGES |
Payroll S & W |
$1,208.80 |
AMFS |
|
EFT38608 |
08/12/2016 |
SALARY & WAGES |
Payroll S & W |
$1,103.50 |
AMFS |
|
EFT38609 |
08/12/2016 |
SALARY & WAGES |
Payroll S & W |
$700.00 |
AMFS |
|
EFT38610 |
08/12/2016 |
SALARY & WAGES |
Payroll S & W |
$770.00 |
AMFS |
|
EFT38611 |
08/12/2016 |
SALARY & WAGES |
Payroll S & W |
$1,177.26 |
AMFS |
|
EFT38612 |
08/12/2016 |
SALARY & WAGES |
Payroll S & W |
$19.40 |
AMFS |
|
EFT38613 |
08/12/2016 |
BROOME SHIRE COUNCIL |
BCITF commission- November 2016 |
$82.50 |
AMFS |
|
EFT38614 |
09/12/2016 |
BROOME SHIRE COUNCIL |
Bond refund- Civic Centre |
$367.00 |
AMFS |
|
EFT38615 |
09/12/2016 |
KERRY O'CONNER |
Bond refund- Civic Centre |
$200.00 |
AMFS |
|
EFT38616 |
08/12/2016 |
BROOME COMMONWEALTH TRADING BANK |
Salary and wages pay period ending: 06.12.16 |
$318,292.00 |
AMFS |
|
EFT38617 |
12/12/2016 |
BROOME SHIRE COUNCIL |
Bond refund |
$207.71 |
AMFS |
|
EFT38618 |
13/12/2016 |
AUSTRALIA POST |
Postage Charges. Period ending 30.11.16 |
$1,426.15 |
AMFS |
|
EFT38619 |
13/12/2016 |
DEPARTMENT OF ENVIRONMENT REGULATION |
Annual License Fee- Waste Management Facility |
$5,595.97 |
AMFS |
|
EFT38620 |
13/12/2016 |
DUXTON HOTEL |
Shire Staff accommodation- Development Services |
$1,265.00 |
AMFS |
|
EFT38621 |
13/12/2016 |
HORIZON POWER |
Electricity charges |
$16,781.21 |
AMFS |
|
EFT38622 |
13/12/2016 |
KENNETH RAYMOND DONOHOE |
Reimbursement of expenses- Office of the CEO |
$155.06 |
AMFS |
|
EFT38623 |
13/12/2016 |
KOTT GUNNING LAWYERS |
Legal matters (Governance advice)- Community Services |
$2,780.47 |
AMFS |
|
EFT38624 |
13/12/2016 |
MOORE STEPHENS (WA) PTY LTD |
Audit services- Finance |
$18,734.00 |
AMFS |
|
EFT38625 |
13/12/2016 |
NORTHWEST HYDRO SOLUTIONS |
Materials- Infrastructure |
$50.52 |
AMFS |
|
EFT38626 |
13/12/2016 |
RAY WHITE BROOME |
Staff rent |
$1,857.15 |
AMFS |
|
EFT38627 |
14/12/2016 |
DEPARTMENT OF TRANSPORT (REGISTRATION) |
3 months registration MH76572- SES Trailer |
$19.70 |
AMFS |
|
EFT38628 |
14/12/2016 |
ABLE ELECTRICAL (WA) PTY LTD |
Electrical works- Broome Visitor Centre |
$297.00 |
AMFS |
|
EFT38629 |
14/12/2016 |
AHA LOGIC |
Consultancy services Aboriginal Heritage (RFQ 16-57)- Development Services |
$11,093.50 |
AMFS |
|
EFT38630 |
14/12/2016 |
AUTOPRO BROOME (Gaff Holdings Pty Ltd) |
Consumables- Waste Management Facility |
$148.95 |
AMFS |
|
EFT38631 |
14/12/2016 |
BAILEY WATER |
Repair bore- Bedford Park |
$1,243.00 |
AMFS |
|
EFT38632 |
14/12/2016 |
BANDIT TREE EQUIPMENT |
Equipment maintenance- Depot |
$581.60 |
AMFS |
|
EFT38633 |
14/12/2016 |
BREAKFREE ADELAIDE |
Training staff accommodation - Infrastructure |
$1,112.00 |
AMFS |
|
EFT38634 |
14/12/2016 |
BRETTS PEST MANAGEMENT |
Termite inspections- Various Shire sites |
$2,902.00 |
AMFS |
|
EFT38635 |
14/12/2016 |
BRIDGESTONE AUSTRALIA LTD |
Tyres- Workshop |
$1,668.68 |
AMFS |
|
EFT38636 |
14/12/2016 |
BROOME BOLT SUPPLIES WA PTY LTD |
Vehicle parts- Workshop |
$45.10 |
AMFS |
|
EFT38637 |
14/12/2016 |
BROOME MOTORS |
Vehicle purchases (RFQ16-77), vehicle parts & maintenance- various Shire sites |
$46,771.88 |
AMFS |
|
EFT38638 |
14/12/2016 |
BROOME PLUMBING & GAS |
Plumbing works- Library |
$110.00 |
AMFS |
|
EFT38639 |
14/12/2016 |
BROOME PROGRESSIVE SUPPLIES |
Rubbish bags, kiosk stock & cleaning products- Depot & BRAC |
$1,411.67 |
AMFS |
|
EFT38640 |
14/12/2016 |
BROOME VISITOR CENTRE |
Refund Outgoings 15/16 |
$1,304.30 |
AMFS |
|
EFT38641 |
14/12/2016 |
BROOME WHEEL ALIGNING & SUSPENSION |
Vehicle parts- Workshop |
$422.00 |
AMFS |
|
EFT38642 |
14/12/2016 |
CAM MANAGEMENT SOLUTIONS (CAMMS) |
Cloud hosting fee Q3 2016- IT |
$1,980.00 |
AMFS |
|
EFT38643 |
14/12/2016 |
CHAITANYA DILIP OAK |
Reimbursal of expenses- HR |
$560.00 |
AMFS |
|
EFT38644 |
14/12/2016 |
CHELSEA PEMBER |
Netball umpiring expenses- BRAC |
$558.00 |
AMFS |
|
EFT38645 |
14/12/2016 |
CHRISTIE MILENKOVIC |
Netball umpiring expenses- BRAC |
$234.00 |
AMFS |
|
EFT38646 |
14/12/2016 |
COATES HIRE OPERATIONS PTY LTD |
Equipment hire- Works |
$110.16 |
AMFS |
|
EFT38647 |
14/12/2016 |
DEPARTMENT OF LOCAL GOVERNMENT & COMMUNITIES |
Unspent Grant funds- Regional Business Plan (recoupable) |
$5,375.74 |
AMFS |
|
EFT38648 |
14/12/2016 |
KOMATSU AUSTRALIA PTY LTD |
Vehicle maintenance- Workshop |
$552.45 |
AMFS |
|
EFT38649 |
14/12/2016 |
LAUREN PLUMMER |
Netball umpiring expenses- BRAC |
$168.00 |
AMFS |
|
EFT38650 |
14/12/2016 |
ROSLYN LOUISE BUTCHER |
Netball umpiring expenses- BRAC |
$126.00 |
AMFS |
|
EFT38651 |
14/12/2016 |
T - QUIP |
Ride on mower materials- Depot |
$634.85 |
AMFS |
|
EFT38652 |
14/12/2016 |
TNT AUSTRALIA PTY LTD T/AS TNT EXPRESS |
Freight- Health. Workshop & Civic Centre |
$1,021.05 |
AMFS |
|
EFT38653 |
14/12/2016 |
BROOME FIRST NATIONAL REAL ESTATE |
Staff rent |
$10,499.69 |
AMFS |
|
EFT38654 |
14/12/2016 |
CHARTER PROPERTY GROUP PTY LTD |
Staff rent |
$2,607.14 |
AMFS |
|
EFT38655 |
14/12/2016 |
HUTCHINSON REAL ESTATE |
Staff Rent |
$6,224.05 |
AMFS |
|
EFT38656 |
14/12/2016 |
MAX BERNARD GRAFFEN |
Staff Rent |
$2,166.67 |
AMFS |
|
EFT38657 |
14/12/2016 |
PRD NATIONWIDE |
Community Storage |
$2,475.00 |
AMFS |
|
EFT38658 |
14/12/2016 |
RAY WHITE BROOME |
Staff Rent |
$19,385.98 |
AMFS |
|
EFT38661 |
15/12/2016 |
CABLE BEACH ELECTRICAL SERVICE |
Electrical works- Various Shire sites |
$3,338.50 |
AMFS |
|
EFT38662 |
15/12/2016 |
CABLE BEACH TYRE SERVICE PTY LTD T/AS BRIDGESTONE BROOME |
Repair & replace tyres- Various Shire sites |
$2,675.00 |
AMFS |
|
EFT38663 |
15/12/2016 |
COCA COLA AMATIL |
Kiosk stock- BRAC |
$1,195.56 |
AMFS |
|
EFT38665 |
15/12/2016 |
CT MECHANICAL & SERVICES |
Vehicle maintenance- Waste Management Facility |
$792.00 |
AMFS |
|
EFT38666 |
15/12/2016 |
DEPARTMENT OF FIRE & EMERGENCY SERVICES (DFES) |
ESLB 2nd Quarter contribution- Finance |
$277,454.85 |
AMFS |
|
EFT38667 |
15/12/2016 |
DEPARTMENT OF HOUSING |
Crossover Subsidy |
$1,030.00 |
AMFS |
|
EFT38668 |
15/12/2016 |
DORMA AUTOMATICS PTY LTD |
Building maintenance- Shire Administration Office |
$352.00 |
AMFS |
|
EFT38669 |
15/12/2016 |
EAST TO WEST DATA & ELECTRICAL SERVICES |
Electrical works (RFQ16-59)- Waste Management Facility |
$16,352.23 |
AMFS |
|
EFT38670 |
15/12/2016 |
EDUCATIONAL EXPERIENCE |
School holiday program supplies- BRAC |
$39.38 |
AMFS |
|
EFT38671 |
15/12/2016 |
ELGAS LTD |
Forklift gas- Depot |
$57.70 |
AMFS |
|
EFT38672 |
15/12/2016 |
FIELD AIR CONDITIONING & AUTO ELECTRICAL PTY LTD |
Batteries & vehicle parts- Workshop |
$689.90 |
AMFS |
|
EFT38673 |
15/12/2016 |
FIXIT BROOME |
Building maintenance- Assets & Library |
$1,100.16 |
AMFS |
|
EFT38674 |
15/12/2016 |
G. BISHOPS TRANSPORT SERVICES PTY LTD |
Freight- Depot |
$109.95 |
AMFS |
|
EFT38675 |
15/12/2016 |
HEAD OFFICE LANDGATE |
Gross rental valuations, land enquiries & mining tenements- Rates |
$358.92 |
AMFS |
|
EFT38676 |
15/12/2016 |
HERBERT SMITH FREEHILLS |
Legal expenses |
$2,085.19 |
AMFS |
|
EFT38677 |
15/12/2016 |
HOLDFAST FLUID POWER NW PTY LTD |
Plant equipment & parts- Waste Management Facility |
$262.02 |
AMFS |
|
EFT38678 |
15/12/2016 |
HORIZON POWER |
Electricity charges |
$33,838.63 |
AMFS |
|
EFT38679 |
15/12/2016 |
JAMES BENNETT PTY LIMITED |
Books- Library |
$776.35 |
AMFS |
|
EFT38680 |
15/12/2016 |
JETRIDGE HOLDINGS PTY LTD |
Conti Foreshore Drainage Upgrade Project (RFQ16-68)- Infrastructure |
$83,958.47 |
AMFS |
|
EFT38681 |
15/12/2016 |
LEADING EDGE COMPUTERS |
Sound equipment- BRAC |
$12.00 |
AMFS |
|
EFT38682 |
15/12/2016 |
MAGABALA BOOKS ABORIGINAL CORPORATION |
Books- Library |
$111.89 |
AMFS |
|
EFT38683 |
15/12/2016 |
MAJOR MOTORS PTY LTD |
Vehicle parts- Workshop |
$166.96 |
AMFS |
|
EFT38684 |
15/12/2016 |
MARKET CREATIONS |
Tender advertising- Special Projects |
$429.00 |
AMFS |
|
EFT38685 |
15/12/2016 |
MARKETFORCE |
Advertising & Public notices- Various Shire sites |
$1,874.20 |
AMFS |
|
EFT38686 |
15/12/2016 |
NORTHWEST HYDRO SOLUTIONS |
Reticulation parts- P&G & Depot |
$926.09 |
AMFS |
|
EFT38687 |
15/12/2016 |
NORTHWEST SHEDMASTERS |
Community storage facility (RFT16-10)- Special Projects |
$137,800.00 |
AMFS |
|
EFT38688 |
15/12/2016 |
RACHEL BURNS |
Midnight Basketball Night Manager- Community Development |
$720.00 |
AMFS |
|
EFT38689 |
15/12/2016 |
REEN AUTO ELECTRICS |
Reverse camera for Loader- Waste Management Facility |
$4,994.50 |
AMFS |
|
EFT38690 |
15/12/2016 |
REGAL TRANSPORT |
Freight- P&G & Workshop |
$841.79 |
AMFS |
|
EFT38691 |
15/12/2016 |
FOOTPRINT CLEANING |
Cleaning services- Various Shire sites |
$544.50 |
AMFS |
|
EFT38692 |
15/12/2016 |
RID (AUSTRALIA) |
Mosquito & Pest control- Health |
$4,924.96 |
AMFS |
|
EFT38693 |
15/12/2016 |
ROADLINE CIVIL CONTRACTORS |
Equipment hire, traffic management (RFT 14-16) & shoulder profiling - Various Shire sites |
$56,269.45 |
AMFS |
|
EFT38694 |
15/12/2016 |
ROEBUCK WELDING SERVICES |
Shade Sails- Cable Beach Playground |
$2,035.00 |
AMFS |
|
EFT38695 |
15/12/2016 |
SECUREX SECURITY PTY LTD |
Alarm monitoring fee (Q1 2017)- Various Shire sites |
$864.60 |
AMFS |
|
EFT38696 |
15/12/2016 |
SILVERFERN IT |
Antivirus annual renewal- IT |
$2,774.53 |
AMFS |
|
EFT38697 |
15/12/2016 |
TALIS CONSULTANTS |
Consultancy Services RRRP (RFQ15-37) & Site investigation (RFQ 16-80) - Waste Management Facility |
$41,398.67 |
AMFS |
|
EFT38698 |
15/12/2016 |
TELSTRA |
Phone charges |
$561.05 |
AMFS |
|
EFT38699 |
15/12/2016 |
TENDERSPOT MEAT COMPANY |
Catering- Midnight Basketball program |
$70.53 |
AMFS |
|
EFT38708 |
16/12/2016 |
BROOME SHIRE COUNCIL |
Bond refund- Civic Centre |
$3,615.40 |
AMFS |
|
EFT38709 |
16/12/2016 |
RHIANA POWERS |
Bond refund- Civic Centre |
$1,020.00 |
AMFS |
|
EFT38710 |
16/12/2016 |
BROOME SHIRE COUNCIL |
Bond refund- Civic Centre |
$1,000.00 |
AMFS |
|
EFT38711 |
19/12/2016 |
BROOME SHIRE COUNCIL |
Bond refund- Civic Centre |
$4,708.50 |
AMFS |
|
EFT38712 |
19/12/2016 |
THEATRE KIMBERLEY INC |
Bond refund- Civic Centre |
$406.00 |
AMFS |
|
EFT38713 |
20/12/2016 |
BROOME SHIRE COUNCIL |
Bond refund- Civic Centre |
$5,289.06 |
AMFS |
|
EFT38714 |
21/12/2016 |
ATI-MIRAGE |
Supervisor & project management training- HR |
$15,070.00 |
AMFS |
|
EFT38715 |
21/12/2016 |
AUSTRALIAN COPYRIGHT COUNCIL |
Book- Library |
$60.00 |
AMFS |
|
EFT38716 |
21/12/2016 |
AVERY AIRCONDITIONING PTY LTD |
Air conditioning maintenance (RFT 13-16) & repairs - Various Shire sites |
$5,061.25 |
AMFS |
|
EFT38717 |
21/12/2016 |
BROOME DOCTORS PRACTICE PTY LTD |
Recruitment expenses- HR |
$876.50 |
AMFS |
|
EFT38718 |
21/12/2016 |
BROOME VETERINARY HOSPITAL |
Provision of boarding, veterinary & euthanasia costs November 2016 |
$5,605.37 |
AMFS |
|
EFT38719 |
21/12/2016 |
DATACOM |
Intranet services (RFQ 16-30)- IT |
$16,500.00 |
AMFS |
|
EFT38720 |
21/12/2016 |
DEPARTMENT OF TRANSPORT |
Vehicle searches- Ranger Services |
$49.50 |
AMFS |
|
EFT38721 |
21/12/2016 |
FIRE & SAFETY SERVICES |
Fire detection monthly maintenance- Civic Centre |
$172.33 |
AMFS |
|
EFT38722 |
21/12/2016 |
IGA - SEAVIEW |
Daily newspaper- Library |
$50.00 |
AMFS |
|
EFT38723 |
21/12/2016 |
JAMES ANDREW WATT |
Reimbursal of expenses- Office of the CEO |
$215.06 |
AMFS |
|
EFT38724 |
21/12/2016 |
KOTT GUNNING LAWYERS |
Legal expenses- Building Order Reserve 9697, Beach Hut SAT & RFQ process |
$20,956.47 |
AMFS |
|
EFT38725 |
21/12/2016 |
MARKETFORCE |
Advertising expenses- Various Shire sites |
$4,249.86 |
AMFS |
|
EFT38726 |
21/12/2016 |
NEC AUSTRALIA PTY LTD |
Remote support service (Oct 16- Oct 17)- IT |
$3,451.27 |
AMFS |
|
EFT38727 |
21/12/2016 |
OFFICE NATIONAL BROOME |
Office chairs & copier charges- Depot, BRAC & IT |
$1,553.13 |
AMFS |
|
EFT38728 |
21/12/2016 |
PERFEKT PTY LTD |
Hardware & software maintenance renewal- IT |
$3,029.40 |
AMFS |
|
EFT38729 |
21/12/2016 |
PHONOGRAPHIC PERFORMANCE COMPANY OF AUSTRALIA LTD ( PPCA ) |
Music license- BRAC |
$1,297.85 |
AMFS |
|
EFT38730 |
21/12/2016 |
PROMOTIONAL EXPOSURE |
Comedy Gold performance deposit- Civic Centre |
$1,650.00 |
AMFS |
|
EFT38731 |
21/12/2016 |
R-GROUP INTERNATIONAL PTY LTD |
Equipment- IT |
$1,230.98 |
AMFS |
|
EFT38732 |
21/12/2016 |
SECURITY & TECHNOLOGY SERVICES (NORWEST) |
Equipment maintenance- IT |
$297.00 |
AMFS |
|
EFT38733 |
21/12/2016 |
TAPPED PLUMBING & GAS PTY LTD |
Plumbing works- Various Shire sites |
$817.93 |
AMFS |
|
EFT38734 |
21/12/2016 |
TELSTRA |
Phone charges |
$70.00 |
AMFS |
|
EFT38735 |
21/12/2016 |
TLIFE (Howling Husky Communications P/L) (Telstra Broome) |
Lifeproof phone cases- P&G |
$449.75 |
AMFS |
|
EFT38736 |
21/12/2016 |
TNT AUSTRALIA PTY LTD T/AS TNT EXPRESS |
Freight- Waste Management Facility & Health |
$147.58 |
AMFS |
|
EFT38737 |
21/12/2016 |
TROPICOOL REFRIGERATION |
Replace air conditioner- KRO2 |
$2,035.00 |
AMFS |
|
EFT38738 |
21/12/2016 |
WESTERN DIAGNOSTIC PATHOLOGY |
Drug & Alcohol breathalyser units & awareness presentation- HR |
$10,879.30 |
AMFS |
|
EFT38739 |
21/12/2016 |
12 MILE SHADE & CANVAS |
Shade sail repairs- Town Beach |
$880.00 |
AMFS |
|
EFT38740 |
21/12/2016 |
12D SOLUTIONS PTY LTD |
12D Model module- IT |
$7,975.00 |
AMFS |
|
EFT38741 |
21/12/2016 |
AARLI BAR |
Catering- Community Safety Working Group |
$188.00 |
AMFS |
|
EFT38742 |
21/12/2016 |
AIR LIQUIDE |
Gas bottle rental- Workshop |
$24.05 |
AMFS |
|
EFT38743 |
21/12/2016 |
ASSOCIATION FOR CHILDREN WITH A DISABILITY |
Changing places accreditation- BRAC |
$1,000.00 |
AMFS |
|
EFT38744 |
21/12/2016 |
AUSTRAL MERCANTILE COLLECTIONS PTY LTD |
October & November 2016 Debt Recovery (RFQ 16/65)- Rates |
$1,332.49 |
AMFS |
|
EFT38745 |
21/12/2016 |
BARKING GECKO THEATRE COMPANY |
Ticket sales royalties- Civic Centre |
$357.65 |
AMFS |
|
EFT38746 |
21/12/2016 |
BEST KIMBERLEY COMPUTING |
Copier charges- IT |
$1,023.20 |
AMFS |
|
EFT38747 |
21/12/2016 |
BITUMEN SEALING SERVICES PTY LTD (BSS) |
Urban reseals (RFT15-07)- Works |
$48,980.30 |
AMFS |
|
EFT38748 |
21/12/2016 |
BOSSTON AUTO BODIES |
Custom bodies Ranger vehicles- Development Services |
$13,405.89 |
AMFS |
|
EFT38749 |
21/12/2016 |
BP AUSTRALIA PTY LTD - FUEL |
Diesel- Depot |
$15,592.38 |
AMFS |
|
EFT38750 |
21/12/2016 |
BROOM TIME CLEANING |
Cleaning services(RFQ15-41) & (RFT12-09)- Various Shire sites |
$39,010.68 |
AMFS |
|
EFT38751 |
21/12/2016 |
BROOME BUILDERS PTY LTD |
Crossover Subsidies |
$1,030.00 |
AMFS |
|
EFT38752 |
21/12/2016 |
BROOME CAMPUS NORTH REGIONAL TAFE |
Staff training- HR |
$4,642.00 |
AMFS |
|
EFT38753 |
21/12/2016 |
BROOME CLARK RUBBER |
Chemicals- Town Beach Water Park |
$1,100.18 |
AMFS |
|
EFT38754 |
21/12/2016 |
BROOME PHARMACY |
Safety equipment- Depot |
$370.00 |
AMFS |
|
EFT38755 |
21/12/2016 |
BROOME PRIMARY SCHOOL |
Community sponsorship (2016/2017)- Community Development |
$925.10 |
AMFS |
|
EFT38756 |
21/12/2016 |
BROOME SMALL MAINTENANCE SERVICES |
Building maintenance- Civic Centre & Cable Beach toilets |
$877.00 |
AMFS |
|
EFT38757 |
21/12/2016 |
BROOME TOWING & SALVAGE |
Abandoned vehicle towing- Rangers |
$176.00 |
AMFS |
|
EFT38758 |
21/12/2016 |
BROOMECRETE |
Sand- Depot & P&G |
$176.00 |
AMFS |
|
EFT38759 |
21/12/2016 |
BT EQUIPMENT PTY LTD |
Vehicle parts- Waste Management Facility |
$1,853.76 |
AMFS |
|
EFT38760 |
21/12/2016 |
BUNNINGS BROOME |
Consumables- Various Shire sites |
$1,351.39 |
AMFS |
|
EFT38761 |
21/12/2016 |
BP BROOME CENTRAL & TYREPLUS BROOME |
Unleaded fuel- Depot |
$293.81 |
AMFS |
|
EFT38762 |
21/12/2016 |
COAST & COUNTRY ELECTRICS |
Electrical works- Various Shire sites |
$2,166.31 |
AMFS |
|
EFT38763 |
21/12/2016 |
COLIN WILKINSON DEVELOPMENTS PTY LTD |
RFT 16/09 - BRAC Aquatic Upgrade - Swimming pool and concourse area - Concrete (includes reinforcements) |
$368,890.00 |
AMFS |
|
EFT38764 |
21/12/2016 |
DANIELLE DWYER |
Reimbursal of expenses- HR |
$347.50 |
AMFS |
|
EFT38765 |
21/12/2016 |
DATA#3 LIMITED |
License maintenance & support- IT |
$55,521.38 |
AMFS |
|
EFT38766 |
21/12/2016 |
DIRECTCOMMS PTY LTD |
SMS messaging service Nov 16- Library |
$67.51 |
AMFS |
|
EFT38767 |
21/12/2016 |
DS AGENCIES PTY LTD |
Drinking fountain valves- Depot |
$1,663.20 |
AMFS |
|
EFT38768 |
21/12/2016 |
FEAD AUST PTY LTD |
Building maintenance- KRO1 & KRO2 |
$1,507.35 |
AMFS |
|
EFT38769 |
21/12/2016 |
FIXIT BROOME |
Replace broken door- BRAC |
$562.76 |
AMFS |
|
EFT38770 |
21/12/2016 |
G & V ROBERTS PTY LTD |
Freight- Waste Management Facility |
$4,961.00 |
AMFS |
|
EFT38771 |
21/12/2016 |
G. BISHOPS TRANSPORT SERVICES PTY LTD |
Freight- Rangers & Depot |
$916.65 |
AMFS |
|
EFT38772 |
21/12/2016 |
GALVINS PLUMBING PLUS |
Plumbing supplies- Depot |
$37.09 |
AMFS |
|
EFT38773 |
21/12/2016 |
HERBERT SMITH FREEHILLS |
Legal expenses- Roebuck Bay Caravan Park |
$3,056.58 |
AMFS |
|
EFT38774 |
21/12/2016 |
HIT PRODUCTIONS PTY LTD |
Performance fee- Civic Centre |
$1,237.50 |
AMFS |
|
EFT38775 |
21/12/2016 |
IGA - SEAVIEW |
Daily newspaper- Library |
$36.30 |
AMFS |
|
EFT38776 |
21/12/2016 |
IT VISION |
2016/17 IT Vision Rates Services Contract November 2016 |
$2,454.38 |
AMFS |
|
EFT38777 |
21/12/2016 |
J BLACKWOOD & SON T/AS BLACKWOODS |
Consumables- Depot |
$599.23 |
AMFS |
|
EFT38778 |
21/12/2016 |
KIMBERLEY CAMPING & OUTBACK SUPPLIES |
Staff uniforms- Depot |
$2,318.40 |
AMFS |
|
EFT38779 |
21/12/2016 |
KIMBERLEY FUEL & OIL SERVICES |
Coolant & hydraulic oil- Waste Management Facility |
$685.69 |
AMFS |
|
EFT38780 |
21/12/2016 |
KIMBERLEY QUARRY PTY LTD |
Road base- Works |
$22,680.30 |
AMFS |
|
EFT38781 |
21/12/2016 |
MCLEODS BARRISTERS & SOLICITORS |
Legal matters |
$985.84 |
AMFS |
|
EFT38782 |
21/12/2016 |
MCMULLEN NOLAN GROUP PTY LTD (MNG) |
Surveying- Various Shire sites |
$9,980.30 |
AMFS |
|
EFT38783 |
21/12/2016 |
MERCURE INN BROOME |
Group Fitness Program pool hire & accommodation for trainer- BRAC & HR |
$13,263.50 |
AMFS |
|
EFT38784 |
21/12/2016 |
MIDALIA STEEL PTY LTD |
Landscaping materials- P&G |
$59.97 |
AMFS |
|
EFT38785 |
21/12/2016 |
MOORE STEPHENS (WA) PTY LTD |
Strategic Community Plan & Corporate Business Plan review (RFQ16-60) & Audit report- Governance & Chinatown revitalisation |
$4,863.10 |
AMFS |
|
EFT38786 |
21/12/2016 |
NEVERFAIL SPRINGWATER LIMITED |
Drinking water- Depot |
$90.65 |
AMFS |
|
EFT38787 |
21/12/2016 |
NORTH WEST STRATA SERVICES (NWSS) |
Levies Staff Housing |
$3,486.80 |
AMFS |
|
EFT38788 |
21/12/2016 |
NS PROJECTS PTY LTD |
Aquatic upgrade & Project management (RFT15-04)- BRAC & KRO |
$12,737.23 |
AMFS |
|
EFT38789 |
21/12/2016 |
BT EQUIPMENT PTY LTD |
Sundry parts- Waste Management Facility |
$71.42 |
AMFS |
|
EFT38790 |
21/12/2016 |
IGA - SEAVIEW |
Daily newspapers- Media |
$17.80 |
AMFS |
|
EFT38791 |
21/12/2016 |
OFFICEMAX AUSTRALIA LTD |
Stationery- Administration Office |
$1,228.27 |
AMFS |
|
EFT38792 |
21/12/2016 |
PENTAIR FLOW CONTROL PACIFIC PTY LTD |
Tank lid frame & parts- Infrastructure |
$30,650.40 |
AMFS |
|
EFT38793 |
21/12/2016 |
PINDAN LABOUR SOLUTIONS PTY LTD |
Temporary Staff- Waste Management Facility |
$2,390.55 |
AMFS |
|
EFT38794 |
21/12/2016 |
PRD NATIONWIDE |
Levies Staff housing |
$1,781.25 |
AMFS |
|
EFT38795 |
21/12/2016 |
PRITCHARD FRANCIS PTY LTD |
Civil Engineering consultancy (RFQ 16-85)- Infrastructure |
$7,540.50 |
AMFS |
|
EFT38796 |
21/12/2016 |
REDWAVE MEDIA PTY LTD |
Radio advertising- Media |
$1,210.00 |
AMFS |
|
EFT38797 |
21/12/2016 |
REYBARRA WELDING PTY LTD |
Gate and sign frame- Gantheaume Point access ramp |
$814.00 |
AMFS |
|
EFT38798 |
21/12/2016 |
ROSMECH SALES & SERVICE PTY LTD |
Vehicle parts- Workshop |
$686.79 |
AMFS |
|
EFT38799 |
21/12/2016 |
SEAT ADVISOR PTY LTD |
Ticket sale commission- Civic Centre |
$78.82 |
AMFS |
|
EFT38800 |
21/12/2016 |
SLATER & GARTRELL SPORTS |
Sporting equipment- BRAC |
$282.70 |
AMFS |
|
EFT38801 |
21/12/2016 |
SPORTSPOWER BROOME |
Sporting equipment- BRAC school holiday program |
$309.00 |
AMFS |
|
EFT38802 |
21/12/2016 |
SURFMET PTY LTD T/A KIMBERLEY SOILS LABORATORY |
Material testing- Stewart St upgrade |
$6,325.00 |
AMFS |
|
EFT38803 |
21/12/2016 |
TOXFREE |
Waste services (RFT14-01)- Various Shire sites |
$100,216.42 |
AMFS |
|
EFT38804 |
21/12/2016 |
UNBOUND SOUND |
Subwoofer cabinets & amplifier- Civic Centre |
$6,000.00 |
AMFS |
|
EFT38805 |
21/12/2016 |
VIVA ENERGY AUSTRALIA |
Fuel card purchases From 01.12.16- 31.12.16 |
$786.37 |
AMFS |
|
EFT38806 |
21/12/2016 |
WOOLWORTHS LIMITED (96000235) |
Catering Shire Staff meeting- Depot |
$886.70 |
AMFS |
|
EFT38807 |
21/12/2016 |
WURTH AUSTRALIA PTY LTD |
Consumables- Workshop & Depot |
$1,533.36 |
AMFS |
|
EFT38808 |
22/12/2016 |
SALARY & WAGES |
Payroll S & W |
$650.00 |
AMFS |
|
EFT38809 |
22/12/2016 |
SALARY & WAGES |
Payroll S & W |
$488.45 |
AMFS |
|
EFT38810 |
22/12/2016 |
AUSTRALIAN TAXATION OFFICE |
PAYG |
$132,731.78 |
AMFS |
|
EFT38811 |
22/12/2016 |
SALARY & WAGES |
Payroll S & W |
$380.00 |
AMFS |
|
EFT38812 |
22/12/2016 |
SALARY & WAGES |
Payroll S & W |
$750.00 |
AMFS |
|
EFT38813 |
22/12/2016 |
SALARY & WAGES |
Payroll S & W |
$666.44 |
AMFS |
|
EFT38814 |
22/12/2016 |
SALARY & WAGES |
Payroll S & W |
$600.00 |
AMFS |
|
EFT38815 |
22/12/2016 |
SALARY & WAGES |
Payroll S & W |
$248.65 |
AMFS |
|
EFT38816 |
22/12/2016 |
SALARY & WAGES |
Payroll S & W |
$370.77 |
AMFS |
|
EFT38817 |
22/12/2016 |
SALARY & WAGES |
Payroll S & W |
$373.90 |
AMFS |
|
EFT38818 |
22/12/2016 |
SALARY & WAGES |
Payroll S & W |
$420.00 |
AMFS |
|
EFT38819 |
22/12/2016 |
SALARY & WAGES |
Payroll S & W |
$578.17 |
AMFS |
|
EFT38820 |
22/12/2016 |
SALARY & WAGES |
Payroll S & W |
$410.00 |
AMFS |
|
EFT38821 |
22/12/2016 |
SALARY & WAGES |
Payroll S & W |
$425.00 |
AMFS |
|
EFT38822 |
22/12/2016 |
SALARY & WAGES |
Payroll S & W |
$357.50 |
AMFS |
|
EFT38823 |
22/12/2016 |
SALARY & WAGES |
Payroll S & W |
$1,608.61 |
AMFS |
|
EFT38824 |
22/12/2016 |
SALARY & WAGES |
Payroll S & W |
$250.00 |
AMFS |
|
EFT38825 |
22/12/2016 |
SALARY & WAGES |
Payroll S & W |
$372.90 |
AMFS |
|
EFT38826 |
22/12/2016 |
SALARY & WAGES |
Payroll S & W |
$340.00 |
AMFS |
|
EFT38827 |
22/12/2016 |
SALARY & WAGES |
Payroll S & W |
$259.27 |
AMFS |
|
EFT38828 |
22/12/2016 |
SALARY & WAGES |
Payroll S & W |
$400.00 |
AMFS |
|
EFT38829 |
22/12/2016 |
SALARY & WAGES |
Payroll S & W |
$1,713.53 |
AMFS |
|
EFT38830 |
22/12/2016 |
SALARY & WAGES |
Payroll S & W |
$201.10 |
AMFS |
|
EFT38831 |
22/12/2016 |
SALARY & WAGES |
Payroll S & W |
$108.09 |
AMFS |
|
EFT38832 |
22/12/2016 |
SALARY & WAGES |
Payroll S & W |
$300.00 |
AMFS |
|
EFT38833 |
22/12/2016 |
SALARY & WAGES |
Payroll S & W |
$457.57 |
AMFS |
|
EFT38834 |
22/12/2016 |
SALARY & WAGES |
Payroll S & W |
$662.65 |
AMFS |
|
EFT38835 |
22/12/2016 |
SALARY & WAGES |
Payroll S & W |
$1,050.80 |
AMFS |
|
EFT38836 |
22/12/2016 |
SALARY & WAGES |
Payroll S & W |
$680.00 |
AMFS |
|
EFT38837 |
22/12/2016 |
SALARY & WAGES |
Payroll S & W |
$700.00 |
AMFS |
|
EFT38838 |
22/12/2016 |
SALARY & WAGES |
Payroll S & W |
$1,177.26 |
AMFS |
|
EFT38839 |
22/12/2016 |
EXPRESS SALARY PACKAGING |
Salary Packaging |
$1,208.80 |
AMFS |
|
EFT38840 |
22/12/2016 |
LGRCEU |
Payroll deductions |
$19.40 |
AMFS |
|
EFT38841 |
22/12/2016 |
AAA ASPHALT |
Geofabric rolls (RFQ 16-81)- BRAC |
$8,932.00 |
AMFS |
|
EFT38842 |
22/12/2016 |
BRUCE RUDEFORTH |
Councillor sitting fee & allowances |
$5,200.00 |
AMFS |
|
EFT38843 |
22/12/2016 |
BUDGET CAR & TRUCK RENTAL |
Car Hire- Office of the CEO |
$59.13 |
AMFS |
|
EFT38844 |
22/12/2016 |
CENTURION TRANSPORT |
Freight- Library |
$26.06 |
AMFS |
|
EFT38845 |
22/12/2016 |
CHRISTOPHER RALPH MITCHELL |
Councillor sitting fee & allowances |
$5,200.00 |
AMFS |
|
EFT38846 |
22/12/2016 |
COLES SUPERMARKETS - CHINATOWN, S324 |
Consumables- Various Shire sites |
$1,126.57 |
AMFS |
|
EFT38847 |
22/12/2016 |
DESIREE MALE |
Councillor sitting fee & allowances |
$5,200.00 |
AMFS |
|
EFT38848 |
22/12/2016 |
ELLE FONG |
Netball umpiring expenses- BRAC |
$72.00 |
AMFS |
|
EFT38849 |
22/12/2016 |
ELSTA REGINA FOY |
Councillor sitting fee & allowances |
$5,200.00 |
AMFS |
|
EFT38850 |
22/12/2016 |
HAROLD NORMAN TRACEY |
Deputy President sitting fee & allowances |
$8,140.25 |
AMFS |
|
EFT38851 |
22/12/2016 |
IGA - SEAVIEW |
Daily newspaper- Media |
$13.10 |
AMFS |
|
EFT38852 |
22/12/2016 |
JAMES ANDREW WATT |
Reimbursement of expenses- Corporate Services |
$301.00 |
AMFS |
|
EFT38853 |
22/12/2016 |
MALA PREM-OCEAN SKY FAIRBORN |
Councillor sitting fee & allowances |
$5,200.00 |
AMFS |
|
EFT38854 |
22/12/2016 |
MCCORRY BROWN EARTHMOVING PTY LTD |
Plant & labour hire (RFT14-16), mulching (RFQ15-45)- Various Shire sites |
$172,057.10 |
AMFS |
|
EFT38855 |
22/12/2016 |
PHILIP FRANCIS MATSUMOTO |
Councillor sitting fee & allowances |
$5,200.00 |
AMFS |
|
EFT38856 |
22/12/2016 |
PRD NATIONWIDE |
Staff rent |
$1,140.00 |
AMFS |
|
EFT38857 |
22/12/2016 |
RONALD JAMES JOHNSTON |
Shire President sitting fee & allowances |
$18,431.25 |
AMFS |
|
EFT38858 |
22/12/2016 |
WARREN THOMAS FRYER |
Councillor sitting fee & allowances |
$5,200.00 |
AMFS |
|
EFT38859 |
22/12/2016 |
BROOME COMMONWEALTH TRADING BANK |
Payroll S & W |
$353,931.00 |
AMFS |
|
EFT38860 |
23/12/2016 |
WATER CORPORATION |
Water usage and service charges- Various Shire sites |
$74,048.08 |
AMFS |
|
EFT38861 |
23/12/2016 |
BROOME FRUIT & VEGES |
Catering- Midnight Basketball program |
$162.11 |
AMFS |
|
EFT38862 |
23/12/2016 |
FIRE & SAFETY SERVICES |
Fire extinguisher cabinet- BRAC |
$499.40 |
AMFS |
|
EFT38863 |
23/12/2016 |
HORIZON POWER |
Electricity charges |
$12,987.42 |
AMFS |
|
EFT38864 |
23/12/2016 |
MIDNIGHT BASKETBALL AUSTRALIA |
Evaluation Fee- Community Development |
$770.00 |
AMFS |
|
EFT38865 |
23/12/2016 |
PCYC - BROOME |
Bus hire- Midnight Basketball program |
$300.00 |
AMFS |
|
EFT38866 |
23/12/2016 |
TRADELINK PLUMBING SUPPLIES |
Plant & equipment consumables- Depot |
$299.09 |
AMFS |
|
EFT38867 |
23/12/2016 |
UNBOUND SOUND |
Sound equipment- Civic Centre |
$505.00 |
AMFS |
|
EFT38868 |
23/12/2016 |
WATTLEUP TRACTORS |
Vehicle parts- Workshop |
$212.45 |
AMFS |
|
EFT38869 |
23/12/2016 |
BROOME SHIRE COUNCIL |
Bond refund- Civic Centre |
$1,181.00 |
AMFS |
|
EFT38870 |
23/12/2016 |
CABLE BEACH PRIMARY SCHOOL P & C |
Bond refund- Civic Centre |
$652.00 |
AMFS |
|
EFT38871 |
29/12/2016 |
WESTERN AUSTRALIAN TREASURY CORPORATION |
Fixed component loan repayments- Civic Centre & BRAC |
$292,848.36 |
AMFS |
|
MUNICIPAL ELECTRONIC FUNDS TRANSFER TOTAL: |
$4,075,777.00 |
||||
|
|
|||||
|
Cheque |
Date |
Name |
Description |
Amount |
Del Auth |
|
57439 |
16/12/2016 |
BROOME SHIRE COUNCIL |
Library petty cash (15.11.16- 10.12.16) |
$267.87 |
AMFS |
|
57440 |
16/12/2016 |
SAM LISTON PTY LTD |
Rates refund due to overpayment for assessment A303904 |
$1,845.54 |
AMFS |
|
57441 |
16/12/2016 |
BROOME SHIRE COUNCIL |
BRAC petty cash (10.08.16- 11.11.16) |
$76.99 |
AMFS |
|
57442 |
21/12/2016 |
SHIRE OF KALAMUNDA |
Temporary Staff- Payroll |
$3,051.95 |
AMFS |
|
MUNICIPAL CHEQUES TOTAL: |
$5,242.35 |
||||
|
Cheque |
Date |
Name |
Description |
Amount |
Del Auth |
|
3428 |
08/12/2016 |
BUILDING & CONSTRUCTION INDUSTRY TRAINING FUND |
BCITF Levy- November 2016 |
$3,232.68 |
AMFS |
|
TRUST CHEQUES TOTAL: |
$3,232.68 |
|
|||
|
DD# |
Date |
Name |
Description |
Amount |
Del Auth |
|
DD21745.1 |
01/12/2016 |
QANTAS AIRWAYS |
Flights- Shire staff |
$5,525.01 |
AMFS |
|
DD21745.2 |
01/12/2016 |
SURVEY MONKEY |
Annual subscription- Club Development |
$228.00 |
AMFS |
|
DD21745.3 |
01/12/2016 |
VIRGIN AUSTRALIA |
Flights- Shire staff & temporary Shire staff |
$1,325.78 |
AMFS |
|
DD21745.4 |
01/12/2016 |
TACKLE WORLD |
Gift- Office of the CEO |
$335.00 |
AMFS |
|
DD21745.5 |
01/12/2016 |
OAKS HOTELS & RESORTS - BROOME |
Temporary Staff accommodation- HR |
$401.94 |
AMFS |
|
DD21745.6 |
01/12/2016 |
|
Facebook advertising- Media & Promotions |
$154.94 |
AMFS |
|
DD21783.1 |
06/12/2016 |
SUPERANNUATION |
Superannuation contributions |
$63,498.70 |
AMFS |
|
DD21783.2 |
06/12/2016 |
SUPERANNUATION |
Superannuation contributions |
$785.35 |
AMFS |
|
DD21783.3 |
06/12/2016 |
SUPERANNUATION |
Superannuation contributions |
$98.48 |
AMFS |
|
DD21783.4 |
06/12/2016 |
SUPERANNUATION |
Superannuation contributions |
$608.94 |
AMFS |
|
DD21783.5 |
06/12/2016 |
SUPERANNUATION |
Superannuation contributions |
$285.18 |
AMFS |
|
DD21783.6 |
06/12/2016 |
SUPERANNUATION |
Superannuation contributions |
$528.27 |
AMFS |
|
DD21783.7 |
06/12/2016 |
SUPERANNUATION |
Superannuation contributions |
$1,338.85 |
AMFS |
|
DD21783.8 |
06/12/2016 |
SUPERANNUATION |
Superannuation contributions |
$1,247.03 |
AMFS |
|
DD21783.9 |
06/12/2016 |
SUPERANNUATION |
Superannuation contributions |
$601.02 |
AMFS |
|
DD21848.1 |
21/12/2016 |
BROOME COMMONWEALTH TRADING BANK |
Loan No. 171 Interest payment - BRAC Building Loan |
$56,715.65 |
AMFS |
|
DD21853.1 |
20/12/2016 |
SUPERANNUATION |
Superannuation contributions |
$64,006.43 |
AMFS |
|
DD21853.2 |
20/12/2016 |
SUPERANNUATION |
Superannuation contributions |
$816.61 |
AMFS |
|
DD21853.3 |
20/12/2016 |
SUPERANNUATION |
Superannuation contributions |
$607.54 |
AMFS |
|
DD21853.4 |
20/12/2016 |
SUPERANNUATION |
Superannuation contributions |
$292.09 |
AMFS |
|
DD21853.5 |
20/12/2016 |
SUPERANNUATION |
Superannuation contributions |
$510.19 |
AMFS |
|
DD21853.6 |
20/12/2016 |
SUPERANNUATION |
Superannuation contributions |
$1,534.39 |
AMFS |
|
DD21853.7 |
20/12/2016 |
SUPERANNUATION |
Superannuation contributions |
$1,837.39 |
AMFS |
|
DD21853.8 |
20/12/2016 |
SUPERANNUATION |
Superannuation contributions |
$668.94 |
AMFS |
|
DD21853.9 |
20/12/2016 |
SUPERANNUATION |
Superannuation contributions |
$293.52 |
AMFS |
|
DD21783.10 |
06/12/2016 |
SUPERANNUATION |
Superannuation contributions |
$292.95 |
AMFS |
|
DD21783.11 |
06/12/2016 |
SUPERANNUATION |
Superannuation contributions |
$879.60 |
AMFS |
|
DD21783.12 |
06/12/2016 |
SUPERANNUATION |
Superannuation contributions |
$494.82 |
AMFS |
|
DD21783.13 |
06/12/2016 |
SUPERANNUATION |
Superannuation contributions |
$429.96 |
AMFS |
|
DD21783.14 |
06/12/2016 |
SUPERANNUATION |
Superannuation contributions |
$277.75 |
AMFS |
|
DD21783.15 |
06/12/2016 |
SUPERANNUATION |
Superannuation contributions |
$559.29 |
AMFS |
|
DD21783.16 |
06/12/2016 |
SUPERANNUATION |
Superannuation contributions |
$479.98 |
AMFS |
|
DD21783.17 |
06/12/2016 |
SUPERANNUATION |
Superannuation contributions |
$283.12 |
AMFS |
|
DD21783.18 |
06/12/2016 |
SUPERANNUATION |
Superannuation contributions |
$394.62 |
AMFS |
|
DD21783.19 |
06/12/2016 |
SUPERANNUATION |
Superannuation contributions |
$228.25 |
AMFS |
|
DD21783.20 |
06/12/2016 |
SUPERANNUATION |
Superannuation contributions |
$286.53 |
AMFS |
|
DD21783.21 |
06/12/2016 |
SUPERANNUATION |
Superannuation contributions |
$863.02 |
AMFS |
|
DD21783.22 |
06/12/2016 |
SUPERANNUATION |
Superannuation contributions |
$317.98 |
AMFS |
|
DD21783.23 |
06/12/2016 |
SUPERANNUATION |
Superannuation contributions |
$671.20 |
AMFS |
|
DD21783.24 |
06/12/2016 |
SUPERANNUATION |
Superannuation contributions |
$968.51 |
AMFS |
|
DD21783.25 |
06/12/2016 |
SUPERANNUATION |
Superannuation contributions |
$353.62 |
AMFS |
|
DD21783.26 |
06/12/2016 |
SUPERANNUATION |
Superannuation contributions |
$284.34 |
AMFS |
|
DD21783.27 |
06/12/2016 |
SUPERANNUATION |
Superannuation contributions |
$211.73 |
AMFS |
|
DD21853.10 |
20/12/2016 |
SUPERANNUATION |
Superannuation contributions |
$875.44 |
AMFS |
|
DD21853.11 |
20/12/2016 |
SUPERANNUATION |
Superannuation contributions |
$416.29 |
AMFS |
|
DD21853.12 |
20/12/2016 |
SUPERANNUATION |
Superannuation contributions |
$446.86 |
AMFS |
|
DD21853.13 |
20/12/2016 |
SUPERANNUATION |
Superannuation contributions |
$559.29 |
AMFS |
|
DD21853.14 |
20/12/2016 |
SUPERANNUATION |
Superannuation contributions |
$479.98 |
AMFS |
|
DD21853.15 |
20/12/2016 |
SUPERANNUATION |
Superannuation contributions |
$226.50 |
AMFS |
|
DD21853.16 |
20/12/2016 |
SUPERANNUATION |
Superannuation contributions |
$394.62 |
AMFS |
|
DD21853.17 |
20/12/2016 |
SUPERANNUATION |
Superannuation contributions |
$240.93 |
AMFS |
|
DD21853.18 |
20/12/2016 |
SUPERANNUATION |
Superannuation contributions |
$293.81 |
AMFS |
|
DD21853.19 |
20/12/2016 |
SUPERANNUATION |
Superannuation contributions |
$1,610.54 |
AMFS |
|
DD21853.20 |
20/12/2016 |
SUPERANNUATION |
Superannuation contributions |
$554.69 |
AMFS |
|
DD21853.21 |
20/12/2016 |
SUPERANNUATION |
Superannuation contributions |
$757.23 |
AMFS |
|
DD21853.22 |
20/12/2016 |
SUPERANNUATION |
Superannuation contributions |
$952.78 |
AMFS |
|
DD21853.23 |
20/12/2016 |
SUPERANNUATION |
Superannuation contributions |
$275.31 |
AMFS |
|
DD21853.24 |
20/12/2016 |
SUPERANNUATION |
Superannuation contributions |
$160.76 |
AMFS |
|
DD21853.25 |
20/12/2016 |
SUPERANNUATION |
Superannuation contributions |
$294.93 |
AMFS |
|
MUNICIPAL DIRECT DEBIT TOTAL: |
$221,062.47 |
||||
|
MUNICIPAL ELECTRONIC TRANSFER TOTAL |
$4,075,777.00 |
||||
|
MUNICIPAL CHEQUES TOTAL |
$5,242.35 |
||||
|
TRUST CHEQUE TOTAL |
$3,232.68 |
||||
|
MUNICIPAL DIRECT DEBIT/ CREDIT CARD TOTAL |
$221,062.47 |
||||
|
TOTAL PAYMENTS - DECEMBER 2016 |
$4,305,314.50 |
||||
|
Key for Delegation of Authority: |
|||||
|
CEO |
Chief Executive Officer |
||||
|
MFS |
Manager Financial Services |
||||
|
AMFS |
Acting Manager Financial Services |
||||
|
DCS |
Director Corporate Services |
||||
|
9.4.2 MONTHLY PAYMENT LISTING - JANUARY 2017 LOCATION/ADDRESS: Nil APPLICANT: Nil FILE: FRE02 AUTHOR: Finance Officer - Creditors CONTRIBUTOR/S: Nil RESPONSIBLE OFFICER: Director Corporate Services DISCLOSURE OF INTEREST: Nil DATE OF REPORT: 1 February 2017 |
|
SUMMARY: This report recommends that Council adopts the list of payments made under delegated authority, as per the attachment to this report for the month of January 2017. |
BACKGROUND
Previous Considerations
Nil
COMMENT
The Chief Executive Officer (CEO) has delegated authority to make payments from the Municipal and Trust funds in accordance with budget allocations.
The Shire provides payments to suppliers by either Electronic Funds Transfer (EFT), cheque, credit card or direct debit.
Attached is a list of all payments processed under delegated authority during the month of January 2017.
CONSULTATION
Nil
STATUTORY ENVIRONMENT
Local Government (Financial Management) Regulations 1996
13. Payments from municipal fund or trust fund by CEO, CEO’s duties as to etc.
(1) If the local government has delegated to the CEO the exercise of its power to make payments from the municipal fund or the trust fund, a list of accounts paid by the CEO is to be prepared each month showing for each account paid since the last such list was prepared —
(a) the payee’s name;
(b) the amount of the payment; and
(c) the date of the payment; and
(d) sufficient information to identify the transaction.
(2) A list of accounts for approval to be paid is to be prepared each month showing —
(a) for each account which requires council authorisation in that month —
(i) the payee’s name; and
(ii) the amount of the payment; and
(iii) sufficient information to identify the transaction; and
(b) the date of the meeting of the council to which the list is to be presented.
(3) A list prepared under subregulation (1) or (2) is to be —
(a) presented to the council at the next ordinary meeting of the council after the list is prepared; and
(b) recorded in the minutes of that meeting.
POLICY IMPLICATIONS
Nil
FINANCIAL IMPLICATIONS
List of payments made in accordance with budget and delegated authority.
RISK
The risk of Council not adopting this report is extreme as this will result in non-compliance with Regulation 13 of the Local Government (Financial Management) Regulations 1996. The likelihood of this ever occurring is rare due to the CEO’s implementation of procedures to ensure payment details are disclosed to Council in a timely manner, as well as Procurement and Purchasing policies which ensure these payments are made in accordance with budget and delegated authority and comply with Local Government (Financial Management) Regulations 1996.
STRATEGIC IMPLICATIONS
Our Organisation Goal – Continually enhance the Shire’s organisational capacity to service the needs of a growing community:
An organisational culture that strives for service excellence
Responsible resource allocation
Effective community engagement
Improved systems, processes and compliance
VOTING REQUIREMENTS
Simple Majority
|
That Council records the accounts as paid under delegated authority for January 2017, totalling $3,095,224.70 as attached, covering:
· EFT Vouchers 38872 – 39246 totalling $2,921,930.33; · Municipal Cheque Vouchers 57443– 57444 totalling $90.37; · Trust Cheque Vouchers 3429 - 3430 totalling $1,935.36; and · Municipal Direct Debits DD21899.1– DD22039.24 totalling $171,268.64. |
|
Payment Listing January 2017 |
|
Item 9.4.2 - MONTHLY PAYMENT LISTING - JANUARY 2017 |
Part 5. Division 4. Section 5.42 Delegation of some powers to CEO. Sub Section Finance Management Regulation 12.
Each payment must show on a list the payees name, the amount of the payment, the date of the payment and sufficient information to identify the transaction.
This report incorporates the Delegation of Authority (Administration Regulation 19)
|
PAYMENTS BY EFT & CHEQUE AND FROM TRUST - JANUARY 2017 |
|
||||
|
MUNICIPAL ELECTRONIC TRANSFER - JANUARY 2017 |
|
||||
|
EFT |
Date |
Name |
Description |
Amount |
Del Auth |
|
EFT38872 |
03/01/2017 |
SHIRE OF BROOME |
Bond refund- Civic Centre |
$2,654.75 |
AMFS |
|
EFT38873 |
03/01/2017 |
SHIRE OF BROOME |
Bond refund- Civic Centre |
$1,609.85 |
AMFS |
|
EFT38874 |
03/01/2017 |
SHIRE OF BROOME |
Bond refund- Civic Centre |
$3,210.94 |
AMFS |
|
EFT38875 |
03/01/2017 |
BROOME SPORTS ASSOCIATION |
Bond refund- Civic Centre |
$1,087.27 |
AMFS |
|
EFT38876 |
04/01/2017 |
BROOME SOCCER ASSOCIATION |
Refund of key deposit (recognised in December) |
$0.00 |
AMFS |
|
EFT38877 |
05/01/2017 |
12 MILE SHADE & CANVAS |
Replace shade sail- Cable Beach playground |
$2,244.00 |
AMFS |
|
EFT38878 |
05/01/2017 |
ALETTA JOYCE NUGENT |
Reimbursal of expenses- Development Services |
$306.44 |
AMFS |
|
EFT38879 |
05/01/2017 |
AVERY AIRCONDITIONING PTY LTD |
Air conditioning repair- BRAC |
$1,603.33 |
AMFS |
|
EFT38880 |
05/01/2017 |
BROOME CHAMBER OF COMMERCE |
Chinatown Christmas party- Community Services |
$10,000.00 |
AMFS |
|
EFT38881 |
05/01/2017 |
BROOME SMALL MAINTENANCE SERVICES |
Building maintenance- Admin Office & BRAC |
$176.00 |
AMFS |
|
EFT38882 |
05/01/2017 |
BROOME TREE & PALM SERVICE |
Mulching (RFQ 16-05)- Waste Management Facility |
$23,933.80 |
AMFS |
|
EFT38883 |
05/01/2017 |
CITY OF SWAN |
GIS Labour Services- IT |
$5,093.45 |
AMFS |
|
EFT38884 |
05/01/2017 |
COATES HIRE OPERATIONS PTY LTD |
Cherry picker hire- Depot |
$1,011.29 |
AMFS |
|
EFT38885 |
05/01/2017 |
CT MECHANICAL & SERVICES |
Plant maintenance & wheel change- Waste Management Facility |
$632.50 |
AMFS |
|
EFT38886 |
05/01/2017 |
DEPARTMENT OF PARKS & WILDLIFE |
Community Sponsorship Program (16/17)- Mudflats & Moving pictures |
$1,100.00 |
AMFS |
|
EFT38887 |
05/01/2017 |
DORMA AUTOMATICS PTY LTD |
Automatic door maintenance- Broome Visitors Centre & BRAC |
$970.31 |
AMFS |
|
EFT38888 |
05/01/2017 |
FIRE & SAFETY SERVICES |
Fire equipment testing (RFQ 14/5)- Civic Centre |
$172.33 |
AMFS |
|
EFT38889 |
05/01/2017 |
G. BISHOPS TRANSPORT SERVICES PTY LTD |
Freight- Depot |
$120.38 |
AMFS |
|
EFT38890 |
05/01/2017 |
HERBERT SMITH FREEHILLS |
Legal expenses- Various matters |
$21,406.21 |
AMFS |
|
EFT38891 |
05/01/2017 |
HORIZON POWER (SERVICE WORKS) |
Provision of streetlights- Stewart Street |
$45,111.39 |
AMFS |
|
EFT38892 |
05/01/2017 |
JULIE THOMAS |
Town rubbish bag collection |
$80.00 |
AMFS |
|
EFT38893 |
05/01/2017 |
KOMATSU AUSTRALIA PTY LTD |
Vehicle parts- Workshop |
$247.50 |
AMFS |
|
EFT38894 |
05/01/2017 |
METAMORPH CONSULTING PTY LTD |
Travel expenses- Smart Community Consultation |
$2,550.68 |
AMFS |
|
EFT38895 |
05/01/2017 |
NORTH WEST COAST SECURITY |
Security services- Various Shire sites |
$10,561.66 |
AMFS |
|
EFT38896 |
05/01/2017 |
NORTHWEST HYDRO SOLUTIONS |
Reticulation parts- Depot |
$2,720.18 |
AMFS |
|
EFT38897 |
05/01/2017 |
ONLINE SAFETY SYSTEMS PTY LTD (PLANT ASSESSOR) |
Safety labels- Waste Management Facility |
$135.30 |
AMFS |
|
EFT38898 |
05/01/2017 |
PINDAN LABOUR SOLUTIONS PTY LTD |
Labour hire- Depot |
$488.30 |
AMFS |
|
EFT38899 |
05/01/2017 |
FOOTPRINT CLEANING |
Weekly & event cleaning (Nov & Dec 16)- Civic Centre |
$4,070.00 |
AMFS |
|
EFT38900 |
05/01/2017 |
SECURITY & TECHNOLOGY SERVICES (NORWEST) |
Security code modifications- Depot |
$132.00 |
AMFS |
|
EFT38901 |
05/01/2017 |
SHERIDANS FOR BADGES |
Desk plate- Shire Councillor |
$119.68 |
AMFS |
|
EFT38902 |
05/01/2017 |
STREETER & MALE PTY LTD |
Reticulation parts- Depot |
$52.50 |
AMFS |
|
EFT38903 |
05/01/2017 |
SUBWAY BROOME |
Catering- Midnight Basketball & HR |
$539.00 |
AMFS |
|
EFT38904 |
05/01/2017 |
SUNNY SIGN COMPANY PTY LTD |
Street sign- Depot |
$66.00 |
AMFS |
|
EFT38905 |
05/01/2017 |
TERRITORY RURAL BROOME |
Tools, consumables & reticulation parts- Depot |
$3,970.27 |
AMFS |
|
EFT38906 |
05/01/2017 |
THE WORKWEAR GROUP (NNT) |
Staff uniform- HR |
$956.20 |
AMFS |
|
EFT38907 |
05/01/2017 |
TNT AUSTRALIA PTY LTD T/AS TNT EXPRESS |
Freight- Workshop & Health |
$440.05 |
AMFS |
|
EFT38908 |
05/01/2017 |
TOTAL SAFETY & FIRE SOLUTIONS (NORTH WEST FIRE PROTECTION) |
Toilet signs- Depot |
$50.60 |
AMFS |
|
EFT38909 |
05/01/2017 |
TOTALLY WORKWEAR |
Steel cap boots- Depot |
$153.00 |
AMFS |
|
EFT38910 |
05/01/2017 |
UNBOUND SOUND |
Projector & accessories- Civic Centre |
$4,740.00 |
AMFS |
|
EFT38911 |
05/01/2017 |
VIVA ENERGY AUSTRALIA |
Fuel card purchases From 16.11.16- 30.11.16 |
$24.75 |
AMFS |
|
EFT38912 |
05/01/2017 |
WAVE 1 |
Equipment & hardware (RFQ 16-64)- IT |
$48,028.20 |
AMFS |
|
EFT38913 |
05/01/2017 |
WEST COAST ON HOLD |
On hold message service December 2016- Media |
$69.00 |
AMFS |
|
EFT38914 |
05/01/2017 |
WALGA |
Procurement & tender services- KRO |
$739.00 |
AMFS |
|
EFT38915 |
05/01/2017 |
SALARY & WAGES |
Payroll S & W |
$650.00 |
AMFS |
|
EFT38916 |
05/01/2017 |
SALARY & WAGES |
Payroll S & W |
$329.51 |
AMFS |
|
EFT38917 |
05/01/2017 |
AUSTRALIAN TAXATION OFFICE |
PAYG |
$105,668.46 |
AMFS |
|
EFT38918 |
05/01/2017 |
SALARY & WAGES |
Payroll S & W |
$380.00 |
AMFS |
|
EFT38919 |
05/01/2017 |
SALARY & WAGES |
Payroll S & W |
$750.00 |
AMFS |
|
EFT38920 |
05/01/2017 |
SALARY & WAGES |
Payroll S & W |
$666.44 |
AMFS |
|
EFT38921 |
05/01/2017 |
SALARY & WAGES |
Payroll S & W |
$600.00 |
AMFS |
|
EFT38922 |
05/01/2017 |
SALARY & WAGES |
Payroll S & W |
$248.65 |
AMFS |
|
EFT38923 |
05/01/2017 |
SALARY & WAGES |
Payroll S & W |
$370.77 |
AMFS |
|
EFT38924 |
05/01/2017 |
SALARY & WAGES |
Payroll S & W |
$373.90 |
AMFS |
|
EFT38925 |
05/01/2017 |
SALARY & WAGES |
Payroll S & W |
$420.00 |
AMFS |
|
EFT38926 |
05/01/2017 |
SALARY & WAGES |
Payroll S & W |
$578.17 |
AMFS |
|
EFT38927 |
05/01/2017 |
SALARY & WAGES |
Payroll S & W |
$410.00 |
AMFS |
|
EFT38928 |
05/01/2017 |
SALARY & WAGES |
Payroll S & W |
$425.00 |
AMFS |
|
EFT38929 |
05/01/2017 |
SALARY & WAGES |
Payroll S & W |
$357.50 |
AMFS |
|
EFT38930 |
05/01/2017 |
SALARY & WAGES |
Payroll S & W |
$1,608.61 |
AMFS |
|
EFT38931 |
05/01/2017 |
SALARY & WAGES |
Payroll S & W |
$250.00 |
AMFS |
|
EFT38932 |
05/01/2017 |
SALARY & WAGES |
Payroll S & W |
$372.90 |
AMFS |
|
EFT38933 |
05/01/2017 |
SALARY & WAGES |
Payroll S & W |
$340.00 |
AMFS |
|
EFT38934 |
05/01/2017 |
SALARY & WAGES |
Payroll S & W |
$259.27 |
AMFS |
|
EFT38935 |
05/01/2017 |
SALARY & WAGES |
Payroll S & W |
$400.00 |
AMFS |
|
EFT38936 |
05/01/2017 |
SALARY & WAGES |
Payroll S & W |
$1,713.53 |
AMFS |
|
EFT38937 |
05/01/2017 |
SALARY & WAGES |
Payroll S & W |
$201.10 |
AMFS |
|
EFT38938 |
05/01/2017 |
SALARY & WAGES |
Payroll S & W |
$108.09 |
AMFS |
|
EFT38939 |
05/01/2017 |
SALARY & WAGES |
Payroll S & W |
$300.00 |
AMFS |
|
EFT38940 |
05/01/2017 |
SALARY & WAGES |
Payroll S & W |
$457.57 |
AMFS |
|
EFT38941 |
05/01/2017 |
SALARY & WAGES |
Payroll S & W |
$662.65 |
AMFS |
|
EFT38942 |
05/01/2017 |
SALARY & WAGES |
Payroll S & W |
$1,208.80 |
AMFS |
|
EFT38943 |
05/01/2017 |
SALARY & WAGES |
Payroll S & W |
$1,050.80 |
AMFS |
|
EFT38944 |
05/01/2017 |
SALARY & WAGES |
Payroll S & W |
$600.00 |
AMFS |
|
EFT38945 |
05/01/2017 |
SALARY & WAGES |
Payroll S & W |
$700.00 |
AMFS |
|
EFT38946 |
05/01/2017 |
SALARY & WAGES |
Payroll S & W |
$1,177.26 |
AMFS |
|
EFT38947 |
05/01/2017 |
SALARY & WAGES |
Payroll S & W |
$19.40 |
AMFS |
|
EFT38948 |
06/01/2017 |
AMO CONTRACTING |
Footpaths supply and construction- Infrastructure |
$73,068.60 |
AMFS |
|
EFT38949 |
06/01/2017 |
AVERY AIRCONDITIONING PTY LTD |
Air conditioning maintenance- Various Shire sites |
$1,383.75 |
AMFS |
|
EFT38950 |
06/01/2017 |
BIANCA GRAHAM |
Umpiring- Midnight Basketball |
$500.00 |
AMFS |
|
EFT38951 |
06/01/2017 |
HUTCHINSON REAL ESTATE |
Staff rent (BOND) |
$1,920.00 |
AMFS |
|
EFT38952 |
06/01/2017 |
KIMBERLEY PLASTIC CUSTOM FABRICATION |
Repair water tank- P&G |
$533.50 |
AMFS |
|
EFT38953 |
06/01/2017 |
LETOYA DANN |
Umpiring- Midnight Basketball |
$220.00 |
AMFS |
|
EFT38954 |
06/01/2017 |
MICHAEL LUNGOOR BUNYNGUL ALBERT |
Umpiring- Midnight Basketball |
$200.00 |
AMFS |
|
EFT38955 |
06/01/2017 |
PERFORMANCE TINTING |
Frosted vinyl window fronts- KRO2 |
$2,620.00 |
AMFS |
|
EFT38956 |
06/01/2017 |
RAY WHITE BROOME |
Staff Rent (BOND) |
$260.00 |
AMFS |
|
EFT38957 |
05/01/2017 |
BROOME COMMONWEALTH TRADING BANK |
Salary and wages pay period ending: 03.01.17 |
$305,095.00 |
AMFS |
|
EFT38958 |
11/01/2017 |
AD ENGINEERING INTERNATIONAL PTY LTD |
3G service- Depot |
$132.00 |
AMFS |
|
EFT38959 |
11/01/2017 |
ALL VALVE INDUSTRIES PTY LTD |
Tools- Depot |
$520.30 |
AMFS |
|
EFT38960 |
11/01/2017 |
AUSTRAL MERCANTILE COLLECTIONS PTY LTD |
Debt Recovery (RFQ 16/65)- Rates |
$17,577.50 |
AMFS |
|
EFT38961 |
11/01/2017 |
AUSTRALIAN PERFORMING ARTS CENTRES ASS. |
2017 Membership fee- Civic Centre |
$1,290.00 |
AMFS |
|
EFT38962 |
11/01/2017 |
AVERY AIRCONDITIONING PTY LTD |
Air conditioning maintenance- Broome Visitor Centre |
$206.25 |
AMFS |
|
EFT38963 |
11/01/2017 |
BITUMEN SEALING SERVICES PTY LTD |
Bitumen- Stewart St upgrade |
$44,729.30 |
AMFS |
|
EFT38964 |
11/01/2017 |
BK SIGNS |
Print & supply signs- Depot |
$1,133.00 |
AMFS |
|
EFT38965 |
11/01/2017 |
BP AUSTRALIA PTY LTD - FUEL |
Diesel- Depot |
$16,413.69 |
AMFS |
|
EFT38966 |
11/01/2017 |
BP BROOME CENTRAL & TYREPLUS BROOME |
Unleaded fuel- Depot & BRAC |
$491.38 |
AMFS |
|
EFT38967 |
11/01/2017 |
BROLGA DEVELOPMENTS & CONSTRUCTION PTY LTD |
Crossover Subsidy- Lot 641 Povah Road |
$515.00 |
AMFS |
|
EFT38968 |
11/01/2017 |
BROOME ABORIGINAL FAMILY LAW SERVICES (WA) |
Community Sponsorship (2016/2017)- Community Development |
$435.60 |
AMFS |
|
EFT38969 |
11/01/2017 |
BROOME CLARK RUBBER |
Pool maintenance- Shire Staff housing |
$196.34 |
AMFS |
|
EFT38970 |
11/01/2017 |
BROOME PROGRESSIVE SUPPLIES |
Kiosk stock & cleaning materials- BRAC |
$546.00 |
AMFS |
|
EFT38971 |
11/01/2017 |
BROOME SCOOTERS PTY LTD (KIMBERLEY MOWERS & SPARES) |
Vehicle parts- Depot |
$260.00 |
AMFS |
|
EFT38972 |
11/01/2017 |
BROOME SMALL MAINTENANCE SERVICES |
Replace fluorescent tubes- Property |
$88.00 |
AMFS |
|
EFT38973 |
11/01/2017 |
BROOME SPORTS ASSOCIATION |
Sponsorship of Club of the Year award- Club Development |
$1,000.00 |
AMFS |
|
EFT38974 |
11/01/2017 |
COCA COLA AMATIL |
Kiosk stock- BRAC |
$518.69 |
AMFS |
|
EFT38975 |
11/01/2017 |
CT MECHANICAL & SERVICES |
Plant & equipment repair & maintenance- Waste Management Facility |
$2,138.40 |
AMFS |
|
EFT38976 |
11/01/2017 |
DATA#3 LIMITED |
Equipment & hardware- IT |
$11,307.53 |
AMFS |
|
EFT38977 |
11/01/2017 |
HORIZON POWER |
Electricity charges |
$37,991.27 |
AMFS |
|
EFT38978 |
11/01/2017 |
CABLE BEACH ELECTRICAL SERVICE |
Floodlights maintenance- Male Oval |
$588.50 |
AMFS |
|
EFT38979 |
11/01/2017 |
CABLE BEACH TYRE SERVICE PTY LTD T/AS BRIDGESTONE BROOME |
Tyres & repairs- Workshop |
$3,598.50 |
AMFS |
|
EFT38980 |
11/01/2017 |
CHADSON ENGINEERING P/L |
Analytical expenses- Health |
$171.05 |
AMFS |
|
EFT38981 |
11/01/2017 |
DINGO PROMOTIONS |
Pens & USBs- Promotions |
$1,152.25 |
AMFS |
|
EFT38982 |
11/01/2017 |
EEO SPECIALISTS PTY LTD |
Grievance template- HR |
$324.50 |
AMFS |
|
EFT38983 |
11/01/2017 |
EIGHTY MILE BEACH CARAVAN PARK |
Shire Staff accommodation- Health |
$190.00 |
AMFS |
|
EFT38984 |
11/01/2017 |
ELGAS LTD |
Forklift gas- Depot |
$57.70 |
AMFS |
|
EFT38985 |
11/01/2017 |
FIRE & SAFETY SERVICES |
Fire equipment testing (RFQ 14/5) & equipment- Civic Centre & BRAC |
$607.38 |
AMFS |
|
EFT38986 |
11/01/2017 |
FIXIT BROOME |
Building maintenance- Cable Beach toilets & BRAC |
$1,337.60 |
AMFS |
|
EFT38987 |
11/01/2017 |
FLEET LOGISTICS PTY LTD (EZY2C) |
Website subscriptions- Depot |
$371.69 |
AMFS |
|
EFT38988 |
11/01/2017 |
G. BISHOPS TRANSPORT SERVICES PTY LTD |
Freight- Rangers & Depot |
$1,623.73 |
AMFS |
|
EFT38989 |
11/01/2017 |
GARRARDS PTY LTD |
Pesticides- Health |
$1,175.02 |
AMFS |
|
EFT38990 |
11/01/2017 |
IGA - SEAVIEW |
Daily newspaper- Library & Media |
$126.40 |
AMFS |
|
EFT38991 |
11/01/2017 |
LOCAL GOVERNMENT ASSOCIATION OF THE NORTHERN TERRITORY |
Kimberley Zone/NT Registration & meeting dinner- Office of the CEO |
$345.00 |
AMFS |
|
EFT38992 |
11/01/2017 |
MARK JAMES DUDLEY |
Reimbursement of expenses- Development Services |
$29.21 |
AMFS |
|
EFT38993 |
11/01/2017 |
MICHAEL JAMES DOYLE |
Reimbursement of expenses- Club Development |
$79.00 |
AMFS |
|
EFT38994 |
11/01/2017 |
MOORE STEPHENS (WA) PTY LTD |
Biennial Audit regulation 17 review services- Corporate Services |
$5,890.50 |
AMFS |
|
EFT38995 |
11/01/2017 |
NORTHWEST HYDRO SOLUTIONS |
Supply & install pipework, reticulation and vehicle parts- Various Shire sites |
$11,973.61 |
AMFS |
|
EFT38996 |
11/01/2017 |
TELSTRA |
Phone charges |
$1,105.85 |
AMFS |
|
EFT38997 |
11/01/2017 |
TNT AUSTRALIA PTY LTD T/AS TNT EXPRESS |
Freight- Workshop & Health |
$130.21 |
AMFS |
|
EFT38998 |
11/01/2017 |
VIVA ENERGY AUSTRALIA |
Fuel card purchases From 16.12.16- 31.12.16 |
$1,052.18 |
AMFS |
|
EFT38999 |
11/01/2017 |
WEST AUSTRALIAN NEWSPAPERS |
Advertising- Media & Civic Centre |
$4,232.36 |
AMFS |
|
EFT39000 |
11/01/2017 |
SHIRE OF BROOME |
BRB commission- December 2016 |
$100.00 |
AMFS |
|
EFT39001 |
11/01/2017 |
DEPARTMENT OF COMMERCE - BUILDING COMMISSION - INC BCITF |
BRB levy- December 2016 |
$2,298.35 |
AMFS |
|
EFT39002 |
11/01/2017 |
SHIRE OF BROOME |
BCITF commission- December 2016 |
$74.25 |
AMFS |
|
EFT39003 |
12/01/2017 |
AHA LOGIC |
Consultancy services- Development Services |
$808.50 |
AMFS |
|
EFT39004 |
12/01/2017 |
AUSTRALIA POST |
Postage Charges. 31.12.16 |
$3,476.55 |
AMFS |
|
EFT39005 |
12/01/2017 |
BERTA BRUNET FABREGUES |
Reimbursement of expenses- HR |
$395.45 |
AMFS |
|
EFT39006 |
12/01/2017 |
BROOME ALI WORKS |
Tool box repairs- Workshop |
$209.00 |
AMFS |
|
EFT39007 |
12/01/2017 |
BROOME MOTORS |
5 x Isuzu DMax (RFQ 16-76)- Various Shire sites |
$141,429.64 |
AMFS |
|
EFT39008 |
12/01/2017 |
CJD EQUIPMENT PTY LTD |
Vehicle parts- Workshop |
$1,432.62 |
AMFS |
|
EFT39009 |
12/01/2017 |
HERBERT SMITH FREEHILLS |
Legal expenses- Nyamba Buru Yawuri & Roebuck Caravan Park |
$13,045.39 |
AMFS |
|
EFT39010 |
12/01/2017 |
IMAGE BOLLARDS |
Rubber wheel stops- Stewart St upgrade |
$1,760.00 |
AMFS |
|
EFT39011 |
12/01/2017 |
J BLACKWOOD & SON T/AS BLACKWOODS |
Consumables- Depot, Workshop & BRAC |
$644.45 |
AMFS |
|
EFT39012 |
12/01/2017 |
KB MOBILE MEATS |
Catering- Midnight Basketball |
$2,400.00 |
AMFS |
|
EFT39013 |
12/01/2017 |
KIMBERLEY DISTRIBUTORS |
Catering- Midnight Basketball |
$658.43 |
AMFS |
|
EFT39014 |
12/01/2017 |
KIMBERLEY GOLD PURE DRINKING WATER |
Drinking water- Waste Management Facility & Administration Office |
$209.00 |
AMFS |
|
EFT39015 |
12/01/2017 |
KGT Employment |
Apprentice wages- Workshop |
$4,775.03 |
AMFS |
|
EFT39016 |
12/01/2017 |
KIMBERLEY SIGNS & DESIGNS |
Aluminium sign- Depot |
$294.80 |
AMFS |
|
EFT39017 |
12/01/2017 |
KIMBERLEY TRUSS (NORTRUSS (NT) PTY LTD) |
Helmet Kits & panic bolt- Infrastructure & BRAC |
$270.55 |
AMFS |
|
EFT39018 |
12/01/2017 |
KIMBERLEY WASHROOM SERVICES |
Sanitary Disposal service- Various Shire sites |
$620.00 |
AMFS |
|
EFT39019 |
12/01/2017 |
KOTT GUNNING LAWYERS |
Legal expenses- Building Order Reserve 9697 |
$10,985.34 |
AMFS |
|
EFT39020 |
12/01/2017 |
KYLIE HARDER |
Reimbursement of expenses- HR |
$1,020.00 |
AMFS |
|
EFT39021 |
12/01/2017 |
PRD NATIONWIDE |
Staff rent (BOND) |
$1,940.00 |
AMFS |
|
EFT39022 |
12/01/2017 |
SALVATORE CONSTANTINO MASTROLEMBO |
Reimbursement of expenses- Office of the CEO |
$4,177.46 |
AMFS |
|
EFT39023 |
12/01/2017 |
SOPHIE LE BLOWITZ |
Netball umpiring expenses- BRAC |
$342.00 |
AMFS |
|
EFT39024 |
12/01/2017 |
TAMARA GRAFFEN |
Reimbursement of expenses- HR |
$33.00 |
AMFS |
|
EFT39025 |
12/01/2017 |
LAMONDES |
Catering- OMC (Dec 16) |
$450.00 |
AMFS |
|
EFT39026 |
12/01/2017 |
LIFT 'N' RIG PTY LTD |
Crane hire- Waste Management Facility |
$2,178.00 |
AMFS |
|
EFT39027 |
12/01/2017 |
MAJOR MOTORS PTY LTD |
Vehicle parts- Workshop |
$2,034.95 |
AMFS |
|
EFT39028 |
12/01/2017 |
MCINTOSH & SON |
Vehicle parts- Workshop |
$333.24 |
AMFS |
|
EFT39029 |
12/01/2017 |
MERCURE INN BROOME |
Pool hire- Group fitness classes |
$2,662.50 |
AMFS |
|
EFT39030 |
12/01/2017 |
METRIX CONSULTING PTY LTD |
Consultancy fees- Major Events Strategic Development Plan |
$11,984.50 |
AMFS |
|
EFT39031 |
12/01/2017 |
MIDALIA STEEL PTY LTD |
Drainage maintenance- Depot |
$506.00 |
AMFS |
|
EFT39032 |
12/01/2017 |
NEVERFAIL SPRINGWATER LIMITED |
Drinking water- Depot |
$135.35 |
AMFS |
|
EFT39033 |
12/01/2017 |
NORTH WEST COAST SECURITY |
Security patrols (RFT 15-05)- Various Shire sites |
$7,829.26 |
AMFS |
|
EFT39034 |
12/01/2017 |
NORTH WEST LOCKSMITHS |
Lock repairs & keys- Various Shire sites |
$415.00 |
AMFS |
|
EFT39035 |
12/01/2017 |
OAKS SANCTUARY RESORT CABLE BEACH |
Consultant accommodation- BRAC Aquatic upgrade |
$280.00 |
AMFS |
|
EFT39036 |
12/01/2017 |
PGM CONSTRUCTIONS |
Crossover Subsidy - Lot 498/51 Tomarito Crescent |
$1,030.00 |
AMFS |
|
EFT39037 |
12/01/2017 |
PINDAN LABOUR SOLUTIONS PTY LTD |
Labour hire- Waste Management Facility |
$2,390.55 |
AMFS |
|
EFT39038 |
12/01/2017 |
PRD NATIONWIDE |
Levies- Community storage |
$715.00 |
AMFS |
|
EFT39039 |
12/01/2017 |
PRINTING IDEAS |
Redesign templates, forms & membership cards- Civic Centre |
$1,094.50 |
AMFS |
|
EFT39040 |
12/01/2017 |
PROFESSIONAL TRAPPING SUPPLIES |
Cellular camera & accessories- Rangers |
$2,477.20 |
AMFS |
|
EFT39041 |
12/01/2017 |
RALPH BEATTIE BOSWORTH PTY LTD |
Surveying services (RFQ 15-54)- BRAC Aquatic upgrade |
$6,600.00 |
AMFS |
|
EFT39042 |
12/01/2017 |
REEN AUTO ELECTRICS |
Supply & fit reversing camera & GPS- Various Shire sites |
$1,963.50 |
AMFS |
|
EFT39043 |
12/01/2017 |
REGAL TRANSPORT |
Freight- Workshop |
$125.17 |
AMFS |
|
EFT39044 |
12/01/2017 |
ROADLINE CIVIL CONTRACTORS |
Traffic Management- Works |
$11,048.13 |
AMFS |
|
EFT39045 |
12/01/2017 |
ROYAL LIFE SAVING SOCIETY - WA |
First aid equipment- BRAC |
$51.85 |
AMFS |
|
EFT39046 |
12/01/2017 |
WA HINO |
Vehicle parts- Workshop |
$288.01 |
AMFS |
|
EFT39047 |
12/01/2017 |
WOOLWORTHS LIMITED |
Provisions for workers on Cape Leveque Road- Works |
$100.10 |
AMFS |
|
EFT39048 |
13/01/2017 |
BROOME PHARMACY |
Ventolin puffers- BRAC |
$19.98 |
AMFS |
|
EFT39049 |
13/01/2017 |
HORIZON POWER |
Electricity charges |
$38,082.94 |
AMFS |
|
EFT39050 |
13/01/2017 |
NYAMBA BURU YAWURU LTD |
Cultural monitoring- Stewart Street upgrade |
$3,520.00 |
AMFS |
|
EFT39051 |
13/01/2017 |
PEARL COAST INDUSTRIAL RAGS |
Rags- Depot |
$219.50 |
AMFS |
|
EFT39052 |
13/01/2017 |
PRD NATIONWIDE |
Land tax & water rates- Community Storage |
$238.56 |
AMFS |
|
EFT39053 |
13/01/2017 |
SAI GLOBAL LIMITED (SUBSCRIPTIONS) |
Building codes on-line subscription- Building Services |
$2,288.00 |
AMFS |
|
EFT39054 |
13/01/2017 |
SECUREX SECURITY PTY LTD |
Update swipe cards- HR |
$120.00 |
AMFS |
|
EFT39055 |
13/01/2017 |
SPORTSPOWER BROOME |
Whistles- Midnight Basketball |
$48.00 |
AMFS |
|
EFT39056 |
13/01/2017 |
ST JOHN AMBULANCE AUSTRALIA (WA) INC |
First aid supplies- BRAC |
$53.20 |
AMFS |
|
EFT39057 |
13/01/2017 |
STANTONS INTERNATIONAL |
Tender Probity services |
$2,673.00 |
AMFS |
|
EFT39058 |
13/01/2017 |
STOTT & HOARE BUSINESS COMPUTERS |
Toners- IT |
$3,479.30 |
AMFS |
|
EFT39059 |
13/01/2017 |
SUBWAY BROOME |
Catering- Youth Advisory Council meeting |
$56.00 |
AMFS |
|
EFT39060 |
13/01/2017 |
SUNNY SIGN COMPANY PTY LTD |
Sign & stand- Works |
$336.60 |
AMFS |
|
EFT39061 |
13/01/2017 |
TEACHER SUPERSTORE |
Stickers- Library |
$41.30 |
AMFS |
|
EFT39062 |
13/01/2017 |
TECHWEST SOLUTIONS |
Group fitness audio equipment- BRAC |
$566.50 |
AMFS |
|
EFT39063 |
13/01/2017 |
TELSTRA |
Phone charges |
$7,976.82 |
AMFS |
|
EFT39064 |
13/01/2017 |
THEATRE KIMBERLEY INC |
Kidsport funding- Club Development |
$300.00 |
AMFS |
|
EFT39065 |
13/01/2017 |
TOTAL PACKAGING (WA) PTY LTD |
Dog pouch bags- Depot |
$915.75 |
AMFS |
|
EFT39066 |
13/01/2017 |
TRADELINK PLUMBING SUPPLIES |
Tools- Depot |
$309.88 |
AMFS |
|
EFT39067 |
13/01/2017 |
UDLA |
Preparation of Cable Beach Foreshore Master Plan (RFQ16-62)- Development Services |
$31,350.00 |
AMFS |
|
EFT39068 |
13/01/2017 |
VANDERFIELD PTY LTD |
Vehicle parts- Workshop |
$1,163.81 |
AMFS |
|
EFT39069 |
13/01/2017 |
WA HINO |
New Hino 300 Series- Workshop |
$85,319.79 |
AMFS |
|
EFT39070 |
16/01/2017 |
ALEXANDER ROSS MACKENZIE |
Refund staff housing bond- Property |
$146.29 |
AMFS |
|
EFT39071 |
16/01/2017 |
ERIC NELSEN |
Refund staff housing bond- Property |
$22.20 |
AMFS |
|
EFT39072 |
17/01/2017 |
SHIRE OF BROOME |
Refund Library bonds |
$1,420.00 |
AMFS |
|
EFT39073 |
18/01/2017 |
CHANTAL SPITTLE |
Refund staff housing bond- Property |
$65.36 |
AMFS |
|
EFT39074 |
19/01/2017 |
AFGRI EQUIPMENT AUSTRALIA PTY LTD |
Vehicle parts- Depot |
$66.00 |
AMFS |
|
EFT39075 |
19/01/2017 |
BLUE TONGUE GARAGE DOORS |
Repair roller door- BRAC |
$196.00 |
AMFS |
|
EFT39076 |
19/01/2017 |
CT MECHANICAL & SERVICES |
Vehicle maintenance- Waste Management Facility |
$561.00 |
AMFS |
|
EFT39077 |
19/01/2017 |
D & K BOBCAT |
Bobcat services- P&G |
$2,904.00 |
AMFS |
|
EFT39078 |
19/01/2017 |
EJAN COMMUNICATIONS |
Portable radio- BRAC |
$456.50 |
AMFS |
|
EFT39079 |
19/01/2017 |
G. BISHOPS TRANSPORT SERVICES PTY LTD |
Freight- Depot & Works |
$263.34 |
AMFS |
|
EFT39080 |
19/01/2017 |
GINA NICOLE HAILES |
Aqua fitness instructor- BRAC |
$500.00 |
AMFS |
|
EFT39081 |
19/01/2017 |
IGA - SEAVIEW |
Daily newspaper- Library & Media |
$108.00 |
AMFS |
|
EFT39082 |
19/01/2017 |
J GUY REMOVALS |
Relocation Costs- Community Development |
$4,940.00 |
AMFS |
|
EFT39083 |
19/01/2017 |
NOVOTEL LANGLEY HOTEL (QP MANAGEMENT P/L) |
Staff travel & meals- Community Development |
$1,677.10 |
AMFS |
|
EFT39084 |
19/01/2017 |
RM SURVEYS PTY LTD |
Surveying- Infrastructure |
$4,455.00 |
AMFS |
|
EFT39085 |
19/01/2017 |
TACKLE WORLD |
Gun storage & serviceability fee- Rangers |
$83.00 |
AMFS |
|
EFT39086 |
19/01/2017 |
SALARY & WAGES |
Payroll S & W |
$650.00 |
AMFS |
|
EFT39087 |
19/01/2017 |
AUSTRALIAN TAXATION OFFICE |
PAYG |
$108,739.63 |
AMFS |
|
EFT39088 |
19/01/2017 |
SALARY & WAGES |
Payroll S & W |
$380.00 |
AMFS |
|
EFT39089 |
19/01/2017 |
SALARY & WAGES |
Payroll S & W |
$1,500.00 |
AMFS |
|
EFT39090 |
19/01/2017 |
SALARY & WAGES |
Payroll S & W |
$666.44 |
AMFS |
|
EFT39091 |
19/01/2017 |
SALARY & WAGES |
Payroll S & W |
$600.00 |
AMFS |
|
EFT39092 |
19/01/2017 |
SALARY & WAGES |
Payroll S & W |
$248.65 |
AMFS |
|
EFT39093 |
19/01/2017 |
SALARY & WAGES |
Payroll S & W |
$370.77 |
AMFS |
|
EFT39094 |
19/01/2017 |
SALARY & WAGES |
Payroll S & W |
$373.90 |
AMFS |
|
EFT39095 |
19/01/2017 |
SALARY & WAGES |
Payroll S & W |
$420.00 |
AMFS |
|
EFT39096 |
19/01/2017 |
SALARY & WAGES |
Payroll S & W |
$578.17 |
AMFS |
|
EFT39097 |
19/01/2017 |
SALARY & WAGES |
Payroll S & W |
$410.00 |
AMFS |
|
EFT39098 |
19/01/2017 |
SALARY & WAGES |
Payroll S & W |
$425.00 |
AMFS |
|
EFT39099 |
19/01/2017 |
SALARY & WAGES |
Payroll S & W |
$1,608.61 |
AMFS |
|
EFT39100 |
19/01/2017 |
SALARY & WAGES |
Payroll S & W |
$250.00 |
AMFS |
|
EFT39101 |
19/01/2017 |
SALARY & WAGES |
Payroll S & W |
$372.90 |
AMFS |
|
EFT39102 |
19/01/2017 |
SALARY & WAGES |
Payroll S & W |
$340.00 |
AMFS |
|
EFT39103 |
19/01/2017 |
SALARY & WAGES |
Payroll S & W |
$259.27 |
AMFS |
|
EFT39104 |
19/01/2017 |
SALARY & WAGES |
Payroll S & W |
$400.00 |
AMFS |
|
EFT39105 |
19/01/2017 |
SALARY & WAGES |
Payroll S & W |
$1,713.53 |
AMFS |
|
EFT39106 |
19/01/2017 |
SALARY & WAGES |
Payroll S & W |
$201.10 |
AMFS |
|
EFT39107 |
19/01/2017 |
SALARY & WAGES |
Payroll S & W |
$108.09 |
AMFS |
|
EFT39108 |
19/01/2017 |
SALARY & WAGES |
Payroll S & W |
$300.00 |
AMFS |
|
EFT39109 |
19/01/2017 |
SALARY & WAGES |
Payroll S & W |
$457.57 |
AMFS |
|
EFT39110 |
19/01/2017 |
SALARY & WAGES |
Payroll S & W |
$662.65 |
AMFS |
|
EFT39111 |
19/01/2017 |
SALARY & WAGES |
Payroll S & W |
$1,208.80 |
AMFS |
|
EFT39112 |
19/01/2017 |
SALARY & WAGES |
Payroll S & W |
$1,103.50 |
AMFS |
|
EFT39113 |
19/01/2017 |
SALARY & WAGES |
Payroll S & W |
$560.00 |
AMFS |
|
EFT39114 |
19/01/2017 |
SALARY & WAGES |
Payroll S & W |
$700.00 |
AMFS |
|
EFT39115 |
19/01/2017 |
SALARY & WAGES |
Payroll S & W |
$1,177.26 |
AMFS |
|
EFT39116 |
19/01/2017 |
SALARY & WAGES |
Payroll S & W |
$19.40 |
AMFS |
|
EFT39117 |
20/01/2017 |
BROOME FIRST NATIONAL REAL ESTATE |
Staff Rent & storage |
$10,499.69 |
AMFS |
|
EFT39118 |
20/01/2017 |
CHARTER PROPERTY GROUP PTY LTD |
Staff rent |
$2,607.14 |
AMFS |
|
EFT39119 |
20/01/2017 |
HUTCHINSON REAL ESTATE |
Staff rent |
$4,041.06 |
AMFS |
|
EFT39120 |
20/01/2017 |
KENNETH DONOHOE <RENT PAYMENTS> |
Staff rent |
$742.85 |
AMFS |
|
EFT39121 |
20/01/2017 |
MAX BERNARD GRAFFEN |
Staff Rent |
$2,166.67 |
AMFS |
|
EFT39122 |
20/01/2017 |
PRD NATIONWIDE |
Community storage- Property & Staff rent |
$3,615.00 |
AMFS |
|
EFT39123 |
20/01/2017 |
RAY WHITE BROOME |
Staff Rent |
$18,163.08 |
AMFS |
|
EFT39124 |
20/01/2017 |
SUPERANNUATION |
Superannuation contributions |
$946.59 |
AMFS |
|
EFT39125 |
20/01/2017 |
SUPERANNUATION |
Superannuation contributions |
$273.61 |
AMFS |
|
EFT39126 |
20/01/2017 |
SUPERANNUATION |
Superannuation contributions |
$1,247.03 |
AMFS |
|
EFT39127 |
20/01/2017 |
SUPERANNUATION |
Superannuation contributions |
$584.22 |
AMFS |
|
EFT39128 |
20/01/2017 |
SUPERANNUATION |
Superannuation contributions |
$1,436.06 |
AMFS |
|
EFT39129 |
20/01/2017 |
SUPERANNUATION |
Superannuation contributions |
$671.20 |
AMFS |
|
EFT39130 |
20/01/2017 |
SUPERANNUATION |
Superannuation contributions |
$240.93 |
AMFS |
|
EFT39131 |
20/01/2017 |
SUPERANNUATION |
Superannuation contributions |
$1,521.11 |
AMFS |
|
EFT39132 |
20/01/2017 |
SUPERANNUATION |
Superannuation contributions |
$606.13 |
AMFS |
|
EFT39133 |
20/01/2017 |
SUPERANNUATION |
Superannuation contributions |
$447.53 |
AMFS |
|
EFT39134 |
20/01/2017 |
SUPERANNUATION |
Superannuation contributions |
$235.29 |
AMFS |
|
EFT39135 |
20/01/2017 |
SUPERANNUATION |
Superannuation contributions |
$309.86 |
AMFS |
|
EFT39136 |
20/01/2017 |
SUPERANNUATION |
Superannuation contributions |
$49.78 |
AMFS |
|
EFT39137 |
20/01/2017 |
SUPERANNUATION |
Superannuation contributions |
$60,632.16 |
AMFS |
|
EFT39138 |
20/01/2017 |
HORIZON POWER |
Electricity charges |
$17,559.02 |
AMFS |
|
EFT39139 |
20/01/2017 |
JULIE THOMAS |
Town rubbish bag collection |
$137.50 |
AMFS |
|
EFT39140 |
20/01/2017 |
TELSTRA |
Phone charges |
$98.41 |
AMFS |
|
EFT39141 |
20/01/2017 |
BROOME COMMONWEALTH TRADING BANK |
Payroll S & W |
$310,776.00 |
AMFS |
|
EFT39142 |
24/01/2017 |
12 MILE SHADE & CANVAS |
Reinstall shade sails- Town Beach |
$528.00 |
AMFS |
|
EFT39143 |
24/01/2017 |
ACE PROMOTIONS |
Promotional fans- Library |
$1,133.00 |
AMFS |
|
EFT39144 |
24/01/2017 |
AIR LIQUIDE |
Gas bottle rental- Workshop |
$24.84 |
AMFS |
|
EFT39145 |
24/01/2017 |
ARBORGREEN LANDSCAPE PRODUCTS (NSW) |
Rootstop barriers- Stewart St upgrade |
$989.01 |
AMFS |
|
EFT39146 |
24/01/2017 |
AREVA RESOURCES AUSTRALIA PTY LTD |
Rates refund due to overpayment for assessment A305868 |
$1,318.24 |
AMFS |
|
EFT39147 |
24/01/2017 |
AUSTRALASIAN PERFORMING RIGHTS ASSOC (APRA) |
License fees (Jan- Mar 17)- Civic Centre |
$503.28 |
AMFS |
|
EFT39148 |
24/01/2017 |
AUTOPRO BROOME (Gaff Holdings Pty Ltd) |
Vehicle parts- Workshop |
$224.95 |
AMFS |
|
EFT39149 |
24/01/2017 |
AVERY AIRCONDITIONING PTY LTD |
Air conditioning maintenance & repairs- Various Shire sites |
$1,443.15 |
AMFS |
|
EFT39150 |
24/01/2017 |
BEST KIMBERLEY COMPUTING |
Copier charges (December 16)- IT |
$1,008.10 |
AMFS |
|
EFT39151 |
24/01/2017 |
BP AUSTRALIA PTY LTD - FUEL |
Diesel- Depot |
$9,557.80 |
AMFS |
|
EFT39152 |
24/01/2017 |
BROOME BETTA HOME LIVING |
PA System- Depot |
$299.00 |
AMFS |
|
EFT39153 |
24/01/2017 |
BROOME BOLT SUPPLIES WA PTY LTD |
Vehicle parts & drainage materials- Workshop & Depot |
$59.79 |
AMFS |
|
EFT39154 |
24/01/2017 |
BROOME CLARK RUBBER |
Storm damage pool clean & chemicals- Various Shire sites |
$1,461.54 |
AMFS |
|
EFT39155 |
24/01/2017 |
BROOME DOCTORS PRACTICE PTY LTD |
Recruitment expenses- HR |
$210.00 |
AMFS |
|
EFT39156 |
24/01/2017 |
BROOME FIRST NATIONAL REAL ESTATE |
Rates refund due to overpayment for assessment A106970 |
$3,922.91 |
AMFS |
|
EFT39157 |
24/01/2017 |
BROOME MOTORS |
Supply & fit tow bar & vehicle parts- Workshop |
$1,737.90 |
AMFS |
|
EFT39158 |
24/01/2017 |
BROOME PLUMBING & GAS |
Plumbing works- Various Shire sites |
$1,730.00 |
AMFS |
|
EFT39159 |
24/01/2017 |
BROOME SCOOTERS PTY LTD (KIMBERLEY MOWERS & SPARES) |
Line trimmer parts- Depot |
$143.00 |
AMFS |
|
EFT39160 |
24/01/2017 |
BROOME SMALL MAINTENANCE SERVICES |
Building maintenance- Various Shire sites |
$1,141.00 |
AMFS |
|
EFT39161 |
24/01/2017 |
BROOME TENNIS CLUB |
Kidsport funding- Club Development |
$390.00 |
AMFS |
|
EFT39162 |
24/01/2017 |
BROOME TOWING & SALVAGE |
Abandoned vehicle towing- Rangers |
$880.00 |
AMFS |
|
EFT39163 |
24/01/2017 |
BUNNINGS BROOME |
Consumables- Various Shire sites |
$3,598.11 |
AMFS |
|
EFT39164 |
24/01/2017 |
CABLE BEACH ELECTRICAL SERVICE |
Electrical repairs- Chinatown Christmas decorations |
$132.00 |
AMFS |
|
EFT39165 |
24/01/2017 |
CAM MANAGEMENT SOLUTIONS (CAMMS) |
Cloud hosting fee (Jan- Mar 17)- IT |
$1,980.00 |
AMFS |
|
EFT39166 |
24/01/2017 |
CARPET PAINT & TILE CENTRE |
Pave set bag- Stewart St upgrade |
$231.00 |
AMFS |
|
EFT39167 |
24/01/2017 |
CHUCK ROTHAN BARTLE |
Rates refund due to overpayment for assessment A305891 |
$2,625.25 |
AMFS |
|
EFT39169 |
24/01/2017 |
COASTAL DISTRIBUTING & PROVEDORING |
Kiosk stock- BRAC |
$325.45 |
AMFS |
|
EFT39170 |
24/01/2017 |
COATES HIRE OPERATIONS PTY LTD |
Pump hire- Works |
$1,562.04 |
AMFS |
|
EFT39171 |
24/01/2017 |
COCA COLA AMATIL |
Kiosk stock- BRAC |
$434.51 |
AMFS |
|
EFT39172 |
24/01/2017 |
COLES SUPERMARKETS - CHINATOWN, S324 |
Consumables & catering- Various Shire sites |
$336.75 |
AMFS |
|
EFT39173 |
24/01/2017 |
DATA#3 LIMITED |
Toner cartridges- IT |
$614.01 |
AMFS |
|
EFT39174 |
24/01/2017 |
DEANO'S CANVAS WORKS |
Dismantle shade sails- Town Beach |
$1,320.00 |
AMFS |
|
EFT39175 |
24/01/2017 |
DEPARTMENT OF TRANSPORT |
Vehicle search fees- Rangers |
$16.50 |
AMFS |
|
EFT39176 |
24/01/2017 |
DIRECTCOMMS PTY LTD |
SMS messaging service- Library |
$47.86 |
AMFS |
|
EFT39177 |
24/01/2017 |
FIELD AIR CONDITIONING & AUTO ELECTRICAL PTY LTD |
Vehicle parts & plant maintenance- Workshop |
$921.05 |
AMFS |
|
EFT39178 |
24/01/2017 |
FIRE & SAFETY SERVICES |
Fire equipment & testing- Various Shire sites |
$3,666.76 |
AMFS |
|
EFT39179 |
24/01/2017 |
FOOTPRINT CLEANING |
Cleaning services- Waste Management Facility & KRO |
$7,865.00 |
AMFS |
|
EFT39180 |
24/01/2017 |
HEAD OFFICE LANDGATE |
Survey copies, GRV valuations & Certificates of Titles- Rates |
$2,495.64 |
AMFS |
|
EFT39181 |
24/01/2017 |
HIT PRODUCTIONS PTY LTD |
Kazoos Christmas Show royalties- Civic Centre |
$223.83 |
AMFS |
|
EFT39182 |
24/01/2017 |
INGE TADROS |
Books- Library |
$110.00 |
AMFS |
|
EFT39183 |
24/01/2017 |
INLAND STUDIO |
Graphic design & logo conversion- Media |
$385.00 |
AMFS |
|
EFT39184 |
24/01/2017 |
IT VISION |
Rates services contract- December 2016 |
$336.88 |
AMFS |
|
EFT39185 |
24/01/2017 |
JAMES BENNETT PTY LIMITED |
Books- Library |
$280.27 |
AMFS |
|
EFT39186 |
24/01/2017 |
ALAN JOHN JENKINS |
Verge Bond refund |
$500.00 |
AMFS |
|
EFT39187 |
24/01/2017 |
KIMBERLEY ENVIRONMENTAL HORTICULTURE |
Bond refund- Indigenous trees |
$60.00 |
AMFS |
|
EFT39188 |
24/01/2017 |
AVANTGARDE TECHNOLOGIES |
Professional services for IT staffing- IT |
$9,625.00 |
AMFS |
|
EFT39189 |
24/01/2017 |
CHRISSY LEE CARTER |
Books- Library |
$60.00 |
AMFS |
|
EFT39190 |
24/01/2017 |
KGT Employment |
Apprentice wages- Workshop |
$1,782.23 |
AMFS |
|
EFT39191 |
24/01/2017 |
KIMBERLEY BROOME PEST CONTROL |
Ant treatment- Various Shire sites |
$525.00 |
AMFS |
|
EFT39192 |
24/01/2017 |
KIMBERLEY CAMPING & OUTBACK SUPPLIES |
Staff uniform- Depot |
$3,204.15 |
AMFS |
|
EFT39193 |
24/01/2017 |
KIMBERLEY DISTRIBUTORS |
Kiosk supplies & consumables- BRAC |
$558.83 |
AMFS |
|
EFT39194 |
24/01/2017 |
KIMBERLEY GOLD PURE DRINKING WATER |
Drinking water- Various Shire sites |
$209.00 |
AMFS |
|
EFT39195 |
24/01/2017 |
KIMBERLEY KERBS |
Kerbing works- Stewart St upgrade |
$33,928.68 |
AMFS |
|
EFT39196 |
24/01/2017 |
KIMBERLEY WASHROOM SERVICES |
Sanitary Disposal service- Various Shire sites |
$840.00 |
AMFS |
|
EFT39197 |
24/01/2017 |
KOMATSU AUSTRALIA PTY LTD |
Cartridge- Waste Management Facility |
$96.43 |
AMFS |
|
EFT39198 |
24/01/2017 |
LEICA MICROSYSTEMS PTY LTD |
Stereomicroscope & case- Health |
$3,495.91 |
AMFS |
|
EFT39199 |
24/01/2017 |
LHM FABRICATION & FENCING |
Mesh panels for box trailer- Works |
$528.00 |
AMFS |
|
EFT39200 |
24/01/2017 |
MARKETFORCE |
Advertising- Various Shire sites |
$1,115.88 |
AMFS |
|
EFT39201 |
24/01/2017 |
MCCORRY BROWN EARTHMOVING PTY LTD |
Mulching (RFQ 15-45), pindan, plant & labour- Waste Management Facility & Works |
$51,706.78 |
AMFS |
|
EFT39202 |
24/01/2017 |
MCKENO BLOCKS & PAVERS |
Pavers- Works & rates refund due to overpayment for assessment A306429 |
$4,035.55 |
AMFS |
|
EFT39203 |
24/01/2017 |
MCMULLEN NOLAN GROUP PTY LTD (MNG) |
Design services (RFQ16-94) & surveying(RFQ16-61)- Various Shire sites |
$22,996.88 |
AMFS |
|
EFT39204 |
24/01/2017 |
NEVERFAIL SPRINGWATER LIMITED |
Drinking water- Depot |
$94.25 |
AMFS |
|
EFT39205 |
24/01/2017 |
NORTH WEST COAST SECURITY |
Security services- Various Shire sites |
$15,658.52 |
AMFS |
|
EFT39206 |
24/01/2017 |
NORTHWEST HYDRO SOLUTIONS |
Filters, reticulation & drainage materials- Various Shire sites |
$1,951.72 |
AMFS |
|
EFT39207 |
24/01/2017 |
OCLC (UK) LTD |
Cataloguing training- Library |
$220.00 |
AMFS |
|
EFT39208 |
24/01/2017 |
OFFICE NATIONAL BROOME |
Stationery & copier charges- Various Shire sites |
$1,053.29 |
AMFS |
|
EFT39209 |
24/01/2017 |
OFFICE STAR PTY LTD |
Toner cartridge- IT |
$332.20 |
AMFS |
|
EFT39210 |
24/01/2017 |
OFFICEMAX AUSTRALIA LTD |
Stationery & kitchen items- Admin Office |
$576.85 |
AMFS |
|
EFT39211 |
24/01/2017 |
OHURA CONSULTING |
Recruitment expenses- HR |
$88.00 |
AMFS |
|
EFT39212 |
25/01/2017 |
SHIRE OF BROOME |
Bond refund- Civic Centre |
$100.00 |
AMFS |
|
EFT39213 |
25/01/2017 |
STATE SCHOOL TEACHERS UNION OF WA |
Bond refund- Civic Centre |
$525.00 |
AMFS |
|
EFT39214 |
27/01/2017 |
BROOME FIRST NATIONAL REAL ESTATE |
Staff rent |
$2,084.51 |
AMFS |
|
EFT39215 |
27/01/2017 |
COLIN WILKINSON DEVELOPMENTS PTY LTD |
BRAC aquatic upgrade (RFT 16/9)- Progress payment |
$564,293.20 |
AMFS |
|
EFT39216 |
27/01/2017 |
HERBERT SMITH FREEHILLS |
Legal expenses- KRO lease |
$1,038.48 |
AMFS |
|
EFT39217 |
27/01/2017 |
HORIZON POWER |
Electricity charges |
$13,698.93 |
AMFS |
|
EFT39218 |
27/01/2017 |
JULIE THOMAS |
Town rubbish bag collection |
$135.00 |
AMFS |
|
EFT39219 |
27/01/2017 |
MCCORRY BROWN EARTHMOVING PTY LTD |
Plant & labour December 2016- Stewart St upgrade project |
$80,599.70 |
AMFS |
|
EFT39220 |
27/01/2017 |
PRITCHARD FRANCIS PTY LTD |
Design and Tender Support Hamersley Napier intersection(RFQ 16-85)- Infrastructure |
$16,068.25 |
AMFS |
|
EFT39221 |
27/01/2017 |
QUANTUM LIBRARY |
Book press- Library |
$374.80 |
AMFS |
|
EFT39222 |
27/01/2017 |
QUIC DIG PTY LTD |
Pothole repairs & NBN pit risers- Infrastructure |
$4,499.00 |
AMFS |
|
EFT39223 |
27/01/2017 |
RACHEL BURNS |
Tournament Night Manager- Midnight Basketball |
$720.00 |
AMFS |
|
EFT39224 |
27/01/2017 |
RAY WHITE BROOME |
Staff rent & bond |
$3,463.27 |
AMFS |
|
EFT39225 |
27/01/2017 |
REDWAVE MEDIA PTY LTD |
Radio Advertising- Media |
$1,298.00 |
AMFS |
|
EFT39226 |
27/01/2017 |
REEN AUTO ELECTRICS |
Remove & refit GPS units- Workshop |
$594.00 |
AMFS |
|
EFT39227 |
27/01/2017 |
REGAL TRANSPORT |
Freight- Workshop |
$169.49 |
AMFS |
|
EFT39228 |
27/01/2017 |
ROADLINE CIVIL CONTRACTORS |
Sub grade investigations- Hamersley Napier Black Spot Project |
$1,540.00 |
AMFS |
|
EFT39229 |
27/01/2017 |
STAPLES AUSTRALIA PTY LTD |
Drafting chair- Building |
$454.33 |
AMFS |
|
EFT39230 |
27/01/2017 |
SURFMET PTY LTD T/A KIMBERLEY SOILS LABORATORY |
Hamersley & Napier Tce CBR testing- Infrastructure |
$478.50 |
AMFS |
|
EFT39231 |
27/01/2017 |
T - QUIP |
Replacement mower blades- Depot |
$211.70 |
AMFS |
|
EFT39232 |
27/01/2017 |
TERRITORY RURAL BROOME |
Consumables- Depot |
$101.19 |
AMFS |
|
EFT39233 |
27/01/2017 |
TNT AUSTRALIA PTY LTD T/AS TNT EXPRESS |
Freight- Health |
$245.82 |
AMFS |
|
EFT39234 |
27/01/2017 |
TOXFREE |
Waste services (RFT 14/01)- Various Shire sites |
$99,838.08 |
AMFS |
|
EFT39235 |
27/01/2017 |
TY DAVID MATSON (Expenses) |
Reimbursement of expenses- HR |
$2,228.00 |
AMFS |
|
EFT39236 |
27/01/2017 |
ISUBSCRIBE |
Refund unclaimed funds |
$84.95 |
AMFS |
|
EFT39237 |
31/01/2017 |
TANIA MESCH |
Refund unclaimed funds |
$100.00 |
AMFS |
|
EFT39238 |
31/01/2017 |
BROOME VETERINARY HOSPITAL |
Provision of boarding, veterinary & euthanasia costs December 2016 |
$3,329.50 |
AMFS |
|
EFT39239 |
31/01/2017 |
CENTRAL REGIONAL TAFE |
Firearms training for Rangers- HR |
$5,571.00 |
AMFS |
|
EFT39240 |
31/01/2017 |
GO SUSHI - KICK JUICE |
Catering November YAC meeting- Community Development |
$52.00 |
AMFS |
|
EFT39241 |
31/01/2017 |
NORTH WEST STRATA SERVICES |
Levies Staff housing |
$453.00 |
AMFS |
|
EFT39242 |
31/01/2017 |
TELSTRA |
Phone charges |
$736.43 |
AMFS |
|
EFT39243 |
31/01/2017 |
UDLA |
Weed Eradication Program- P&G |
$2,161.50 |
AMFS |
|
EFT39244 |
31/01/2017 |
DEPARTMENT OF COMMERCE - BUILDING COMMISSION - INC BCITF |
BRB levy- January 2017 |
$1,203.05 |
AMFS |
|
EFT39245 |
31/01/2017 |
SHIRE OF BROOME |
BRB commission- January 2017 |
$60.00 |
AMFS |
|
EFT39246 |
31/01/2017 |
SHIRE OF BROOME |
BCITF commission - January 2017 |
$24.75 |
AMFS |
|
MUNICIPAL ELECTRONIC FUNDS TRANSFER TOTAL: |
$2,921,930.33 |
||||
|
MUNICIPAL CHEQUES - JANUARY 2017 |
|||||
|
Cheque |
Date |
Name |
Description |
Amount |
Del Auth |
|
57443 |
16/01/2017 |
SHIRE OF BROOME |
Depot petty cash (13.10.16- 09.12.16) |
$53.25 |
AMFS |
|
57444 |
16/01/2017 |
PAULA ANN MARTIN |
Sterilisation subsidy refund- Rangers |
$37.12 |
AMFS |
|
MUNICIPAL CHEQUES TOTAL: |
$90.37 |
||||
|
TRUST CHEQUES - JANUARY 2017 |
|||||
|
EFT |
Date |
Name |
Description |
Amount |
Del Auth |
|
3429 |
11/01/2017 |
BUILDING & CONSTRUCTION INDUSTRY TRAINING FUND |
BCITF levy- December 2016 |
$1,136.11 |
AMFS |
|
3430 |
31/01/2017 |
BUILDING & CONSTRUCTION INDUSTRY TRAINING FUND |
BCITF levy- January 2017 |
$799.25 |
AMFS |
|
TRUST CHEQUES TOTAL: |
$1,935.36 |
|
|||
|
MUNICIPAL DIRECT DEBIT/CREDIT CARD PAYMENTS - JANUARY 2017 |
|||||
|
DD# |
Date |
Name |
Description |
Amount |
Del Auth |
|
DD21899.1 |
03/01/2017 |
SUPERANNUATION |
Superannuation contributions |
$61,458.19 |
AMFS |
|
DD21899.2 |
03/01/2017 |
SUPERANNUATION |
Superannuation contributions |
$606.13 |
AMFS |
|
DD21899.3 |
03/01/2017 |
SUPERANNUATION |
Superannuation contributions |
$285.18 |
AMFS |
|
DD21899.4 |
03/01/2017 |
SUPERANNUATION |
Superannuation contributions |
$437.84 |
AMFS |
|
DD21899.5 |
03/01/2017 |
SUPERANNUATION |
Superannuation contributions |
$1,338.85 |
AMFS |
|
DD21899.6 |
03/01/2017 |
SUPERANNUATION |
Superannuation contributions |
$1,437.58 |
AMFS |
|
DD21899.7 |
03/01/2017 |
SUPERANNUATION |
Superannuation contributions |
$202.84 |
AMFS |
|
DD21899.8 |
03/01/2017 |
SUPERANNUATION |
Superannuation contributions |
$606.39 |
AMFS |
|
DD21899.9 |
03/01/2017 |
SUPERANNUATION |
Superannuation contributions |
$292.95 |
AMFS |
|
DD21914.1 |
01/01/2017 |
TOYOTA FINANCIAL SERVICES AUSTRALIA |
Hyundai Accent Vehicle Lease (RFQ16-90)- Chinatown Redevelopment |
$793.90 |
AMFS |
|
DD21984.1 |
16/01/2017 |
TOYOTA FINANCIAL SERVICES AUSTRALIA |
Vehicle lease (RFQ16-90)- Chinatown Redevelopment |
$454.19 |
AMFS |
|
DD21986.1 |
23/01/2017 |
WESTERN AUSTRALIAN TREASURY CORPORATION |
WATC Government Guarantee Fee accrued 1.07.16- 31.12.16 |
$12,961.58 |
AMFS |
|
DD22016.1 |
31/01/2017 |
QANTAS AIRWAYS LTD |
Flights- Councillors, Trainer, HR interviewee & Shire staff |
$5,011.69 |
AMFS |
|
DD22016.2 |
31/01/2017 |
|
Facebook advertising- Civic Centre |
$199.90 |
AMFS |
|
DD22016.3 |
31/01/2017 |
VIRGIN AUSTRALIA |
Flights- Shire staff |
$298.84 |
AMFS |
|
DD22016.4 |
31/01/2017 |
OAKS HOTELS & RESORTS - BROOME |
Accommodation interviewee- HR |
$202.00 |
AMFS |
|
DD22016.5 |
31/01/2017 |
DEPARTMENT OF RACING, GAMING & LIQUOR |
Liquor license- BRAC |
$584.00 |
AMFS |
|
DD22016.6 |
31/01/2017 |
SKIPPERS AVIATION PTY LTD |
Flights- Shire staff |
$506.14 |
AMFS |
|
DD22016.7 |
31/01/2017 |
LANDSCOPE |
Landscope magazine subscription- Library |
$30.00 |
AMFS |
|
DD22016.8 |
31/01/2017 |
SONIC HEALTHPLUS PTY LTD |
Recruitment expenses- HR |
$220.00 |
AMFS |
|
DD22016.9 |
31/01/2017 |
HEAD OFFICE HERTZ AUSTRALIA PTY LTD |
Car Hire Shire Staff- Office of the CEO |
$58.80 |
AMFS |
|
DD22039.1 |
31/01/2017 |
SUPERANNUATION |
Superannuation contributions |
$61,466.67 |
AMFS |
|
DD22039.2 |
31/01/2017 |
SUPERANNUATION |
Superannuation contributions |
$37.45 |
AMFS |
|
DD22039.3 |
31/01/2017 |
SUPERANNUATION |
Superannuation contributions |
$606.13 |
AMFS |
|
DD22039.4 |
31/01/2017 |
SUPERANNUATION |
Superannuation contributions |
$298.57 |
AMFS |
|
DD22039.5 |
31/01/2017 |
SUPERANNUATION |
Superannuation contributions |
$501.14 |
AMFS |
|
DD22039.6 |
31/01/2017 |
SUPERANNUATION |
Superannuation contributions |
$1,392.85 |
AMFS |
|
DD22039.7 |
31/01/2017 |
SUPERANNUATION |
Superannuation contributions |
$1,349.96 |
AMFS |
|
DD22039.8 |
31/01/2017 |
SUPERANNUATION |
Superannuation contributions |
$235.29 |
AMFS |
|
DD22039.9 |
31/01/2017 |
SUPERANNUATION |
Superannuation contributions |
$308.07 |
AMFS |
|
DD21899.10 |
03/01/2017 |
SUPERANNUATION |
Superannuation contributions |
$615.72 |
AMFS |
|
DD21899.11 |
03/01/2017 |
SUPERANNUATION |
Superannuation contributions |
$359.19 |
AMFS |
|
DD21899.12 |
03/01/2017 |
SUPERANNUATION |
Superannuation contributions |
$448.20 |
AMFS |
|
DD21899.13 |
03/01/2017 |
SUPERANNUATION |
Superannuation contributions |
$559.29 |
AMFS |
|
DD21899.14 |
03/01/2017 |
SUPERANNUATION |
Superannuation contributions |
$479.98 |
AMFS |
|
DD21899.15 |
03/01/2017 |
SUPERANNUATION |
Superannuation contributions |
$394.62 |
AMFS |
|
DD21899.16 |
03/01/2017 |
SUPERANNUATION |
Superannuation contributions |
$101.44 |
AMFS |
|
DD21899.17 |
03/01/2017 |
SUPERANNUATION |
Superannuation contributions |
$286.52 |
AMFS |
|
DD21899.18 |
03/01/2017 |
SUPERANNUATION |
Superannuation contributions |
$1,239.76 |
AMFS |
|
DD21899.19 |
03/01/2017 |
SUPERANNUATION |
Superannuation contributions |
$671.20 |
AMFS |
|
DD21899.20 |
03/01/2017 |
SUPERANNUATION |
Superannuation contributions |
$595.39 |
AMFS |
|
DD21899.21 |
03/01/2017 |
SUPERANNUATION |
Superannuation contributions |
$835.08 |
AMFS |
|
DD21899.22 |
03/01/2017 |
SUPERANNUATION |
Superannuation contributions |
$936.48 |
AMFS |
|
DD21899.23 |
03/01/2017 |
SUPERANNUATION |
Superannuation contributions |
$95.90 |
AMFS |
|
DD21899.24 |
03/01/2017 |
SUPERANNUATION |
Superannuation contributions |
$273.20 |
AMFS |
|
DD22039.10 |
31/01/2017 |
SUPERANNUATION |
Superannuation contributions |
$292.95 |
AMFS |
|
DD22039.11 |
31/01/2017 |
SUPERANNUATION |
Superannuation contributions |
$879.60 |
AMFS |
|
DD22039.12 |
31/01/2017 |
SUPERANNUATION |
Superannuation contributions |
$446.86 |
AMFS |
|
DD22039.13 |
31/01/2017 |
SUPERANNUATION |
Superannuation contributions |
$409.95 |
AMFS |
|
DD22039.14 |
31/01/2017 |
SUPERANNUATION |
Superannuation contributions |
$559.29 |
AMFS |
|
DD22039.15 |
31/01/2017 |
SUPERANNUATION |
Superannuation contributions |
$337.76 |
AMFS |
|
DD22039.16 |
31/01/2017 |
SUPERANNUATION |
Superannuation contributions |
$394.62 |
AMFS |
|
DD22039.17 |
31/01/2017 |
SUPERANNUATION |
Superannuation contributions |
$294.23 |
AMFS |
|
DD22039.18 |
31/01/2017 |
SUPERANNUATION |
Superannuation contributions |
$2,120.67 |
AMFS |
|
DD22039.19 |
31/01/2017 |
SUPERANNUATION |
Superannuation contributions |
$671.20 |
AMFS |
|
DD22039.20 |
31/01/2017 |
SUPERANNUATION |
Superannuation contributions |
$592.66 |
AMFS |
|
DD22039.21 |
31/01/2017 |
SUPERANNUATION |
Superannuation contributions |
$785.35 |
AMFS |
|
DD22039.22 |
31/01/2017 |
SUPERANNUATION |
Superannuation contributions |
$946.59 |
AMFS |
|
DD22039.23 |
31/01/2017 |
SUPERANNUATION |
Superannuation contributions |
$188.62 |
AMFS |
|
DD22039.24 |
31/01/2017 |
SUPERANNUATION |
Superannuation contributions |
$273.20 |
AMFS |
|
MUNICIPAL DIRECT DEBIT TOTAL: |
$171,268.64 |
||||
|
MUNICIPAL ELECTRONIC TRANSFER TOTAL |
$2,921,930.33 |
||||
|
MUNICIPAL CHEQUES TOTAL |
$90.37 |
||||
|
TRUST CHEQUE TOTAL |
$1,935.36 |
||||
|
MUNICIPAL DIRECT DEBIT/ CREDIT CARD TOTAL |
$171,268.64 |
||||
|
TOTAL PAYMENTS - JANUARY 2017 |
$3,095,224.70 |
||||
|
Key for Delegation of Authority: |
|||||
|
CEO |
Chief Executive Officer |
||||
|
MFS |
Manager Financial Services |
||||
|
AMFS |
Acting Manager Financial Services |
||||
|
DCS |
Director Corporate Services |
||||
|
9.4.3 MONTHLY STATEMENT OF FINANCIAL ACTIVITY REPORT DECEMBER 2016 LOCATION/ADDRESS: Nil APPLICANT: Nil FILE: FRE02 AUTHOR: Senior Finance Officer CONTRIBUTOR/S: Acting Manager Financial Services RESPONSIBLE OFFICER: Director Corporate Services DISCLOSURE OF INTEREST: Nil DATE OF REPORT: 30 January 2017 |
|
SUMMARY: Council is required by legislation to consider and adopt the Monthly Statement of Financial Activity Report for the period ended 31 December 2016, as required by Regulation 34(1) of the Local Government (Financial Management) Regulations 1996 (FMR). Council is further provided with a General Fund Summary of Financial Activity (Schedules 2 to 14) which provides comprehensive information on Council’s operations by Function and Activity. |
BACKGROUND
Previous Considerations
Council is provided with the Monthly Financial Activity Report which has been developed in line with statutory reporting standards and provides Council with a holistic overview of the financial operations of the Shire of Broome.
Supplementary information bas been provided in the form of Notes to the Monthly Report and a General Fund Summary of Financial Activity, which discloses Council’s Revenue and Expenditure in summary form, by Programme (Function and Activity).
Disclosure and supply of appropriate explanations for variances presented in the Statement of Financial Activity, is mandatory under FMR 34(2)(b) as stated in Policy 2.1.1 Materiality in Financial Reporting.
FMR 34(5) requires a local government to adopt a percentage or value, calculated in accordance with the Australian Accounting Standards (AAS) and Council’s adopted risk management matrix thresholds, to be used in statements of financial activity for reporting material variances.
COMMENT
The 2016/2017 Annual Budget was adopted at the Ordinary Meeting of Council on 30 June 2016.
The following are key indicators supporting the year to-date budget position with respect to the Annual Forecast Budget:
Budget Year elapsed 50.41%
Total Rates Raised Revenue 100% (of which 75.85% has been paid)
Total Other Operating Revenue 62%
Total Operating Expenditure 57%
Total Capital Revenue 44%
Total Capital Expenditure 24%
Total Sale of Assets Revenue 48%
More detailed explanations of variances are contained in Note 2 of the Monthly Statement of Financial Activity. The commentary identifies significant variations between the expected year-to-date budget position and the position at the reporting date.
Based on the 2016/2017 Annual Budget presented at the Ordinary Meeting of Council on 30 June 2016, Council adopted a balanced budget to 30 June 2017.
Budget amendments have occurred since the adoption of the budget, which include the adoption of the Annual Financial Statements and the recommendations for the use of identified surplus funds. These recommendations were adopted by Council on 27 October 2016 The results of the first quarter finance and costing review (FACR) was adopted by Council on 24 November 2016 resulting in a surplus forecast financial position to 30 June 2017 of $18,271.
CONSULTATION
Nil
STATUTORY ENVIRONMENT
Local Government (Financial Management) Regulations 1996
34. Financial activity statement report — s. 6.4
(1A) In this regulation —
“committed assets” means revenue unspent but set aside under the annual budget for a specific purpose.
(1) A local government is to prepare each month a statement of financial activity reporting on the sources and applications of funds, as set out in the annual budget under regulation 22(1)(d), for that month in the following detail —
(a) annual budget estimates, taking into account any expenditure incurred for an additional purpose under section 6.8(1)(b) or (c);
(b) budget estimates to the end of the month to which the statement relates;
(c) actual amounts of expenditure, revenue and income to the end of the month to which the statement relates;
(d) material variances between the comparable amounts referred to in paragraphs (b) and (c); and
(e) the net current assets at the end of the month to which the statement relates
(2) Each statement of financial activity is to be accompanied by documents containing —
(a) an explanation of the composition of the net current assets of the month to which the statement relates, less committed assets and restricted assets;
(b) an explanation of each of the material variances referred to in subregulation (1)(d); and
(c) such other supporting information as is considered relevant by the local government.
(3) The information in a statement of financial activity may be shown —
(a) according to nature and type classification;
(b) by program; or
(c) by business unit.
(4) A statement of financial activity, and the accompanying documents referred toin subregulation (2), are to be —
(a) presented at an ordinary meeting of the council within 2 months after the end of the month to which the statement relates; and
(b) recorded in the minutes of the meeting at which it is presented.
(5) Each financial year, a local government is to adopt a percentage or value, calculated in accordance with the AAS, to be used in statements of financial activity for reporting material variances.
Local Government Act 1995
6.8. Expenditure from municipal fund not included in annual budget
(1) A local government is not to incur expenditure from its municipal fund for an additional purpose except where the expenditure —
(a) is incurred in a financial year before the adoption of the annual budget by the local government;
(b) is authorised in advance by resolution*; or
(c) is authorised in advance by the mayor or president in an emergency.
* Absolute majority required.
(1a) In subsection (1) —
“additional purpose” means a purpose for which no expenditure estimate is included in the local government’s annual budget.
(2) Where expenditure has been incurred by a local government —
(a) pursuant to subsection (1)(a), it is to be included in the annual budget for that financial year; and
(b) pursuant to subsection (1)(c), it is to be reported to the next ordinary meeting of the council.
POLICY IMPLICATIONS
2.1.1 Materiality in Financial Reporting
FINANCIAL IMPLICATIONS
The adoption of the Monthly Financial Report is retrospective. Accordingly, the financial implications associated with adopting the Monthly Report are Nil.
RISK
The Financial Activity report is presented monthly and provides a retrospective picture of the activities at the Shire. Contained within the report is information pertaining to the financial cost and delivery of strategic initiatives and key projects.
In order to mitigate the risk of budget over-runs or non-delivery of projects, the Chief Executive Officer has implemented internal control measures such as regular Council and management reporting and the Quarterly Finance and Costing Reviews to monitor financial performance against budget estimates. Materiality reporting thresholds have been established at half the adopted Council levels, which equate to $5,000 for operating budget line items and $10,000 for capital items, to alert management prior to there being irreversible impacts.
It should also be noted that there is an inherent level of risk of misrepresentation of the financials through either human error or potential fraud. The establishment of control measures through a series of efficient systems, policies and procedures, which fall under the responsibility of the CEO as laid out in the Local Government (Financial Management Regulations) 1996 regulation 5, seek to mitigate the possibility of this occurring. These controls are set in place to provide daily, weekly and monthly checks to ensure that the integrity of the data provided is reasonably assured.
STRATEGIC IMPLICATIONS
Our Prosperity Goal – Create the means to enable local jobs creation and lifestyle affordability for the current and future population:
Affordable and equitable services and infrastructure
Affordable land for residential, industrial, commercial and community use
Key economic development strategies for the Shire which are aligned to regional outcomes working through recognised planning and development groups/committees
Our Organisation Goal – Continually enhance the Shire’s organisational capacity to service the needs of a growing community:
An organisational culture that strives for service excellence
Sustainable and integrated strategic and operational plans
Responsible resource allocation
Effective community engagement
Improved systems, processes and compliance
VOTING REQUIREMENTS
Simple Majority
|
That Council: 1. Adopts the Monthly Financial Activity Report for the period ended 31 December 2016; and 2. Receives the General Fund Summary of Financial Activity (Schedules 2-14) for the period ended 31 December 2016. |
|
2016-17 Financial Activity Report - December |
|
|
Schedule 2 |
|
|
Schedule 3 - 14 |
|
9.4.4 MONTHLY STATEMENT OF FINANCIAL ACTIVITY REPORT JANUARY 2017 LOCATION/ADDRESS: Nil APPLICANT: Nil FILE: FRE02 AUTHOR: Senior Finance Officer CONTRIBUTOR/S: Acting Manager Financial Services RESPONSIBLE OFFICER: Director Corporate Services DISCLOSURE OF INTEREST: Nil DATE OF REPORT: 6 February 2017 |
|
SUMMARY: Council is required by legislation to consider and adopt the Monthly Statement of Financial Activity Report for the period ended 31 January 2017, as required by Regulation 34(1) of the Local Government (Financial Management) Regulations 1996 (FMR). Council is further provided with a General Fund Summary of Financial Activity (Schedules 2 to 14) which provides comprehensive information on Council’s operations by Function and Activity. |
BACKGROUND
Previous Considerations
Council is provided with the Monthly Financial Activity Report which has been developed in line with statutory reporting standards and provides Council with a holistic overview of the operations of the Shire of Broome.
Supplementary information bas been provided in the form of Notes to the Monthly Report and a General Fund Summary of Financial Activity, which discloses Council’s Revenue and Expenditure in summary form, by Programme (Function and Activity).
Disclosure and supply of appropriate explanations for variances presented in the Statement of Financial Activity, is mandatory under FMR 34(2)(b) as stated in Policy 2.1.1 Materiality in Financial Reporting.
FMR 34(5) requires a local government to adopt a percentage or value, calculated in accordance with the Australian Accounting Standards (AAS) and Council’s adopted risk management matrix thresholds, to be used in statements of financial activity for reporting material variances.
COMMENT
The 2016/2017 Annual Budget was adopted at the Ordinary Meeting of Council on 30 June 2016.
The following are key indicators supporting the year to-date budget position with respect to the Annual Forecast Budget:
Budget Year elapsed 58.9%
Total Rates Raised Revenue 100% (of which 85.23% has been paid)
Total Other Operating Revenue 69%
Total Operating Expenditure 64%
Total Capital Revenue 44%
Total Capital Expenditure 27%
Total Sale of Assets Revenue 69%
More detailed explanations of variances are contained in Note 2 of the Monthly Statement of Financial Activity. The commentary identifies significant variations between the expected year-to-date budget position and the position at the reporting date.
Based on the 2016/2017 Annual Budget presented at the Ordinary Meeting of Council on 30 June 2016, Council adopted a balanced budget to 30 June 2017.
Budget amendments have occurred since the adoption of the budget, which include the adoption of the Annual Financial Statements and the recommendations for the use of identified surplus funds. These recommendations were adopted by Council on 27 October 2016 The results of the first quarter finance and costing review (FACR) was adopted by Council on 24 November 2016 resulting in a surplus forecast financial position to 30 June 2017 of $18,271.
CONSULTATION
Nil
STATUTORY ENVIRONMENT
Local Government (Financial Management) Regulations 1996
34. Financial activity statement report — s. 6.4
(1A) In this regulation —
“committed assets” means revenue unspent but set aside under the annual budget for a specific purpose.
(1) A local government is to prepare each month a statement of financial activity reporting on the sources and applications of funds, as set out in the annual budget under regulation 22(1)(d), for that month in the following detail —
(a) annual budget estimates, taking into account any expenditure incurred for an additional purpose under section 6.8(1)(b) or (c);
(b) budget estimates to the end of the month to which the statement relates;
(c) actual amounts of expenditure, revenue and income to the end of the month to which the statement relates;
(d) material variances between the comparable amounts referred to in paragraphs (b) and (c); and
(e) the net current assets at the end of the month to which the statement relates
(2) Each statement of financial activity is to be accompanied by documents containing —
(a) an explanation of the composition of the net current assets of the month to which the statement relates, less committed assets and restricted assets;
(b) an explanation of each of the material variances referred to in subregulation (1)(d); and
(c) such other supporting information as is considered relevant by the local government.
(3) The information in a statement of financial activity may be shown —
(a) according to nature and type classification;
(b) by program; or
(c) by business unit.
(4) A statement of financial activity, and the accompanying documents referred toin subregulation (2), are to be —
(a) presented at an ordinary meeting of the council within 2 months after the end of the month to which the statement relates; and
(b) recorded in the minutes of the meeting at which it is presented.
(5) Each financial year, a local government is to adopt a percentage or value, calculated in accordance with the AAS, to be used in statements of financial activity for reporting material variances.
Local Government Act 1995
6.8. Expenditure from municipal fund not included in annual budget
(1) A local government is not to incur expenditure from its municipal fund for an additional purpose except where the expenditure —
(a) is incurred in a financial year before the adoption of the annual budget by the local government;
(b) is authorised in advance by resolution*; or
(c) is authorised in advance by the mayor or president in an emergency.
* Absolute majority required.
(1a) In subsection (1) —
“additional purpose” means a purpose for which no expenditure estimate is included in the local government’s annual budget.
(2) Where expenditure has been incurred by a local government —
(a) pursuant to subsection (1)(a), it is to be included in the annual budget for that financial year; and
(b) pursuant to subsection (1)(c), it is to be reported to the next ordinary meeting of the council.
POLICY IMPLICATIONS
2.1.1 Materiality in Financial Reporting
FINANCIAL IMPLICATIONS
The adoption of the Monthly Financial Report is retrospective. Accordingly, the financial implications associated with adopting the Monthly Report are Nil.
RISK
The Financial Activity report is presented monthly and provides a retrospective picture of the activities at the Shire. Contained within the report is information pertaining to the financial cost and delivery of strategic initiatives and key projects.
In order to mitigate the risk of budget over-runs or non-delivery of projects, the Chief Executive Officer has implemented internal control measures such as regular Council and management reporting and the Quarterly Finance and Costing Reviews to monitor financial performance against budget estimates. Materiality reporting thresholds have been established at half the adopted Council levels, which equate to $5,000 for operating budget line items and $10,000 for capital items, to alert management prior to there being irreversible impacts.
It should also be noted that there is an inherent level of risk of misrepresentation of the financials through either human error or potential fraud. The establishment of control measures through a series of efficient systems, policies and procedures, which fall under the responsibility of the CEO as laid out in the Local Government (Financial Management Regulations) 1996 regulation 5, seek to mitigate the possibility of this occurring. These controls are set in place to provide daily, weekly and monthly checks to ensure that the integrity of the data provided is reasonably assured.
STRATEGIC IMPLICATIONS
Our Prosperity Goal – Create the means to enable local jobs creation and lifestyle affordability for the current and future population:
Affordable and equitable services and infrastructure
Affordable land for residential, industrial, commercial and community use
Key economic development strategies for the Shire which are aligned to regional outcomes working through recognised planning and development groups/committees
Our Organisation Goal – Continually enhance the Shire’s organisational capacity to service the needs of a growing community:
An organisational culture that strives for service excellence
Sustainable and integrated strategic and operational plans
Responsible resource allocation
Effective community engagement
Improved systems, processes and compliance
VOTING REQUIREMENTS
Simple Majority
|
That Council: 1. Adopts the Monthly Financial Activity Report for the period ended 31 January 2017; and 2. Receives the General Fund Summary of Financial Activity (Schedules 2-14) for the period ended 31 January 2017. |
|
2016-17 Financial Activity Report - January |
|
|
Schedule 2 |
|
|
Schedule 3 - 14 |
|
9.4.5 ANNUAL ELECTORS MEETING HELD 15 DECEMBER 2016 LOCATION/ADDRESS: Nil APPLICANT: Nil FILE: AME02 AUTHOR: Manager Governance CONTRIBUTOR/S: Nil RESPONSIBLE OFFICER: Director Corporate Services DISCLOSURE OF INTEREST: Nil DATE OF REPORT: 4 January 2017 |
|
SUMMARY: The purpose of this report is to present to Council the Minutes of the Annual Electors Meeting held 15 December 2016. |
BACKGROUND
Previous Considerations
OMC 10 April 2008 Item 9.1.2
OMC 19 March 2009 Item 9.1.1
OMC 18 February 2010 Item 9.1.1
OMC 17 March 2011 Item 9.1.1
OMC 16 February 2012 Item 9.4.1
OMC 21 February 2013 Item 9.4.10
OMC 27 February 2014 Item 9.4.5
OMC 26 February 2015 Item 9.4.8
OMC 17 December 2015 Item 9.4.6
COMMENT
Pursuant to section 5.27 of the Local Government Act 1995, the Annual Electors Meeting was held on Thursday 15 December 2016 commencing at 4.00pm.
The Shire President’s Report and the Annual Report for the financial year 1 July 2015 to 30 June 2016 were received, and there were no further decisions made. A copy of the minutes form an attachment to this report.
CONSULTATION
The Annual Electors Meeting was advertised in the Broome Advertiser on the 10 November 2016, notices were placed on the Shire Administration Building and Library notice boards and on the Shire’s website.
STATUTORY ENVIRONMENT
Local Government Act 1995
5.27 Electors’ general meetings
(1) A general meeting of the electors of a district is to be held once every financial year.
(2) A general meeting is to be held on a day selected by the local government but not more than 56 days after the local government accepts the annual report for the previous financial year.
(3) The matters to be discussed at general electors’ meetings are to be those prescribed.
5.30. Who presides at electors’ meetings
(1) The mayor or president is to preside at electors’ meetings.
(2) If the circumstances mentioned in section 5.34(a) or (b) apply the deputy mayor or deputy president may preside at an electors’ meeting in accordance with that section.
(3) If the circumstances mentioned in section 5.34(a) or (b) apply and —
(a) the office of deputy mayor or deputy president is vacant; or
(b) the deputy mayor or deputy president is not available or is unable or unwilling to perform the functions of mayor or president,
then the electors present are to choose one of the councillors present to preside at the meeting but if there is no councillor present, able and willing to preside, then the electors present are to choose one of themselves to preside.
5.31. Procedure for electors’ meetings
The procedure to be followed at, and in respect of, electors’ meetings and the methods of voting at electors’ meetings are to be in accordance with regulations.
5.32. Minutes of electors’ meetings
The CEO is to —
(a) cause minutes of the proceedings at an electors’ meeting to be kept and preserved; and
(b) ensure that copies of the minutes are made available for inspection by members of the public before the council meeting at which decisions made at the electors’ meeting are first considered.
5.33. Decisions made at electors’ meetings
(1) All decisions made at an electors’ meeting are to be considered at the next ordinary council meeting or, if that is not practicable —
(a) at the first ordinary council meeting after that meeting; or
(b) at a special meeting called for that purpose,
whichever happens first.
(2) If at a meeting of the council a local government makes a decision in response to a decision made at an electors’ meeting, the reasons for the decision are to be recorded in the minutes of the council meeting.
5.34. When deputy mayors and deputy presidents can act
If —
(a) the office of mayor or president is vacant; or
(b) the mayor or president is not available or is unable or unwilling to perform the functions of the mayor or president,
then the deputy mayor may perform the functions of mayor and the deputy president may perform the functions of president, as the case requires.
Local Government Administration Regulations 1996
15. Matters to be discussed at general meeting (Act s. 5.27(3))
For the purposes of section 5.27(3), the matters to be discussed at a general electors’ meeting are, firstly, the contents of the annual report for the previous financial year and then any other general business.
17. Voting at meeting (Act s. 5.31)
(1) Each elector who is present at a general or special meeting of electors is entitled to one vote on each matter to be decided at the meeting but does not have to vote.
(2) All decisions at a general or special meeting of electors are to be made by a simple majority of votes.
(3) Voting at a general or special meeting of electors is to be conducted so that no voter’s vote is secret.
18. Procedure at meeting (Act s. 5.31)
Subject to regulations 15 and 17, the procedure to be followed at a general or special meeting of electors is to be determined by the person presiding at the meeting.
POLICY IMPLICATIONS
Nil
FINANCIAL IMPLICATIONS
Nil
RISK
Section 5.33 of the Local Government Act 1995 requires that all decisions made at an electors’ meeting are to be considered at the next ordinary council meeting or, if that is not practicable at the first ordinary council meeting after that meeting, or at a special meeting called for that purpose.
As the Annual Electors Meeting was held on the 15 December 2016 legislative compliance has been met.
STRATEGIC IMPLICATIONS
Our People Goal – Foster a community environment that is accessible, affordable, inclusive, healthy and safe:
Effective communication
Affordable services and initiatives to satisfy community need
Accessible and safe community spaces
Participation in recreational activity
A healthy and safe environment
High level social capital that increases community capacity
Our Place Goal – Help to protect the nature and built environment and cultural heritage of Broome whilst recognising the unique sense of the place:
Realistic and sustainable land use strategies for the Shire within state and national frameworks and in consultation with the community
A built environment that reflects arid tropical climate design principles and historical built form
A unique natural environment for the benefit and enjoyment of current and future generations
A preserved, unique and significant historical and cultural heritage of Broome
Retention and expansion of Broome’s iconic tourism assets and reputation
Best practice asset management to optimise Shires’ infrastructure whilst minimising life cycle costs.
Council is able to mobilise resources to deliver municipal services to Indigenous communities that are compliant, effective and within Council’s capacity.
Our Prosperity Goal – Create the means to enable local jobs creation and lifestyle affordability for the current and future population:
Affordable and equitable services and infrastructure
Affordable land for residential, industrial, commercial and community use
Key economic development strategies for the Shire which are aligned to regional outcomes working through recognised planning and development groups/committees
Our Organisation Goal – Continually enhance the Shire’s organisational capacity to service the needs of a growing community:
An organisational culture that strives for service excellence
Sustainable and integrated strategic and operational plans
Responsible resource allocation
Effective community engagement
Retention and attraction of staff
Improved systems, processes and compliance
VOTING REQUIREMENTS
Simple Majority
|
That Council notes that the Shire President’s Report and the Annual Report for the financial year ended 30 June 2016 were received, and that there were no further decisions made at the Annual Electors Meeting held 15 December 2016. |
|
Minutes - Annual Electors Meeting held 15 December 2016 |
|
9.4.6 REVIEW OF DELEGATIONS OF AUTHORITY LOCATION/ADDRESS: Nil APPLICANT: Nil FILE: ARE02 AUTHOR: Manager Governance CONTRIBUTOR/S: Nil RESPONSIBLE OFFICER: Director Corporate Services DISCLOSURE OF INTEREST: Nil DATE OF REPORT: 1 February 2017 |
|
SUMMARY: The purpose of this report is for Council to review and consider its delegations to the Chief Executive Officer, and to adopt the reviewed Delegations of Authority Register. It is also proposed to appoint the Chief Executive Officer as a Deputy in accordance with section 26 of the Health (Miscellaneous Provisions) Act 1911. |
BACKGROUND
Previous Considerations
OMC 21 December 2006 Item 9.1.3
OMC 24 July 2008 Item 9.1.5
OMC 17 December 2008 Item 9.1.7
OMC 19 March 2009 Item 9.1.2
OMC 18 March 2010 Item 9.1.1
OMC 17 March 2011 Item 9.1.2
OMC 15 March 2012 Item 9.4.4
OMC 20 June 2013 Item 9.4.4
OMC 27 March 2014 Item 9.4.4
OMC 18 December 2014 Item 9.4.2
OMC 31 March 2016 Item 9.4.4
Under section 5.42 of the Local Government Act 1995 (the Act), a Local Government may delegate to the Chief Executive Officer any of its powers or the discharge of any of its duties under the Local Government Act 1995, other than those prescribed under section 5.43 and any of its duties under the Planning and Development Act 2005 section 214(2)(3) or (5).
The purpose of delegating authority to the Chief Executive Officer is to provide for the efficient and orderly administration of the day to day functions of the Shire. The Chief Executive Officer exercises the delegated authority in accordance with the Instrument of Delegation Register and Council policies.
All delegations made by Council must be carried by an Absolute Majority and be in accordance with section 5.42 of the Act.
Section 5.18 and 5.46(2) of the Act requires that a Local Government keep a register of delegations of authority made under the Act and that these are reviewed at least once every financial year. Section 5.18 relates to Register of Delegations to Committees, and it is noted that the only Committee with delegated authority is the Chief Executive Officer Recruitment Advisory Committee. This delegation will cease once Council has appointed a preferred candidate.
The Delegation Register is a comprehensive document that also includes delegations made under legislation other than the Local Government Act 1995.
The Instrument of Delegation Register was last presented to Council for review on 31 March 2016.
COMMENT
The Chief Executive Officer,
Executive Management Group and responsible officers have reviewed the current
delegations. The Instrument of Delegation Register, with amendments marked,
forms an Attachment to this report. Additions or revisions are in red and any text to be deleted is struck through.
It should be noted that Section 5.44 of the Act allows for the Chief Executive Officer to sub-delegate to any employee of the Local Government the exercise of any of the Chief Executive Officer’s powers or the discharge of any of the Chief Executive Officer’s duties under the Act, other than the power of delegation. Sub delegations are included in the Shire of Broome Instrument of Delegation Register for consolidation purposes only and are not a matter for Council consideration.
Following is a summary of proposed amendments to the delegations:
Local Government Act 1995
· LGA1 Activities Requiring Approval
Minor amendments proposed to the Relevant Policies and Record requirements sections. These changes do not affect the intent of the delegation.
· LGA2 Administering the Local Government (Miscellaneous Provisions) Act 1960
Reviewed – no changes proposed.
· LGA3 Applications to Main Roads WA for the Installation of Regulation Signs
Reviewed – no changes proposed.
· LGA4 Appointment of Acting CEO
Reviewed – no changes proposed.
· LGA5 Approval of Signage within Active Reserves
Reviewed – no changes proposed.
· LGA6 Approval to use Council Property for Activities Involving the Sale, Supply and Consumption of Liquor
This delegation is proposed to be amended to incorporate events where the club supplies liquor out of funds, and does not charge for purchases. In addition it is proposed to amend the Conditions imposed as the changes to the Liquor Control Act 1988 removes the requirement for small events to have occasional liquor permits.
· LGA7 Approve Applications for Public Health Initiatives
Reviewed – no changes proposed.
· LGA8 Broome Recreation and Aquatic Centre – Trading hours, Extension of
Reviewed – no changes proposed.
· LGA9 Broome Street Number Markers
Reviewed – no changes proposed.
· LGA10 Building Permits, Refund of Building Permit Fees
Minor amendments proposed to the Power/Duty Delegated section to remove the reference to N/A. These changes do not affect the intent of the delegation.
· LGA11 Cape Leveque Road, Wet Season Closure and Load Limits
Reviewed – no changes proposed.
· LGA12 Council Chambers
Reviewed – no changes proposed.
· LGA13 Declaring a Vehicle to be an Abandoned Vehicle Wreck
Reviewed – no changes proposed.
· LGA14 Disposal and Acquisition of Assets (Other than Land)
Reviewed – no changes proposed.
· LGA15 Disposal of Impounded Vehicles and Goods
Reviewed – no changes proposed.
· LGA16 Disposing of Sick or Injured Impounded Animals
It is proposed to amend this delegation as requiring an animal to be impounded for 7 days may necessitate the keeping of an animal that is suffering. The Dog Act 1976 allows for sick or injured dogs to be euthanized with a veterinary opinion where possible. On occasion, this may be done without a vet where it is not practicable.
· LGA17 Execution of Documents – Authorisation without Common Seal
It is proposed to amend this delegation to authorise the Director Corporate Services, Director Development Services and Director Infrastructure to sign contracts or agreements for goods and services on behalf of the Shire of Broome to a maximum value of $150,000.
· LGA18 Insurance
Minor amendments proposed to the legislation referenced and Reporting requirements. These changes do not affect the intent of the delegation.
· LGA19 Investment of Surplus Funds
Minor amendments proposed to the Reporting requirements to reflect the current process where investments are disclosed within the Monthly Financial Activity Report. These changes do not affect the intent of the delegation.
· LGA20 Local Government (Uniform Local Provisions) Regulations 1996, Consent Permission or Approvals
Reviewed – no changes proposed.
· LGA21 Management Orders, Acceptance of
It is proposed to revoke this delegation as it is recommended that acceptance of Management Orders for land be referred to Council.
· LGA22 Municipal/Trust Fund, Authorisation of Payments, including Creditors
Reviewed – no changes proposed.
· LGA23 Operational – Authorised Officers, Appointment of
Minor amendments proposed to Record requirements. These changes do not affect the intent of the delegation.
· LGA24 Operational – Community Sponsorship Program
Reviewed – no changes proposed.
· LGA25 Operational – Contract Price Variations
Minor amendments proposed. These changes do not affect the intent of the delegation.
· LGA26 Operational – Legal Representation, Costs Indemnification
Reviewed – no changes proposed.
· LGA27 Permits, Road Trains and Extra Mass
Reviewed – no changes proposed.
· LGA28 Private Works
Reviewed – no changes proposed.
· LGA29 Purchase Orders, Issue of
Reviewed – no changes proposed.
· LGA30 Rates and Service Charges - Agreements
Reviewed – no changes proposed.
· LGA31 Rates, Unpaid – Power for Sale
It is proposed to revoke this delegation as Policy 2.1.3 – Rates Debt Recovery was amended to include a provision that officers were to seek Council approval prior to progressing a Property Sales Seizure Order on goods or land.
· LGA32 Rating and Service Charges, Caveat
It is proposed to amend this delegation to include the withdrawal of a caveat.
· LGA33 Rating and Service Charges, Legal Action for Recovery
Reviewed – no changes proposed.
· LGA34 Recovery of Rates and Service Charges – Leased Properties
Minor amendments proposed to the wording that do not affect the intent of the delegation.
· LGA35 Road Closures, General and Temporary
Reviewed – no changes proposed.
· LGA36 Significant Tree Register
Reviewed – no changes proposed.
· LGA37 Tenders, Decision to Invite
It is proposed to amend this delegation to include Panels of Pre-qualified Suppliers.
· LGA38 Trading Licenses
Reviewed – no changes proposed.
· LGA39 Write Off of Debts Up to $1,000
Reviewed – no changes proposed.
Building Act 2011
· BA1 Administering the Building Act 2011
Minor amendment proposed to the Record requirements. This change does not affect the intent of the delegation.
· BA2 Encroachment, Access and Works on Shire Owned or Managed Land
Reviewed – no changes proposed.
· BA3 Seeking Consent to Affect Other Land
Minor amendment proposed to the Record and Reporting requirements. These changes do not affect the intent of the delegation.
Bush Fires Act 1995
· BFA1 Administering the Bush Fires Act 1954
Minor amendment proposed to correct reference to legislation. Section 38(5A) replaces section 38(4) of the Bush Fires Act 1954. This change does not affect the intent of the delegation.
Caravan Parks and Camping Act 1995
· CPCA1 Administering the Caravan Parks and Camping Act 1995
Minor amendments proposed to the conditions imposed. The wording proposed to be deleted is included in Policy 4.2.10 and therefore does not need to be restated in the delegation. These changes do not affect the intent of the delegation.
Cat Act 2011
· CA1 Administering the Cat Act 2011
Minor amendment proposed to remove the time limit of 28 days referenced under section 64. The Cat Act 2011 does not impose a time limit for extension of time for the payment of a modified penalty.
Control of Vehicles (Off Road Areas) Act 1978
· CVA1 Vehicular Access to Prohibited Areas of Cable Beach
Minor amendments proposed to reflect current Policies. These changes do not affect the intent of the delegation.
Dog Act 1976
· DA1 Administering the Dog Act 1976
Reviewed – no changes proposed.
Food Act 2008
· FA1 Administering the Food Act 2008
Reviewed – no changes proposed.
Health (Miscellaneous Provisions) Act 1911
· HA1 Health (Miscellaneous Provisions) Act 1911 – Appointment of Deputy to Meet Functions and Responsibilities of the Act
Minor amendments are proposed to the title as the Health Act 1911 is now the Health (Miscellaneous Provisions) Act 1911. In addition minor changes have been made to the Record requirements. These changes do not affect the intent of the delegation.
In accordance with section 26 of the Health (Miscellaneous Provisions) Act 1911, it is also proposed through this report to appoint the Chief Executive Officer as a Deputy with the ability to carry out the exercise and discharge of all or any of the powers and functions of the Local Government.
Liquor Control Act 1988
· LCA1 Liquor Control Act 1988 – Certificate of Local Government as to whether premises comply with Laws (Health and Building)
Minor amendments proposed to remove forms referenced under the Relevant Policies section. These changes do not affect the intent of the delegation.
· LCA2 Liquor Licensing Extended Trading Permits
Reviewed – no changes proposed.
Public Health Act 2016
· PHA1 Public Health Act 2016 – Appointment of Authorised Officers
The attachment to this delegation is proposed to be removed as it was previously included in error when adopted by Council at the Ordinary Meeting held 15 December 2016.
Planning and Development Act 2005 & Local Planning Scheme No 6
· PLA1 Built Strata Certificate of Approval – Forms 24 & 26
Minor amendments proposed to include the ability to issue a Form 24 which is a preliminary approval of a Strata Plan.
· PLA2 Certifying Premises Complies with Planning Laws
Reviewed – no changes proposed.
· PLA3 Certifying Premises Complies with Planning Laws – Motor Vehicles
Reviewed – no changes proposed.
· PLA4 Delegation to Waive/Refund Planning Fees
Reviewed – no changes proposed.
· PLA5 Determine Development Application
As the basic amendment to LPS6 has been gazetted, revoked provisions of LPS6 are recommended to be removed and clause numbers updated.
· PLA6 Gaming and Wagering, Applications & Renewals
Reviewed – no changes proposed.
· PLA7 Issue of Stop, Direction, Works Notices – Planning
Reviewed – no changes proposed.
· PLA8 Local Development Plans
Reviewed – no changes proposed.
· PLA9 Structure Plans
Reviewed – no changes proposed.
· PLA10 Subdivision and Amalgamation Applications & Clearance
Reviewed – no changes proposed.
· PLA11 Submit Responsible Authority Report
Reviewed – no changes proposed.
CONSULTATION
Nil
STATUTORY ENVIRONMENT
Local Government Act 1995
5.18 Register of delegations to committees
A local government is to keep a register of the delegations made under this Division and review the delegations at least once every financial year.
5.42. Delegation of some powers and duties to CEO
(1) A local government may delegate* to the CEO the exercise of any of its powers or the discharge of any of its duties under —
(a) this Act other than those referred to in section 5.43; or
(b) the Planning and Development Act 2005 section 214(2), (3) or (5).
* Absolute majority required.
(2) A delegation under this section is to be in writing and may be general or as otherwise provided in the instrument of delegation.
5.43. Limits on delegations to CEO
A local government cannot delegate to a CEO any of the following powers or duties -
(a) any power or duty that requires a decision of an absolute majority or a 75% majority of the local government;
(b) accepting a tender which exceeds an amount determined by the local government for the purpose of this paragraph;
(c) appointing an auditor;
(d) acquiring or disposing of any property valued at an amount exceeding an amount determined by the local government for the purpose of this paragraph;
(e) any of the local government’s powers under section 5.98, 5.98A, 5.99, 5.99A or 5.100;
(f) borrowing money on behalf of the local government;
(g) hearing or determining an objection of a kind referred to in section 9.5;
(ha) the power under section 9.49A(4) to authorise a person to sign documents on behalf of the local government;
(h) any power or duty that requires the approval of the Minister or the Governor;
(i) such other powers or duties as may be prescribed.
5.44. CEO may delegate powers and duties to other employees
(1) A CEO may delegate to any employee of the local government the exercise of any of the CEO’s powers or the discharge of any of the CEO’s duties under this Act other than this power of delegation.
(2) A delegation under this section is to be in writing and may be general or as otherwise provided in the instrument of delegation.
(3) This section extends to a power or duty the exercise or discharge of which has been delegated by a local government to the CEO under section 5.42, but in the case of such a power or duty —
(a) the CEO’s power under this section to delegate the exercise of that power or the discharge of that duty; and
(b) the exercise of that power or the discharge of that duty by the CEO’s delegate,
are subject to any conditions imposed by the local government on its delegation to the CEO.
(4) Subsection (3)(b) does not limit the CEO’s power to impose conditions or further conditions on a delegation under this section.
(5) In subsections (3) and (4) –
conditions includes qualifications, limitations or exceptions.
5.45. Other matters relevant to delegations under this Division
(1) Without limiting the application of sections 58 and 59 of the Interpretation Act 1984-
(a) a delegation made under this Division has effect for the period of time specified in the delegation or where no period has been specified, indefinitely; and
(b) any decision to amend or revoke a delegation by a local government under this Division is to be by an absolute majority.
(2) Nothing in this Division is to be read as preventing -
(a) a local government from performing any of its functions by acting through a person other than the CEO; or
(b) a CEO from performing any of his or her functions by acting through another person.
5.46. Register of, and records relevant to, delegations to CEO and employees
(1) The CEO is to keep a register of the delegations made under this Division to the CEO and to employees.
(2) At least once every financial year, delegations made under this Division are to be reviewed by the delegator.
(3) A person to whom a power or duty is delegated under this Act is to keep records in accordance with regulations in relation to the exercise of the power or the discharge of the duty.
Other statutes administered by Local Governments such as Planning and Development Act 2005, Building Act 2011, Health Act 1911, Food Act 2008, Cat Act 2011, Control of Vehicles (Off Road Areas) Act 1978, Caravan Parks and Camping Grounds Regulations 1997, Dog Act 1975 and Gaming and Wagering Commission Act 1987 also enable Local Governments to delegate specific functions and powers to Officers. These are included in the Instrument of Delegation Register.
Health (Miscellaneous Provisions) Act 1911
26. Powers of local government
Every local government is hereby authorised and directed to carry out within its district the provisions of this Act and the regulations, local laws, and orders made thereunder:
Provided that a local government may appoint and authorise any person to be its deputy, and in that capacity to exercise and discharge all or any of the powers and functions of the local government for such time and subject to such conditions and limitations (if any) as the local government shall see fit from time to time to prescribe, but so that such appointment shall not affect the exercise or discharge by the local government itself of any power or function.
POLICY IMPLICATIONS
Relevant Policies are cross referenced throughout the Instrument of Delegation Register.
FINANCIAL IMPLICATIONS
Nil
RISK
Section 5.18 and 5.46(2) of the Local Government Act 1995 requires that a Local Government keep a register of delegations of authority made under the Act and that these are reviewed at least once every financial year.
The Instrument of Delegation Register was last presented to Council for review on 31 March 2016. Council are therefore required to endorse the reviewed delegations prior to 30 June 2017 to ensure compliance with legislation. The risk is ‘High’ if this date is not met as it results in non-compliance with the legislative requirements of the Local Government Act 1995. The likelihood of this occurring is ‘Rare’ as the Instrument of Delegation Register has been reviewed and is being presented well in advance of this date.
STRATEGIC IMPLICATIONS
Our Organisation Goal – Continually enhance the Shire’s organisational capacity to service the needs of a growing community:
An organisational culture that strives for service excellence
Improved systems, processes and compliance
VOTING REQUIREMENTS
Absolute Majority
|
That Council: 1. Notes the review of the delegations. 2. Amends the delegations in the manner outlined within this report. 3. Revokes the following delegations: a) LGA21 – Management Orders, Acceptance of b) LGA31 - Rates, Unpaid – Power for Sale 4. Adopts the delegations as detailed in the attached Instrument of Delegation Register. 5. Appoints the Chief Executive Officer as a Deputy in accordance with section 26 of the Health (Miscellaneous Provisions) Act 1911. (Absolute Majority Required) |
|
Instrument of Delegation Register |
|
Item 9.4.6 - REVIEW OF DELEGATIONS OF AUTHORITY |
Instrument of
Delegation
Register
Powers and Duties of the Council Delegated to the
Chief Executive Officer
All delegations are presented in accordance with Section 5.42 of the Local Government Act 1995 as amended or other statutes as applicable to specified officers. In accordance with Section 5.44 of the LGA 1995 as amended, sub-delegations are listed in this document for consolidation purposes only and are not a matter that is to be considered by Council.
Presentation to Council at the Ordinary Meeting of Council
?? 2017 - Notice to Officers ?? 2017
Standard Conditions of Delegation
Each instrument of delegation describes the function being delegated and the relevant statutory reference.
In addition to the Conditions imposed under the individual delegations, any person proposing to exercise a power under delegated authority shall comply with the following standard conditions of delegation:
· In accordance with Section 5.71 of the Local Government Act 1995 and the Shire of Broome Code of Conduct, if an employee has been delegated a power or duty relating to a matter in which the employee has an interest that employee must not exercise the power or discharge the duty and must in the case of the CEO, disclose to the Shire President the nature of the interest, and in the case of any other employee, must disclose to the CEO the nature of the interest. The LGA contains severe penalties for failure to comply.
· In accordance with Sections 5.75 and 5.76 of the Local Government Act 1995 the delegation of a power or duty to an employee triggers the requirement to make disclosures in primary and annual returns. The LGA contains severe penalties for failure to comply. It is the responsibility of each individual employee to ensure compliance.
· Any delegation exercised shall comply with any laws and regulations in force, and the requirements of any Shire of Broome local laws, Council policies and resolutions of Council.
In accordance with Section 5.46(3) of the Local Government Act 1995 a person to whom a power or duty is delegated under this Act is to keep records in accordance with regulations in relation to the exercise of the power or the discharge of the duty. Regulation 19 of the Local Government (Administration) Regulations 1996 requires the person to whom the power or duty has been delegated to keep a written record of :
(a) how the person exercised the power or discharged the duty;
(b) when the person exercised the power or discharged the duty; and
(c) the person or classes of persons, other than council or committee members or employees of the local government, directly affected by the exercise of the power or the discharge of the duty.
Record and Reporting requirements are specified in the individual delegations.
TABLE OF CONTENTS:
LOCAL GOVERNMENT ACT 1995
LGA1 Activities Requiring Approval
LGA2 Administering the Local Government (Miscellaneous Provisions) Act 1960
LGA3 Applications to Main Roads WA for the installation of Regulatory Signs
LGA4 Appointment of Acting CEO
LGA5 Approval of Signage within Active Reserves
LGA6 Approval to use Council Property for Activities Involving the Sale, or Supply and Consumption of Liquor
LGA7 Approve Applications for Public Health Initiatives
LGA8 Broome Recreation and Aquatic Centre – Trading hours, Extension of
LGA9 Broome Street Number Markers
LGA10 Building Permits, Refund of Building Permit Fees
LGA11 Cape Leveque Road, Wet Season Closure and Load Limits
LGA12 Council Chambers
LGA13 Declaring A Vehicle To Be An Abandoned Vehicle Wreck
LGA14 Disposal and Acquisition of Assets (Other than Land)
LGA15 Disposal of Impounded Vehicles and Goods
LGA16 Disposing of Sick Or Injured Impounded Animals
LGA17 Execution of Documents – Authorisation without Common Seal
LGA18 Insurance
LGA19 Investment of Surplus Funds
LGA20 Local Government (Uniform Local Provisions) Regulations 1996, Consent Permission or Approvals
LGA21 Management Orders, Acceptance
of
LGA22 Municipal / Trust Fund, Authorisation of Payments, including Creditors
LGA23 Operational – Authorised Officers, Appointment of
LGA24 Operational – Community Sponsorship Program
LGA25 Operational – Contract Price Variations
LGA26 Operational – Legal Representation, Costs Indemnification
LGA27 Permits, Road Trains and Extra Mass
LGA28 Private Works
LGA29 Purchase Orders, Issue of
LGA30 Rates and Service Charges - Agreements
LGA31 Rates, Unpaid – Power
for Sale
LGA32 Rating and Service Charges, Caveat
LGA33 Rating and Service Charges, Legal Action for Recovery
LGA34 Recovery of Rates and Service Charges – Leased Properties
LGA35 Road Closures, General and Temporary
LGA36 Significant Tree Register
LGA37 Tenders, Decision to
Invite Expressions of Interest and Panels of Pre-qualified Suppliers
LGA38 Trading Licences
LGA39 Write Off of Debts Up to $1,000
BUILDING ACT 2011
BA1 Administering the Building Act 2011
BA2 Encroachment, Access and Works on Shire Owned or Managed Land
BA3 Seeking Consent to Affect Other Land
BUSH FIRES ACT 1954
BFA1 Administering the Bush Fires Act 1954
CARAVAN PARKS AND CAMPING ACT 1995
CPCA1 Administering the Caravan Parks and Camping Act 1995
CAT ACT 2011
CA1 Administering the Cat Act 2011
CONTROL OF VEHICLES (OFF ROAD AREAS) ACT 1978
CVA1 Vehicular Access to Prohibited Areas of Cable Beach
DOG ACT 1976
DA1 Administering the Dog Act 1976
FOOD ACT 2008
FA1 Administering the Food Act 2008
HEALTH ACT 1911
HA1
Health (Miscellaneous
Provisions) Act 1911
– Appointment of Deputy to Meet Functions and Responsibilityies of
the Act
LIQUOR CONTROL ACT 1988
LCA1 Liquor Control Act 1988 – Certificate of Local Government as to whether premises comply with Laws (Health and Building)
LCA2 Liquor Licensing Extended Trading Permits
PUBLIC HEALTH ACT 2016
PHA1 Public Health Act 2016 – Appointment of Authorised Officers
PLANNING AND DEVELOPMENT ACT 2005 & LOCAL PLANNING SCHEME NO 6
PLA1 Built Strata Certificate of Approval – Forms 24 & 26
PLA2 Certifying Premises Complies with Planning Laws
PLA3 Certifying Premises Complies with Planning Laws – Motor Vehicles
PLA4 Delegation to Waive/Refund Planning Fees
PLA5 Determine Development Application
PLA6 Gaming and Wagering, Applications & Renewals
PLA7 Issue of Stop, Direction, Works Notices - Planning
PLA8 Local Development Plans
PLA9 Structure Plans
PLA10 Subdivision and Amalgamation Applications & Clearance
PLA11 Submit Responsible Authority Report
REVOKED DELEGATIONS
D.04 Authorised Persons - Building
D.05 Authorised Persons - Planning
D.06 Authority to Commence Prosecutions
D.07 Bank Guarantees and Performance Bonds
D.08 Breach of the Food Act 2008, Issuing an Infringement Notice
D.09 Breach of the Food Act 2008 - Withdrawal of Infringement Notice
D.11 Broome Recreation and Aquatic Centre Reserve Kiosk/Bar and the Glenn and Pat Medlend Pavilion – Special Event access
D.13 Building Orders
D.14 Building Permit – Approve or Refuse
D.17 Camping, Approval to Camp in an Area other than a Caravan Park and Camping Ground
D.25 Demolition Permit – Approve or Refuse
D.30 Events in Public Places other than Roads and Hired Venues
D.31 Events on Roads
D.34 Food Act 2008 - Functions of Enforcement Agencies
D.35 Food Act 2008 - Registration of Food Businesses
D.36 Food Act 2008 - Variation of Conditions or Cancellation of Registration of Food Businesses
D.41 Issue of Prohibition Order
D.43 Keeping of 3-6 Dogs
D.48 Occupancy Permit & Building Approval Certificates - Extension of Duration
D.49 Occupancy Permits & Building Approval Certificates – Issue of
D.52 Operational – Authorised Officers (Cat Act 2011), Appointment of
D.55 Operational – Designated Officer, Appointments of for the Purposes of Administering the Food Act 2008
D.56 Operational – Designated Persons (Planning) for issuing of Infringement Notices
D.58 Operational – Prosecution of Offences
D.59 Outdoor Dining Licenses
D.60 Permission to construct on, over or under a public thoroughfare or public place
D.62 Powers and Functions Under the Health Act 1911 and Subsidiary Regulations, Local Laws and Orders made thereunder
D.65 Rates and Service Charges
D.70 Records Destruction Approval Lists
D.73 Roads, Sand, Silt and Other Soil Material - Removal from Shire Roads
D.74 Strata Titles, Certificate of Approval
D.75 Strata Titles, Issue of an Occupancy Permit Strata or Building Approval Certificate Strata for registration of strata scheme, plan of re-subdivision
D.77 Subdivision Clearance
D.83 Trading, Outdoor Dining and Street Entertainment
D.85 Venue and Facility Hire – Broome Civic Centre
D.86 Venue and Facility Hire – Broome Recreation and Aquatic Centre
D.87 Venue Hire – Cable Beach Amphitheatre, Town Beach, Concourse - Male and Haynes Ovals
D.89 Bush Fires Act 1954 – Powers and Duties of a Local Government
LOCAL GOVERNMENT ACT 1995
LGA1 Activities Requiring Approval
Head of Power Local Government Act 1995 (Sections 5.42 & 5.44)
Power/Duty Delegated
|
Part |
3 – Functions of local governments |
|
Division |
2 – Legislative functions of local governments 3 – Executive Functions of local governments |
|
Section |
3.18 – Performing executive functions 3.21 – Duties when performing functions 3.50 – Closing of certain thoroughfares to vehicles |
|
Sub section |
|
|
Local Law |
Shire of Broome Local Government Property and Public Places Local Law 2012 (or as amended) |
|
Relevant Policies |
3.1.20 – Traffic Management for Events 4.2.15 – Trading in Public Places
4.5.2 – Horses on Cable Beach 5.1.11 – Events 5.2.1 – BRAC Reserve Non Sporting Special Events |
Previous Delegation # D.01
Detail of delegation
The Chief Executive Officer is delegated authority to approve activities on any local government property or public place within the Broome town site area in accordance with local law.
Conditions Imposed
The delegation is to be exercised in accordance with relevant Council policies.
Where appropriate and where the event will impact upon a public road the requirements of the Traffic Management for Events Code of Practice shall be adhered to.
Sub-delegation Permitted Yes
Sub-delegated to Deputy Chief Executive Officer
Director Development Services
Director Infrastructure
Manager
Health, Emergency & Ranger Services
Manager Community Development
Events and Economic Development Coordinator (the sub delegation to this position only applies to the approval of non- exclusive events and filming permits in accordance with Events Policy 5.1.11)
Record requirements Documentation to be recorded to files LAW009, REP002, REP003, REP004 or REP005 or the appropriate reserve or property file as applicable.
Reporting requirements To be reported monthly in the Information Bulletin, with a copy of the report to be recorded to file ARE02 (Delegations of Authority Register).
LGA2 Administering the Local Government (Miscellaneous Provisions) Act 1960
Head of Power Local Government Act 1995 (Sections 5.42 & 5.44)
Power/Duty Delegated
|
Part |
|
|
Division |
|
|
Section |
364, 448, 449, 450, 451, 452, 453, 455, 456, 457, 460, 464, 474 |
|
Sub section |
|
|
Local Law |
|
|
Relevant Policies |
|
Previous Delegation #: N/A
Detail of delegation
The Council delegates authority to the Chief Executive Officer to perform the functions in relation to the administration of the Local Government (Miscellaneous Provisions) Act 1960 including the following:
· s 364(2) - cause written notice of a new street alignment to be served on the owners of land affected.
· s 364(3C) - approve the execution of minor, but not substantial repairs in order to permit the reasonable preservation of building or work.
· s 364(6) - lease land, or a portion of it, to the owner of the land of which it abuts.
· s 364(7) - pay compensation to the owner of land dedicated and revested under section 364.
· s 364(9) - cause written notice of land revested under section 364 to be given.
· s 448 - give consent for cattle to be driven along or onto a street, way, or place.
· s 448 - impound cattle driven along or onto a street, way, or place, without permission.
· s 449 - establish and maintain one or more public pounds, appointing fit and proper persons to be keepers of those pounds.
· s 449 - appoint a Ranger or Rangers.
· s 450 - cause public notice to be given of the establishment of a public pound and the appointment of or removal of pound keepers and Rangers.
· s 451(1) - close a pound and dismiss the pound keeper and Rangers.
· s 452(1) - cause a public pound to be properly enclosed, and so adapted, that cattle impounded with contagious or infectious diseases can be segregated from cattle free from those diseases while impounded.
· s 453 - cause adequate shelter and water to be afforded to cattle whilst impounded.
· s 455(1) - supply the pound keeper with a copy of the Local Government (Miscellaneous Provisions) Act 1960 and a pound book.
· s 456 - erect and maintain in proper repair at the public pound, a board displaying the holding capacity, fees, charges and rates at which damages may be claimed.
· s 457(3) - pay any unclaimed money held by the public pound to the trust fund.
· s 457(4) - after a period of two years, pay any unclaimed money received from the pound keeper into the municipal fund.
· s 460(3AA)(b) - appoint a person, and make arrangements, to carry out the sale of cattle impounded by a land owner or occupier, to which damages and sustenance charges have not been paid within 72 hours.
· s 464 - vary the poundage, trespass, sustenance, and rangers fees and charges.
· s 474(4)(a) - appoint a person, and make arrangements, to carry out the sale of unclaimed cattle impounded in a public pound.
Conditions Imposed
Delegation to be in writing, any sub-delegation to be in writing and reviewed every financial year.
Sub-delegation Permitted: Yes
Sub-delegated to:
Director Development Services:
s 364(2), s 364(3C), s 364(9), s 448, s 449, s 452(1), s 453, s 455(1), s 456, s 460(3AA)(b), s 464, s 474(4)(a)
Manager Health, Emergency and Ranger Services:
s 448, s 449, s 452(1), s 453, s 455(1), s 456, s 460(3AA)(b), s 464, s 474(4)(a)
Ranger Coordinator:
s 448, s 452(1), s 453, s 455(1), s 456
Rangers:
s 448 (Impound Only), s 453
Record requirements Documentation to be recorded as per Shire Protocols.
Reporting requirements To be reported monthly in the Information Bulletin, with a copy of the report to be recorded to file ARE02 (Delegations of Authority Register)
LGA3 Applications to Main Roads WA for the installation of Regulatory Signs
Head of Power Local Government Act 1995 (Section 5.42 & 5.44)
Power/Duty Delegated
|
Part |
3 Functions of local governments |
|
Division |
3 Executive functions of local governments |
|
Section |
3.54 Reserve under control of a local government |
|
Sub section |
|
|
Local Law |
Nil |
|
Relevant Policies |
3.1.11 Advisory Signs – MRWA Delegation |
Previous Delegation # D.02
Detail of delegation
The Chief Executive Officer is delegated authority to make application to Main Roads Western Australia for the installation of stop, give-way, roundabout signs and all ‘regulatory’ signs at such places as the Chief Executive Officer considers warranted.
Conditions Imposed
The Chief Executive Officer is to take into consideration the road safety aspects, plans and AS/NZ 1742.
Sub-delegation Permitted Yes
Sub-delegated to Director Infrastructure
Manager Infrastructure Operations
Development & Subdivisions Engineer
Record requirements Documentation to be recorded to file ENG06 and the relevant street file.
Reporting requirements To be reported monthly in the Information Bulletin, with a copy of the report to be recorded to file ARE02 (Delegations of Authority Register).
LGA4 Appointment of Acting CEO
Head of Power Local Government Act 1995 – (Section 5.42)
Power/Duty Delegated
|
Part |
5 Administration |
|
Division |
4 – Local government employees |
|
Section |
5.36 – Local government employees |
|
Sub section |
(1)(a) |
|
Local Law |
Nil |
|
Relevant Policies |
Nil |
Previous Delegation # D.03
Detail of delegation
Council delegates to the Chief Executive Officer the power under section 5.36(1)(a) of the Local Government Act 1995 to appoint an employee of the Shire of Broome to be the Acting Chief Executive Officer for a period of absence of the Chief Executive Officer of not greater than 30 business days.
Conditions Imposed
1. The Chief Executive Officer must be satisfied that the person appointed as Acting CEO is suitably qualified for the position (refer to section 5.36(2)(a) of the Local Government Act.
2. The Chief Executive Officer must advise Council when an appointment is made.
Sub-delegation Permitted No
Sub-delegated to N/A
Record requirements The Chief Executive Officer is to ensure that an appropriate record is kept of all appointments to Acting CEO via the Higher Duties Official documentation. The original documentation is to be recorded to the relevant staff member’s personnel file.
Reporting requirements The Chief Executive Officer to provide written advice to Councillors when this delegation is exercised.
LGA5 Approval of Signage within Active Reserves
Head of Power Local Government Act 1995 (Sections 5.42 & 5.44)
Power/Duty Delegated
|
Part |
3 Functions of local governments |
|
Division |
3 Executive functions of local governments |
|
Section |
3.54 Reserves under control of local government |
|
Sub section |
|
|
Local Law |
Local Government Property and Public Places Local Law |
|
Relevant Policies |
Policy 5.2.2 Advertising/Sponsors Signs within Active Reserves Local Planning Policy 8.17 – Signs |
Previous Delegation # N/A
Detail of delegation
The Chief Executive Officer is delegated authority to approve advertising/sponsor signs within active reserves in accordance with the appropriate Council policy.
Conditions Imposed
The Chief Executive Officer is to have consideration for Policy 5.2.2 Advertising/Sponsors Signs within Active Reserves and Local Planning Policy 8.17 – Signs.
The Chief Executive Officer is to consult with Manager Health, Emergency and Ranger Services, Manager Infrastructure, Manager Community Development as required.
Sub-delegation Permitted Yes
Sub-delegated to Deputy Chief Executive Officer
Director Infrastructure
Manager Community Development
Manager Sport & Recreation Facilities Coordinator
Record requirements Documentation to be recorded to the relevant reserve file.
Reporting requirements To be reported monthly in the Information Bulletin, with a copy of the report to be recorded to file ARE02 (Delegations of Authority Register)
LGA6 Approval to use Council Property for Activities Involving the Sale, or Supply and Consumption of Liquor
Head of Power Local Government Act 1995 (Section 5.42 & 5.44)
Power/Duty Delegated
|
Part |
3 Functions of local government |
|
Division |
3 Executive functions of local governments |
|
Section |
3.54 Reserves under control of the local government |
|
Sub section |
|
|
Local Law |
Local Government Property and Public Places Local Law (or as amended) |
|
Relevant Policies |
4.2.5 Alcohol Management 5.1.11 Events |
Previous Delegation # D.44
Detail of delegation
The Chief Executive Officer is delegated authority to permit or authorise the sale, or supply and consumption of liquor on property under the care, control and management of Council.
Conditions Imposed
The Chief Executive Officer is to have regard to the
Alcohol Management Policy 4.2.5.
The approval is subject to the subsequent issue of an approved liquor licence issued by the appropriate authority for the sale of liquor if required by law.
The Deputy Chief Executive Officer, Director Development
Services and Manager Health & Ranger Services shall liaise with Manager
Community Development, Statutory Planning Coordinator Manager Planning & Building Services and Manager
Infrastructure Operations before exercising this delegated power.
Sub-delegation Permitted Yes
Sub-delegated to Deputy Chief Executive Officer
Director Development Services
Manager Health, Emergency & Ranger Services
Record requirements Documentation to be recorded to the relevant property or reserve file.
Reporting requirements To be reported monthly in the Information Bulletin, with a copy of the report to be recorded to file ARE02 (Delegations of Authority Register).
LGA7 Approve Applications for Public Health Initiatives
Head of Power Local Government Act 1995 (sections 5.42 & 5.44)
Power/Duty Delegated
|
Part |
3 Functions of local governments |
|
Division |
3 Executive functions of local governments |
|
Section |
3.54 Reserves under control of a local government |
|
Sub section |
|
|
Local Law |
|
|
Relevant Policies |
|
Previous Delegation # D.22
Detail of delegation
The Chief Executive Officer is delegated authority to approve applications for the public health initiative known as “condom trees”.
Conditions Imposed Nil
Sub-delegation Permitted Yes
Sub-delegated to Director Development Services
Manager Health, Emergency & Ranger Services
Coordinator Environmental Health
Record requirements Documentation to be recorded to file ENH01.
Reporting requirements To be reported monthly in the Information Bulletin, with a copy of the report to be recorded to file ARE02 (Delegations of Authority Register).
LGA8 Broome Recreation and Aquatic Centre – Trading hours, Extension of
Head of Power Local Government Act 1995 (Section 5.42 & 5.44)
Power/Duty Delegated
|
Part |
3 Functions of local government |
|
Division |
1 - General |
|
Section |
3.1 General function |
|
Sub section |
|
|
Local Law |
|
|
Relevant Policies |
|
Previous Delegation # D.10
Detail of delegation
The Chief Executive Officer is delegated authority to approve extension of these trading hours for special and/or extraordinary events subject to all costs for extra staff, security, waste removal, cleaning and any other costs being covered by the users/customers.
Conditions Imposed
The Chief Executive Officer is to have regard to both the wet season and dry season trading hours for the Broome Recreation and Aquatic Centre.
Sub-delegation Permitted Yes
Sub-delegated to Deputy Chief Executive Officer
Manager Community Development
Manager Sport & Recreation Facilities Coordinator
Record requirements Documentation to be recorded to RES 42502 (BRAC General), and the relevant event file (if applicable).
Reporting requirements To be reported monthly in the Information Bulletin, with a copy of the report to be recorded to file ARE02 (Delegations of Authority Register).
LGA9 Broome Street Number Markers
Head of Power Local Government Act 1995 (Section 5.42 & 5.44)
Power/Duty Delegated
|
Part |
3 Functions of local governments |
|
Division |
3 Executive functions of local governments |
|
Section |
3.54 Reserves under control of a local government |
|
Sub section |
|
|
Local Law |
Nil |
|
Relevant Policies |
Nil |
Previous Delegation # D.12
Detail of delegation
The Chief Executive Officer is delegated authority to have installed new street house-numbers, remarks or changes to existing numbers to be painted on or affixed to existing on-street kerbing, utilising Council staff, contract or other organisation (such as the Department of Corrective Services).
Conditions Imposed
Sub-delegation Permitted Yes
Sub-delegated to Director Infrastructure
Manager Infrastructure Operations
Development & Subdivisions Engineer
Record requirements Documentation to be recorded to file PLA33 (Street Numbering), the relevant street, property, contract and/or property files.
Reporting requirements To be reported monthly in the Information Bulletin, with a copy of the report to be recorded to file ARE02 (Delegations of Authority Register).
LGA10 Building Permits, Refund of Building Permit Fees
Head of Power Local Government Act 1995 (sections 5.42 & 5.44)
Power/Duty Delegated
|
Part |
6 Financial management |
|
Division |
|
|
Section |
|
|
Sub section |
|
|
Local Law |
|
|
Relevant Policies |
|
Previous Delegation # D.15
Detail of delegation
The Chief Executive Officer is already authorised to carry out a range of administrative functions, which would include a refund of fees paid for the issue of the building permit.
This instrument authorises a refund of fees if:
(i) The officer is satisfied that a refusal would cause hardship to the owner or builder, and/or
(ii) An incorrect fee was paid as a result of an administrative error by a Shire officer.
In all other cases a refund is to be refused.
Conditions Imposed
Sub-delegation Permitted Yes
Sub-delegated to Director Development Services
Manager Planning & Building Services
Record requirements Documentation to be placed on recorded to the relevant building and property permit file.
Reporting requirements To be reported monthly in the Information Bulletin, with a copy of the report to be recorded to file ARE02 (Delegations of Authority Register).
LGA11 Cape Leveque Road, Wet Season Closure and Load Limits
Head of Power Local Government Act 1995 (Section 5.42 & 5.44)
Power/Duty Delegated
|
Part |
3 Functions of local governments |
|
Division |
3 Executive functions of local governments |
|
Section |
3.50 Closing certain thoroughfares to vehicles |
|
Sub section |
2 |
|
Local Law |
Local Government Property and Public Places Local Law 2012 10.1 Notice to repair damage to thoroughfare 10.2 Act and Regulations deal with closing of thoroughfares 10.3 No access without consent |
|
Relevant Policies |
3.1.22 – Closure of Unsealed Roads Due to Wet Weather |
Previous Delegation # D.18
Detail of delegation
The Chief Executive Officer is delegated authority to grant approval for the section of the Broome – Cape Leveque Road from the end of the bitumen south of the Manari Road turn off to the start of the northern most sealed section near Beagle Bay to all classes of vehicles of gross mass (GVM) 11 tonnes or more, for the period from 1st Dec to 31st March; each year;
That approvals only be issued for heavy vehicles in excess of 11 tonne GVM and assessed as providing “essential” transport under the conditions outlined below.
Conditions Imposed
Authority to grant approval is subject to the following conditions:
· Bogie Drive vehicles allowed only, rigid truck, B - Double or rigid truck and single trailer combination;
· Road Train trip requests to be considered on their merits and be subject to appropriate conditions;
· One trip per week only, unless a special permit is provided by the Chief Executive Officer;
· Each trip cannot commence before confirmation by the Shire that substantial rain has not occurred on the road within the 48 hours preceding the trip and that clear weather is forecast;
· If substantial rain has occurred or is occurring, the vehicle will have to wait until cleared by the Shire;
· No responsibility will be taken by the Shire to recover bogged or disabled vehicles and any damages caused by any ‘permit’ vehicles may be chargeable to the permit holders, depending on circumstances at the time;
· The permit can be cancelled at any time at the discretion of the Chief Executive Officer, if circumstances warrant;
· These conditions may be varied at the discretion of the Chief Executive Officer based on a risk assessment basis.
Sub-delegation Permitted Yes
Sub-delegated to Director Infrastructure
Manager Infrastructure Operations
Record requirements Documentation to be recorded to file ENR01.
Reporting requirements To be reported monthly
in the Information Bulletin, with a copy of the report to be recorded to file
ARE02 (Delegations of Authority Register).
LGA12 Council Chambers
Head of Power Local Government Act 1995 (Section 5.42 & 5.44)
Power/Duty Delegated
|
Part |
5 Administration |
|
Division |
4 |
|
Section |
5.42 Delegation of some powers and duties to CEO |
|
Sub section |
|
|
Local Law |
|
|
Relevant Policies |
1.2.2 – Use of Council Chambers and Administration |
Previous Delegation # D.23
Detail of delegation
The Chief Executive Officer is delegated authority to authorise the use of the Council Chambers for functions and meetings, other than Council related functions and meetings, when special circumstances exist.
Conditions Imposed
The Chief Executive Officer is to liaise with the Shire President in regard to these bookings.
Sub-delegation Permitted Yes
Sub-delegated to Director Corporate Services
Record requirements To be recorded to file RES 8519.
Reporting requirements To be reported monthly in the Information Bulletin, with a copy of the report to be recorded to file ARE02 (Delegations of Authority Register).
LGA13 Declaring A Vehicle To Be An Abandoned Vehicle Wreck
Head of Power Local Government Act 1995 (Section 5.42 & 5.44)
Power/Duty Delegated
|
Part |
3 Functions of local governments |
|
Division |
3 Executive functions of local governments |
|
Section |
3.40A Abandoned vehicle wreck may be taken |
|
Sub section |
(4) |
|
Local Law |
|
|
Relevant Policies |
|
Previous Delegation # N/A
Detail of delegation
In accordance with Local Government Act 1995 section 3.40A(4) if after seven days from the removal of a vehicle deemed to be an abandoned wreck the owner of the vehicle has not been identified or after seven days from the giving of a notice the owner has not collected the vehicle the Chief Executive Officer may declare that the vehicle is an abandoned vehicle wreck.
Conditions Imposed
Nil
Sub-delegation Permitted Yes
Sub-delegated to Director Development Services
Manager Health, Emergency & Rangers Services
Record requirements Documentation to be recorded to file LAW007.2 and any other relevant file.
Reporting requirements To be reported monthly in the Information Bulletin, with a copy of the report to be recorded to file ARE02 (Delegations of Authority Register).
LGA14 Disposal and Acquisition of Assets (Other than Land)
Head of Power Local Government Act 1995 (Sections 5.42 & 5.44)
Power/Duty Delegated
|
Part |
3 Functions of local governments |
|
Division |
3 Executive functions of local governments |
|
Section |
3.58 Disposing of Property |
|
Sub section |
|
|
Regulation |
Local Government (Functions and General) Regulations 1996 Regulation 30(3) |
|
Local Law |
|
|
Relevant Policies |
3.1.18 Disposal of Assets 1.2.9 Local Regional Price Preference 2.3.7 Purchasing |
Previous Delegation # D.29
Detail of delegation
The Chief Executive Officer is delegated authority to acquire or dispose of Shire assets (other than land) by public tender, expressions of interest or public auction valued at an amount not exceeding $150,000.
Conditions Imposed
The delegation shall be exercised provided that appropriate provision is made in Council’s Budget.
Sub-delegation Permitted Yes
Sub-delegated to Deputy Chief Executive Officer
Director Infrastructure
Director Corporate Services
Director Development Services
Manager Health, Emergency & Ranger Services
In accordance with values endorsed by the Chief Executive Officer.
Record requirements Documentation to be recorded to the relevant plant file and/or file EPL03 (Disposal – Auctions & Sales) if applicable.
Reporting requirements The Chief Executive Officer is to inform the Council of the detail of all acquisitions or disposals under this delegation.
LGA15 Disposal of Impounded Vehicles and Goods
Head of Power Local Government Act 1995 (Section 5.42 & 5.44)
Power/Duty Delegated
|
Part |
3 Functions of local governments |
|
Division |
3 Executive functions of local governments |
|
Section |
3.40A Declare a vehicle to be an abandoned wreck 3.47(2) Disposing of confiscated or uncollected goods |
|
Sub section |
|
|
Local Law |
Parking and Parking Facilities Local Law 2012 |
|
Relevant Policies |
|
Previous Delegation # D.38
Detail of delegation
The Council delegates authority to the Chief Executive Officer to perform the functions in relation to the administration of the Local Government Act 1995 including the following:
· s3.40A - declare a vehicle an abandoned wreck for the purposes of s3.40A of the Act.
· s3.47(2) - sell or otherwise dispose of any vehicles or goods that have been impounded.
Conditions Imposed
This delegation is exercised provided that the estimated resale value of that particular vehicle is below the prescribed value and the statutory two month waiting period is completed.
Sub-delegation Permitted Yes
Sub-delegated to Director Development Services
Manager Health, Emergency & Ranger Services
Record
requirements Documentation to be recorded
to file LAW007.2 and the relevant tender file if applicable.
Reporting requirements To be reported monthly in the Information Bulletin, with a copy of the report to be recorded to file ARE02 (Delegations of Authority Register).
LGA16 Disposing of Sick Or Injured Impounded Animals
Head of Power Local Government Act 1995 (Section 5.42 & 5.44)
Power/Duty Delegated
|
Part |
3 Functions of local governments |
|
Division |
3 Executive functions of local governments |
|
Section |
3.47A Sick or injured animals, disposal of |
|
Sub section |
(1) |
|
Local Law |
Dog Local Law 2012 |
|
Relevant Policies |
|
Previous Delegation # N/A
Detail of delegation
The Chief Executive Officer is delegated the power under s3.47A – to determine that an impounded animal is ill or injured to such an extent that treating it is not practicable, to humanely destroy the animal and to dispose of the carcass.
Conditions Imposed
Officers must liaise with an authorised veterinarian if practicable and must not destroy an animal unless-
(a) because of the state of the animal, destroying it is urgent; or
(b) the
local government has taken reasonable steps to notify the owner and has complied with statutory requirements it has
been impounded for at least 7 days.
Sub-delegation Permitted Yes
Sub-delegated to Director Development Services
Manager Health, Emergency & Ranger Services
Coordinator Rangers
Record requirements Documentation to be recorded to file LAW002.8
Reporting requirements To be reported monthly in the Information Bulletin, with a copy of the report to be recorded to file ARE02 (Delegations of Authority Register).
LGA17 Execution of Documents – Authorisation without Common Seal
Head of Power Local Government Act 1995 (Sections 5.42)
Power/Duty Delegated
|
Part |
9 – Miscellaneous Provision |
|
Division |
3 – Documents |
|
Section |
9.49A Execution of Documents |
|
Sub section |
(4) and (5) |
|
Local Law |
Nil |
|
Relevant Policies |
Nil |
Previous Delegation # D.32
Detail of delegation
Council delegates authority to the Chief Executive Officer to sign certain documents on behalf of the Shire of Broome in accordance with 9.49A(4) and (5) “Execution of Documents” of the Local Government Act 1995.
This delegation also authorises the Deputy Chief
Executive Officer to sign documents on behalf of the Shire of Broome in
accordance with Section 9.49A(4) and (5) “Execution of Documents”
of the Local Government Act 1995.
This delegation also authorises the Director Development Services, Director Corporate Services and Director Infrastructure to sign documents on behalf of the Shire of Broome in accordance with Section 9.49A(4) and (5) “Execution of Documents” of the Local Government Act 1995 but only for the purposes of signing contracts or agreements for goods and services to a maximum value of $150,000 purchased in accordance with the Shire’s Purchasing Policy 2.3.7 and utilising an existing budget allocation.
Conditions Imposed
The document must be consistent with a Council Policy or resolution.
In addition, the document to be executed must be consistent with approved expenditure contained within the adopted Annual Budget or in accordance with Section 6.8 of the Local Government Act 1995.
This delegation does not apply to the execution of documents that require affixing of the Common Seal of the Shire of Broome.
Sub-delegation Permitted No
Sub-delegated to
Record requirements Documentation to be recorded to the relevant files.
Reporting requirements To be reported monthly in the Information Bulletin, or to be included in the Accounts for Payment and presented to Council via the Ordinary Council Meeting as appropriate.
LGA18 Insurance
Head of Power Local Government Act 1995 (Section 5.42 & 5.44)
Power/Duty Delegated Local Government (Financial Management) Regulations 1996
|
Part |
5 |
|
Division |
4 Local Government Employees |
|
Section |
5.42 Delegation of some powers to CEO |
|
Sub section |
|
|
Regulation |
5 CEO’s
duties as to financial management (1)(e) |
|
Local Law |
|
|
Relevant Policies |
|
Previous Delegation # D.39
Detail of delegation
The Chief Executive Officer is delegated authority to enter into appropriate contracts of insurance on behalf of Council, whilst Council’s insurance portfolio is managed by Local Government Insurance Service.
Conditions Imposed
Sub-delegation Permitted Yes
Sub-delegated to Director Corporate Services
Record
requirements Documentation to be recorded
to file RIC10 (Insurance Policies & Renewals).
Reporting requirements Record in the Insurance
Policy file. To be reported monthly in the Information
Bulletin, with a copy of the report to be recorded to file ARE02
(Delegations of Authority Register).
LGA19 Investment of Surplus Funds
Head of Power Local Government Act 1995 (Sections 5.42 & 5.44)
Power/Duty Delegated
|
Part |
6. Financial management |
|
Division |
4 General financial management |
|
Section |
6.14 Power to invest |
|
Regulation |
Local Government (Financial Management) Regulations 19, 19C |
|
Local Law |
|
|
Relevant Policies |
2.1.2 – Investment of Surplus Funds |
Previous Delegation # D.40
Detail of delegation
The Chief Executive Officer is delegated authority to invest surplus funds from the Municipal, Trust and Reserve funds in asset classes as set out in Policy 2.1.2 Investment of Surplus Funds.
Conditions Imposed
The Chief Executive Officer shall have regard to Policy 2.1.2 Investment of Surplus Funds.
Sub-delegation Permitted Yes
Sub-delegated to Director Corporate Services
Manager Financial Services
Coordinator Financial Services
Record
requirements Documentation to be recorded
to file FIN001.
Reporting requirements To be reported monthly
in the Information Bulletin, Monthly Financial
Activity Report with a copy of the report to be recorded to file ARE02
(Delegations of Authority Register).
LGA20 Local Government (Uniform Local Provisions) Regulations 1996, Consent Permission or Approvals
Head of Power Local Government Act 1995 (Section 5.42 & 5.44)
Power/Duty Delegated Local Government (Uniform Local Provisions) Regulations 1996
|
Part |
|
|
Division |
|
|
Section |
|
|
Regulation |
6, 11, 12, 13, 17 |
|
Sub section |
|
|
Local Law |
Nil |
|
Relevant Policies |
Nil |
Previous Delegation # D.45
Detail of delegation
The Chief Executive Officer is delegated authority to:-
· Give permission to obstruct a public thoroughfare by things placed and left,
· Give permission to make or make and leave an excavation in a public thoroughfare or on land adjoining a public thoroughfare,
· Approve the construction of a crossing giving access from a public thoroughfare to land or a private thoroughfare,
· Issue a notice requiring a person to construct or repair a crossing from a public thoroughfare to land or a private thoroughfare.
· Approve applications to undertake a construction on, over, or under a specified public thoroughfare or public place that is local government property.
Conditions Imposed
That no cost is imposed upon Shire of Broome.
Sub-delegation Permitted Yes
Sub-delegated to Director Infrastructure
Manager Infrastructure Services
Development & Subdivisions Engineer
Record requirements Documentation to be recorded to the relevant property file.
Reporting requirements To be reported monthly in the Information Bulletin, with a copy of the report to be recorded to file ARE02 (Delegations of Authority Register).
LGA21 Management
Orders, Acceptance of
Head of Power Local
Government Act 1995 (Section 5.42 & 5.44)
Power/Duty Delegated
|
|
|
|
|
|
|
|
|
|
|
|
|
|
|
|
|
|
Previous Delegation # D.46
Detail of delegation
The Chief
Executive Officer is delegated authority to advise the Department of Lands that
the Shire of Broome is willing to accept Management Orders for land.
Conditions Imposed
The Chief Executive Officer is to take
into consideration the requirements of Subdivision 6 – Various Executive
Functions Section 3.53 and 3.54 of the Local Government Act 1995
and Part 9 of the Land Administration Act 1997.
The Chief Executive Officer is to take
into consideration as appropriate the provisions of Sections 3.58 and 3.59 of
the Local Government Act and Local Government (Functions and General)
Regulations 7, 8, 9, 10 and 30.
Sub-delegation Permitted Yes
Sub-delegated to Director
Infrastructure
Director
Development Services
Record
requirements Original Management Orders to
be recorded to file LEG059 (Reserves Management Orders), and the relevant
reserve file.
Reporting requirements To be reported monthly
in the Information Bulletin, with a copy of the report to be
recorded to file ARE02 (Delegations of Authority
Register).
LGA22 Municipal / Trust Fund, Authorisation of Payments, including Creditors
Head of Power Local Government Act 1995 (Sections 5.42 & 5.44)
Power/Duty Delegated
Local Government (Financial Management) Regulations 1996
|
Part |
6 Financial management |
|
Division |
4 General financial provisions |
|
Section |
6.10 Financial management regulations |
|
Sub section |
|
|
Regulation |
12 Payment from municipal fund or trust fund 13 List of accounts |
|
Local Law |
|
|
Relevant Policies |
|
Previous Delegation # D.47
Detail of delegation
The Chief Executive Officer is delegated authority to authorise payments from the municipal and trust funds with the information required under Regulation 13 of the Local Government (Financial Management) Regulations 1996.
Conditions Imposed
Authority is to be exercised in accordance with Regulation 12 of the Local Government (Financial Management) Regulations 1996.
Each payment from the Municipal Fund or the Trust Fund is to be noted on a list compiled for each month showing:
· The payee’s name,
· The amount of the payment,
· The date of the payment, and
· Sufficient information to identify the transaction
The list referred to above is to be presented to the Council at the next Ordinary Meeting of the Council following the preparation of the list and is to be recorded in the minutes of the meetings at which it is presented.
Sub-delegation Permitted Yes
Sub-delegated to Director Corporate Services
Manager Financial Services
Coordinator Financial Services
Record requirements The Council item, together with attachment (Authorisation of Expenditure Schedule), is to be recorded to file FRE02.
Reporting requirements Presented to Council via the Ordinary Meetings of Council
LGA23 Operational – Authorised Officers, Appointment of
Head of Power Local Government Act 1995 – (Section 5.42)
Local Government (Miscellaneous Provisions) Act 1960
Power/Duty Delegated As listed below
|
Part |
9 Miscellaneous Provisions |
|
Division |
2 Enforcement and legal proceedings |
|
Sub Division |
1 Miscellaneous Provisions about enforcement |
|
Section |
9.10 Appointment of Authorised Persons |
|
Sub section |
|
|
Local Laws |
Dog Local Law 2012, Health Local Law 2006, Parking and Parking Facilities Local Law 2012, Trading, Outdoor Dining and Street Entertainment Local Law 2003 , Local Government Property and Public Places Local Law 2012 Cemeteries Local Law 2012 |
Previous Delegation # D.50
Detail of delegation
The Chief Executive Officer is delegated the power to appoint persons or classes of person as authorised officers in accordance with the various Acts, Regulations and Local Laws listed hereunder:
· Local Government Act 1995 – Part 9 Division 2 Section 9.10
· Local Government (Miscellaneous Provisions) Act 1960 - Part XX Section 449 (appointment of Pound Keeper and/or Rangers) Act to be read as part of the Local Government Act
· Dog Local Law 2012,
· Health Local Law 2006,
· Parking and Parking Facilities Local Law 2012,
· Trading, Outdoor Dining and Street Entertainment Local Law 2003,
· Local Government Property and
Public Places Local Law 2012
· Cemeteries Local Law 2012
Conditions Imposed Nil
Sub-delegation Permitted No
Sub-delegated to Nil
Record requirements Documentation to be recorded to the staff member’s personnel file, and details of authorisation placed on the Authorised Persons Register.
Reporting requirements To be reported monthly in the Information Bulletin, with a copy of the report to be recorded to file ARE02 (Delegations of Authority Register).
LGA24 Operational – Community Sponsorship Program
Head of Power Local Government Act 1995 (Sections 5.42 & 5.44)
Power/Duty Delegated
|
Part |
5 Administration |
|
Division |
4 Local government employees |
|
Section |
5.42 Delegation of some powers to the CEO |
|
Sub section |
6.2 Local government to prepare annual budget
|
|
Local Law |
Nil |
|
Relevant Policies |
5.1.5 Community Sponsorship Program |
Previous Delegation # D.53
Detail of delegation
The Chief Executive Officer is delegated authority to approve ad hoc sponsorship to a maximum of $1,000 after reference to the Community Sponsorship Assessment Working Group and Council’s approved Financial Year Budget.
Conditions Imposed
The Chief Executive Officer shall have regard to Policy 5.1.5 Community Sponsorship Program.
Sub-delegation Permitted Yes
Sub-delegated to Deputy Chief Executive Officer
Record requirements Documentation kept on to be recorded to file FIS07 (Ad Hoc Community Sponsorship).
Reporting requirements To be reported monthly in the Information Bulletin, with a copy of the report to be recorded to file ARE02 (Delegations of Authority Register).
LGA25 Operational – Contract Price Variations
Head of Power Local Government Act 1995 (Sections 5.42)
Power/Duty Delegated
Local Government (Functions and General) Regulations 1996
|
Part |
4 Provision of goods and services |
|
Division |
2 Tenders for providing goods and services (s3.57) |
|
Regulation |
20 Variation of requirements before entry into contract 21A Varying a contract for the supply of goods or services |
|
|
|
|
Local Law |
|
|
Relevant Policies |
2.3.7 – Purchasing Policy
|
Previous Delegation # D.54
Detail of delegation
The Chief Executive Officer is delegated authority to approve:
· minor contract variations after a successful tenderer has been chosen but before a contact has been entered into for the supply of goods and services, subject to sufficient funds being available within the approved expenditure budget and that the Chief Executive Officer is satisfied that the price variation is necessary.
· Contract variations after a contract has been entered into for the supply of goods and services when:
(a) the variation is necessary in order for the goods or
services to be supplied and does not change the scope of
the contract; or
(b) the variation is a renewal or extension of the term of the
contract as described in regulation 11(2)(j) – Local Government (Functions and General) Regulations 1996.
Conditions Imposed
Any contract variation is to be recorded in a Contracts Register and is to be reported to the Council.
Sub-delegation Permitted No
Sub-delegated to
Record requirements Documentation to be recorded to the relevant contract file and the Contracts Register.
Reporting requirements To be reported monthly in the Information Bulletin, with a copy of the report to be recorded to file ARE02 (Delegations of Authority Register).
LGA26 Operational – Legal Representation, Costs Indemnification
Head of Power Local Government Act 1995 (Section 5.42 & 5.44)
Power/Duty Delegated
|
Part |
5 Administration |
|
Division |
4 |
|
Section |
5.42 Delegation of some powers and duties to CEO |
|
Sub section |
|
|
Local Law |
|
|
Relevant Policies |
Policy 1.2.7 – Legal Representation Cost Indemnification |
Previous Delegation # D.57
Detail of delegation
The Chief Executive Officer is delegated authority to approve applications from elected members or staff for urgent legal services where there is a need for the services, before an application can be considered by Council.
Conditions Imposed
The Chief Executive Officer should reference legal advice on any application if he/she deems necessary and can exercise this authority up to the value of $20,000.
The Chief Executive Officer is to take into account Policy 1.2.7 of the Council in relation to this matter as determined and varied from time to time.
Sub-delegation Permitted Yes
Sub-delegated to Deputy Chief Executive Officer
Director Development Services
Record requirements The advice documentation is to be recorded to the relevant subject, property or reserve file, and the staff member’s personnel file.
Reporting requirements The Council is to be informed of all legal advice obtained and the advice is to be made available for inspection upon request.
LGA27 Permits, Road Trains and Extra Mass
Head of Power Local Government Act 1995 (Section 5.42 & 5.44)
Power/Duty Delegated
|
Part |
3 Functions of local governments |
|
Division |
3 Executive functions of local governments |
|
Section |
3.50 Closing certain thoroughfares to vehicles |
|
Sub section |
|
|
Local Law |
Local Government Property and Public Places Local Law 2012 3.2, 3.3, 3.4, 3.5 |
|
Relevant Policies |
3.1.22 – Closure of Unsealed Roads Due to Wet Weather |
Previous Delegation # D.61
Detail of delegation
The Chief Executive Officer is delegated authority to determine any application recommending approval or refusal, with conditions, to Main Roads WA to use road trains and applications for extra mass permits and/or over-dimensional vehicle permits on any local road within the district.
Conditions Imposed
The Chief Executive Officer is to have regard to:
1) All roads are subject to the appropriate approval by Main Roads WA and subsequent issue of relevant permits
2) Applicants are to supply Council with a copy of Main Roads WA permit before operations commence
3) That the speeds of the vehicles do not exceed 90km/h on gravel roads
4) Applicants are requested to utilise sealed routes, where possible, particularly during periods of wet weather
5) Council reserves the right to withdraw the approval with twenty four (24) hours notice.
6) Any policy of Council in place from time to time.
Sub-delegation Permitted Yes
Sub-delegated to Director Infrastructure
Record requirements Documentation to be recorded to files ENR01 or TRL03 as applicable.
Reporting requirements To be reported monthly in the Information Bulletin, with a copy of the report to be recorded to file ARE02 (Delegations of Authority Register).
LGA28 Private Works
Head of Power Local Government Act 1995 (Section 5.42 & 5.44)
Power/Duty Delegated
|
Part |
6 Financial management |
|
Division |
5 Financing local government activities |
|
Section |
6.15 Local government’s ability to receive revenue and income |
|
Sub section |
|
|
Local Law |
Nil |
|
Relevant Policies |
3.1.5 Private and Community Works |
Previous Delegation # D.63
Detail of delegation
The Chief Executive Officer is delegated authority to undertake private works within the Shire of Broome when determined to be in the interests of Council and when written authorisation is provided by the client to proceed.
Conditions Imposed
Delegation to be in accordance with relevant policy.
Sub-delegation Permitted Yes
Sub-delegated to Director Infrastructure
Manager Infrastructure Operations
Record requirements Documentation to be recorded to the relevant reserve or property file.
Reporting requirements To be reported monthly in the Information Bulletin, with a copy of the report to be recorded to file ARE02 (Delegations of Authority Register).
LGA29 Purchase Orders, Issue of
Head of Power Local Government Act 1995 (Sections 5.42 & 5.44)
Power/Duty Delegated Local Government (Financial Management) Regulations 1996
|
Part |
2 |
|
Division |
Regulations 5, 11(2), 12(1)(a) 11A, 11 |
|
Section |
|
|
Sub section |
|
|
Local Law |
N/A |
|
Relevant Policies |
2.3.7 - Purchasing 1.2.9 - Local Regional Price Preference |
Previous Delegation # D.64
Detail of delegation
The Chief Executive Officer is delegated authority to issue Purchase Orders for those goods and services provided for in Council’s adopted budget.
Conditions Imposed
The Chief Executive Officer is to refer to Policy 2.3.7 Purchasing Policy
Sub-delegation Permitted Yes
Sub-delegated to In accordance with Management Directive 008 as endorsed by Chief Executive Officer.
Record requirements Audit trail maintained within Synergy Soft Financial Management System Purchasing Module.
Reporting requirements As per Management Directive 008 as reviewed and amended by the Chief Executive Officer from time to time.
LGA30 Rates and Service Charges - Agreements
Head of Power Local Government Act 1995 (Sections 5.42 & 5.44)
Power/Duty Delegated
|
Part |
6. Financial management |
|
Division |
6. Rates and service charges |
|
Section |
6.49 – Agreement as to payment of rates and service charges |
|
Sub section |
|
|
Local Law |
Nil |
|
Relevant Policies |
2.1.3 – Rates Debt Recovery |
Previous Delegation # D.66
Detail of delegation
The Chief Executive Officer is delegated the power to accept payment of a rate or service charge that is due and payable by a person in accordance with an agreement made with that person.
Conditions Imposed
1. The Chief Executive Officer is required to observe any relevant policy.
2. In making any such agreement, the Chief Executive Officer is to exercise discretion in negotiating the best possible repayment schedule to protect the interests of the Shire without imposing undue financial hardship on the person.
3. The Chief Executive Officer is to ensure that appropriate written agreements are entered into and that appropriate internal controls are in place to monitor compliance with the agreed repayment schedule.
4. The Chief Executive Officer is to have regard to the Shire’s debt collection policy should the person materially default with the terms of the agreement.
Sub-delegation Permitted Yes
Sub-delegated to Director Corporate Services
Manager Financial Services
Record requirements A written, signed agreement is to be entered into. Document is to be recorded to file ARA10 (Rates – Payment Arrangements & Instalments).
Reporting requirements To be reported monthly in the Information Bulletin, with a copy of the report to be recorded to file ARE02 (Delegations of Authority Register).
LGA31 Rates,
Unpaid – Power for Sale
Head of Power Local
Government Act 1995 (Sections 5.42 & 5.44)
Power/Duty Delegated
|
|
|
|
|
|
|
|
|
|
|
|
|
|
|
|
|
|
Previous Delegation # D.67
Detail of delegation
The Chief Executive Officer is delegated
the authority to commence proceedings under Section 6.64 of the Local
Government Act 1995 to recover rates and service charges owing to the
Council where an amount payable to the Council has been unpaid for not less
than a period of three years.
These proceedings could involve actions
to recover rates and service charges where appropriate:
1. Sale of the land;
2. Cause the transfer of land to
the Crown; or
3. Cause the transfer of land to
the local government.
Conditions Imposed
1. The Chief Executive Officer
is required to observe any relevant policy.
2. The action is only to be
taken, where in the opinion of the Chief Executive Officer, that action is
necessary.
3. Any land taken possession of
must be released as per Section 6.67 of the Local Government Act 1995.
Sub-delegation Permitted Yes
Sub-delegated to Director
Corporate Services
Manager
Financial Services
Record requirements Documentation to be recorded
to file ARA06 (Rates – Debt Recovery & Legal Action).
Reporting requirements To be reported monthly
in the Information Bulletin, with a copy of the report to be
recorded to file ARE02 (Delegations of Authority
Register).
LGA32 Rating and Service Charges, Caveat
Head of Power Local Government Act 1995 (Sections 5.42)
Power/Duty Delegated
|
Part |
6. Financial management |
|
Division |
6 Rates and service charges |
|
Section |
6.64 Actions to be taken |
|
Sub section |
3 |
|
Local Law |
|
|
Relevant Policies |
2.1.3 – Rates Debt Recovery |
Previous Delegation # D.68
Detail of delegation
The Chief Executive Officer is delegated the power to lodge (and withdraw) a caveat to preclude dealings in land where rates or services charges are in arrears and the CEO is of the opinion that it is in the interests of the Shire to lodge the caveat.
Conditions Imposed
1. The Chief Executive Officer is required to observe any relevant policy.
2. The action to lodge a caveat is only to be taken, where in the opinion of the Chief Executive Officer, that action is necessary.
3. The action is only to be taken by persons with the specific written authority to lodge the caveat.
Sub-delegation Permitted No
Sub-delegated to
Record requirements Documentation to be recorded to file ARA06 (Rates – Debt Recovery & Legal Action).
Reporting requirements To be reported monthly in the Information Bulletin, with a copy of the report to be recorded to file ARE02 (Delegations of Authority Register).
LGA33 Rating and Service Charges, Legal Action for Recovery
Head of Power Local Government Act 1995 (Sections 5.42 & 5.44)
Power/Duty Delegated
|
Part |
6. Financial Management |
|
Division |
6 Rates and Service Charges |
|
Section |
6.56 Rates and Service Charges Recoverable in Court |
|
Sub section |
|
|
Local Law |
|
|
Relevant Policies |
2.1.3 – Rates Debt Recovery |
Previous Delegation # D.69
Detail of delegation
The Chief Executive Officer is delegated the power to instigate action through a court to recover a debt, including recovery costs, associated with a rate or service charge, if it remains unpaid after the time for payment under the Act, and in accordance with procedures outlined in the Shire debt collection policy.
Conditions Imposed
1. The Chief Executive Officer is required to observe any relevant policy.
2. The legal action is only to be taken, where in the opinion of the Chief Executive Officer, that action is a last resort to obtain payment.
3. The legal action is only to be taken by persons with the specific written authority to commence the action.
Sub-delegation Permitted Yes
Sub-delegated to Director Corporate Services
Manager Financial Services
Record requirements Documentation to be recorded Schedule to file ARA06 (Rates – Debt Recovery & Legal Action).
Reporting requirements To be reported monthly in the Information Bulletin, with a copy of the report to be recorded to file ARE02 (Delegations of Authority Register).
LGA34 Recovery of Rates and Service Charges – Leased Properties
Head of Power Local Government Act 1995 (Sections 5.42 & 5.44)
Power/Duty Delegated
|
Part |
6 Financial Management |
|
Division |
6 Rates and Service Charges |
|
Section |
6.60 Local government may require lessee to pay rent |
|
Sub-Section |
|
|
Local Law |
|
|
Relevant Policies |
|
Previous Delegation # D.71
Detail of delegation
The CEO is delegated the power:
1. The power to give notice to the lessee
of land if payment of a rate or service charge imposed is due and payable
requiring the lessee to pay any rent as it falls due in satisfaction of the debt
rate or service charge.
2. The duty to give the lessor a copy of the notice with an endorsement that the original of it has been given to the lessee.
3. The power to recover the amount of the rate or service charge as a debt from the lessee if rent is not paid in accordance with the notice.
4. The power to request the occupier of property, or an agent of the owner of property to disclose the name and address of the owner or of the person receiving or authorised to receive the rate or service charge.
5. The duty to apply the money for or towards rates or service charges where money is paid on rates and charges due on the land in the order in which they become due.
Conditions Imposed
To observe all relevant provisions of the Local Government Act 1995, all other written law and regulations, Council policies, directions and guidelines.
Sub-delegation Permitted Yes
Sub-delegated to Director Corporate Services
Manager Financial Services
Record requirements Documentation to be recorded to file ARA06 (Rates – Debt Recovery & Legal Action) and to the relevant lease file.
Reporting requirements To be reported monthly in the Information Bulletin, with a copy of the report to be recorded to file ARE02 (Delegations of Authority Register).
LGA35 Road Closures, General and Temporary
Head of Power Local Government Act 1995 (Sections 5.42 & 5.44)
Power/Duty Delegated
|
Part |
3 – Functions of Local Government |
|
Division |
3 – Executive Functions of Local Governments |
|
Section |
3.50 Closing certain thoroughfares to vehicles, 3.50A Partial closure of thoroughfare for repairs or maintenance |
|
Sub section |
|
|
Local Law |
Shire of Broome Property and Public Places Local Law 2012 - 10.1 , 10.2 , 10.3 |
|
Relevant Policies |
3.1.22 Closure of Unsealed Roads Due to Wet Weather |
Previous Delegation # D.72
Detail of delegation
The Chief Executive Officer is delegated the authority to temporarily close a street or a portion of a street and/or any local road under Council’s control to all traffic for any period not exceeding 28 days, or exceeding 28 days providing local public notice has been provided. This temporary closure is undertaken:
· as by reason of the heavy rain, a street is likely to be damaged by the passage of traffic generally and/or if it is considered the road is unsafe for public traffic; or
· for the purpose of conducting events in accordance with the Traffic Management for Events Code of Practice and the Road Traffic (Events on Roads) Regulations 1991.
Conditions Imposed
In accordance with Local Laws.
Sub-delegation Permitted Yes
Sub-delegated to Director Infrastructure
Manager Infrastructure Operations
Record requirements Documentation to be recorded to files ENR01 or ROR01 as applicable.
Reporting requirements To be reported monthly in the Information Bulletin, with a copy of the report to be recorded to file ARE02 (Delegations of Authority Register).
LGA36 Significant Tree Register
Head of Power Local Government Act 1995 (Section 5.42 & 5.44)
Power/Duty Delegated
|
Part |
3 Functions of local governments |
|
Division |
3 Executive functions of local governments |
|
Section |
3.54 Reserves under control of a local government |
|
Sub section |
|
|
Local Law |
Local Government Property and Public Places Local Law 2012 |
|
Relevant Policies |
3.1.24 – Significant Tree Register |
Previous Delegation # N/A
Detail of delegation
The Chief Executive Officer is delegated authority with respect to the inclusion of trees on the Register and for works of a minor nature. The application for the physical removal of any trees on the Register will be referred to Council for consideration.
Conditions Imposed
Trees that will be considered for inclusion on the Register, should substantially meet the following criteria:
1. Outstanding aesthetic quality.
2. Outstanding for its large height, trunk circumference or canopy spread.
3. Is particularly old or venerable.
4. Having associations with an important historical event.
5. Any tree associated with a well-known public figure or ethnic group.
6. Occurs in a unique location or situation, or provides a significant contribution to the landscape, important landmarks and trees which form part of an historical garden, park or setting within the townsite.
7. Of a rare species or variety or very localised distribution.
8. Horticultural or genetic value and could be an important source of propagating stock.
9. Exhibits a curious growth form or physical feature, including unusually pruned forms.
10. Any mature specimens of native trees whose natural distribution is mainly restricted to Broome and/or the Dampier Peninsula.
Any person desiring to cut, remove or otherwise alter the state of a tree listed on the Significant Tree Register shall require the approval of Council. The following exemptions to this are:
a. Any tree or part of tree which is dead.
b. Any part of a tree which has to be pruned clear of overhead wires to the requirements of Horizon Power, in accordance with Australian Standard AS 4373-1996 Pruning of Amenity Trees.
c. Remedial pruning of remaining limbs (but not tree removal) after storm damage.
d. Any tree deemed to be dangerous by the Council, following service of an order requiring the tree to be made safe by the owner.
Sub-delegation Permitted Yes
Sub-delegated to Director Infrastructure
Record requirements Documentation to be recorded to file ARE12 (Significant Trees Register).
Reporting requirements To be reported monthly in the Information Bulletin, with a copy of the report to be recorded to file ARE02 (Delegations of Authority Register).
LGA37 Tenders,
Decision to Invite Expressions of Interest and
Panels of Pre-qualified Suppliers
Head of Power Local Government Act 1995 (Sections 5.42 & 5.44)
Power/Duty Delegated
|
Part |
3 Functions of local governments |
|
Division |
3 Executive functions of local governments |
|
Section |
3.57 Tenders for providing goods or services |
|
Sub section |
1 |
|
Regulations |
Local Government (Functions and General) Regulations 1996 11(1),14(2a), 21(1), 18(4) & 23(3), 24AD(1), 24AD(3), 24AH(3) |
|
Local Law |
Nil |
|
Relevant Policies |
1.1.12 – Procurement via Panels of Pre-qualified Suppliers 1.2.9 – Local Regional Price Preference 2.3.7 – Purchasing Policy |
Previous Delegation # D.79
Detail of delegation
Pursuant to Sections 5.42 and 5.43 of the Local Government Act 1995, the Chief Executive Officer is delegated the power:
1. To publicly call tenders for goods and services where provision has been made in the Annual Budget for those goods and services.
2. To decide to establish a panel of pre-qualified suppliers of particular goods or services, and to publicly invite persons to join the panel.
2. To determine in writing the criteria for deciding which tender or panel of pre-qualified suppliers should be accepted.
3. To seek Expressions of Interest for the supply of goods and services before entering into the Tender process.
4. To determine which of the Expressions of Interest received would be an acceptable Tenderer.
5. To accept a tender or an application to join a panel of pre-qualified suppliers where the consideration is less than $150,000.
Conditions Imposed
1. The decision to accept a quotation
or tender or an application to join a panel of
pre-qualified supplier must relate to goods or services that are subject
to a specific budget expenditure authorisation or other express written
authority of the Council.
2. The decision must be based
upon a proper, fair and impartial public tender process that only considers quotations
or tenders or applications to join a panel of
pre-qualified suppliers that comply with all relevant requirements on
opening.
3. The decision must be based upon the best value for money proposal that has been assessed by a proper and accountable assessment process.
4. The decision must be based
upon full compliance with Local Government (Functions and General)
Regulations 1996 Part 4 Divisions 2 and 3, any relevant written law, Council policy or
procedures. Including Policy 2.3.7 - Purchasing Policy
Sub-delegation Permitted Yes
Sub-delegated to Director Corporate Services
Record requirements Entry in the Tender Register in accordance with regulations 17 and 24AG of the Local Government (Functions and General) Regulations 1996. Documentation to be recorded to file LEG256 (Tender Register) and where applicable recorded to the relevant Tender or Panel of Pre-qualified Suppliers file.
Reporting requirements Tender report to Council for tenders called over $150,000 and entry in the Tender Register in accordance with regulations.
For tTenders under $150,000, to be
reported monthly in the Information Bulletin.
LGA38 Trading Licences
Head of Power Local Government Act 1995 (Section 5.42)
Power/Duty Delegated
|
Part |
5 Administration |
|
Division |
4 Local Government Employees |
|
Section |
5.42 Delegation of some powers and duties to CEO |
|
Sub section |
|
|
Clause |
|
|
Local Law |
Trading, Outdoor Dining and Street Entertainment Local Law 2003 Local Government Property and Public Places Local Law 2012 |
|
Relevant Policies |
4.2.3 Street Entertainment/Busking; 4.2.12 Trading in Public Places; 4.5.3 Commercial Activities on Cable Beach; 4.5.1 Commercial Camel activities on Cable Beach; Local Planning Policy 8.3 – Outdoor Dining |
Previous Delegation # D.82
Detail of delegation
The Chief Executive Officer is delegated authority to:
· suspend/cancel any Trading Licence should a licence condition be breached.
· determine extension, suspension and cancellation of applications to conduct activities in accordance with the Trading, Outdoor Dining and Street Entertainment Local Law 2003 and Local Government Property and Public Local Law 2012.
· approve and determine applications to conduct activities in accordance with the Trading, Outdoor Dining and Street Entertainment Local Law 2003 and Local Government Property and Public Local Law 2012.
· approve applications for Outdoor Dining Licences.
Conditions Imposed
The Chief Executive Officer shall exercise this delegation in accordance with all Shire of Broome Policies.
Sub-delegation Permitted Yes
Sub-delegated to Director Development Services
Manager Health, Emergency & Rangers Services
Statutory
Planning Coordinator Manager Planning &
Building Services
Responsibility for outdoor dining licenses for premises
approved as restaurant shall be undertaken by the Statutory Planning
Coordinator Manager Planning & Building
Services
Coordinator Environmental Health
Responsibility for outdoor dining licenses for premises approved as restaurant shall be undertaken by the Coordinator Environmental Health.
Record requirements Documentation to be placed on the reserve/property file.
Reporting requirements To be reported monthly in the Information Bulletin, with a copy of the report to be recorded to file ARE02 (Delegations of Authority Register).
LGA39 Write Off of Debts Up to $1,000
Head of Power Local Government Act 1995 (Section 5.42 & 5.44)
Power/Duty Delegated
|
Part |
6. Financial Management |
|
Division |
4 General financial provisions |
|
Section |
6.12 Power To Defer, Grant Discounts, Waive Or Write Off Debts |
|
Sub section |
|
|
Local Law |
|
|
Relevant Policies |
2.1.3 Rates Debt Recovery Policy Business Operating Procedure 2.1.1 - Sundry Debt Recovery and Write Off |
Previous Delegation # D.88
Detail of delegation
The Chief Executive Officer is delegated authority to write off small amounts of any monies owed to the local government, up to a maximum of $1,000 per rates assessment and/or debtor record.
Conditions Imposed
1. The Chief Executive Officer is required to observe any relevant policy.
2. The debt write off is only to be actioned, where in the opinion of the Chief Executive Officer all of the following conditions are satisfied:
a. the value of the debt inclusive of penalty interest, up to $1,000 is unrecoverable;
b. it would be uneconomical to pursue formal debt recovery procedures; and
c. the debtor has maintained a low credit risk history.
3. Monies owing and outstanding after 240 days that are considered doubtful and uneconomical to pursue further debt recovery may be written off after authorisation by either the Director Corporate Services or the Manager Financial Services.
4. All amounts stated are exclusive of GST
Sub-delegation Permitted Yes
Sub-delegated to Director Corporate Services
Manager Financial Services
Record requirements Documentation to be recorded to file ARA06 (Rates – Debt Recovery & Legal Action) or ADM06 (Debtors) as applicable.
Reporting requirements To be reported monthly in the Information Bulletin, with a copy of the report to be recorded to file ARE02 (Delegations of Authority Register).
BUILDING ACT 2011
BA1 Administering the Building Act 2011
Head of Power Building Act 2011 (section 127)
Power/Duty Delegated
|
Instrument |
Building Act 2011 and Building Regulations 2012 |
|
Part |
Part 2, Part 4, Part 8 |
|
Division |
|
|
Sections of Building Act |
18, 20, 21, 22, 23, 24, 27, 55, 58, 62, 65, 88, 96, 97, 98, 110, 111, 114, 117, 118, 119, 127, 128, 129, 130, 131, 132, 133, 145A. |
|
Regulations in Building Regulation |
23, 24, 26, 40, 51, 53, 61.
|
|
Local Law |
|
|
Relevant Policies |
|
Previous Delegation # N/A
Detail of delegation
The Council delegates authority to the Chief Executive Officer to perform the functions in relation to the administration of the Building Act 2011 including to:
· s18 – require an applicant, for a building permit, to give any document or information that it requires to determine the application, require an applicant to verify the information by statutory declaration and refuse to consider an application if the applicant does not comply with a requirement.
· s20 – grant a building permit if satisfied with the specified matters.
· s21 – grant a demolition permit if satisfied with the specified matters.
· s22 – refuse to grant a building permit or demolition permit in the specified circumstances.
· s23 – decide whether or not to grant the building permit in the specified timeframes, or outside those timeframes.
· s24 – record the grounds on which a decision is based and provide written notice of the decision.
· s27 - impose conditions on a building permit or a demolition permit, vary or revoke any conditions imposed and provide notice of the variation or revocation of a condition.
· s55 - require an applicant, for an occupancy permit or building approval certificates, to give any document or information that it requires to determine the application, require an applicant to verify the information by statutory declaration and refuse to consider an application if the applicant does not comply with a requirement.
· s58 – grant or modify an occupancy permit or a building approval certificate if satisfied with the specified matters, and refuse to grant or modify the occupancy permit or the building approval certificate if there is an error in the information or document provided for the application.
· s59 – decide whether or not to grant the occupancy permit or building approval certificate in the specified timeframes, or outside those timeframes.
· s60 – record the grounds on which a decision is based and provide written notice of the decision.
· s62 – impose conditions on an occupancy permit or building approval certificate, vary or revoke any conditions imposed and provide notice of the variation or revocation of a condition.
· s65 – extend the period in which an occupancy permit or a building approval certificate has effect.
· s88 – specify the way in which an outward facing side of a particular close wall must be finished in the specified circumstances.
· s96 – designate a person employed by the local government under the Local Government Act 1995 section 5.36, as an authorised person in relation to buildings and incidental structures located, or proposed to be located, in the district of the local government.
· s97 – give an identity card to each person designated as an authorised person.
· s98 – revoke or vary a condition of designation.
· s110 – make a building order in the specified circumstances and as specified.
· s111 – issue notice of a proposed building order and consider any submissions received.
· s114 – serve a copy of the order on each person to whom the order is directed.
· s117(1) - revoke a building order and serve notice of the revocation on each person to whom the notice is directed.
· s117(2) – decide whether a building order has been fully complied with and either revoke a building order or inform each person to whom the building order is directed that it remains in effect.
· s118(2) – cause an authorised person to take any action specified in a building order or commence, complete any work specified in the order or take steps to cause action to cease.
· s118(3) – in a court of competent jurisdiction, seek to recover as a debt from a person who as been served with a copy of a building order the costs and expenses incurred in acting under subsection (2).
· s127 – delegate to any other local government employee a power or duty of the local government that has been delegated to the CEO.
· s128 - keep a register of all building permits, demolition permits, occupancy permits and building approval certificates granted and building orders made.
· s129 – make the register available for inspection and provide copies of building permits, demolition permits, occupancy permits, building approval certificates or building orders.
· s130 – keep copies of the prescribed documents.
· s131 – allow an interested person to inspect a building record or provide an interested person with a copy of a building records.
· s132 – give the Building Commissioner prescribed information for inclusion in the annual report or as requested.
· s133 – commence a prosecution for an offence against the Act.
· s145A – refer an uncertified application to a building surveyor who is not employed by the local government and issue a certificate for a building or structure in the specified circumstances.
The Council delegates authority to the Chief Executive Officer to perform the functions in relation to the administration of the Building Regulations 2012 including to:
· r23 – refuse to accept an application to extend the time during which the permit has effect after the expiry date for the permit in the specified circumstances.
· r24 – extend the time during which a permit has effect in the specified circumstances.
· r26 – approve a new person to be named as the builder on a building permit or the demolition contractor on the demolition permit and amend the permit details accordingly.
· r40 – refuse to accept an application for the extension of the period of duration after the expiry day for an occupancy permit or building approval certificate in the specified circumstances and to record the decision.
· r51 – approve alternative requirements in relation to a pool fence, barrier or gate.
· r53 – arrange for an authorised person to inspect a pool enclosure.
· r61 – approve the use of a battery powered smoke alarm.
· r70 – appoint approved officers and authorised officers for the purposes of the Criminal Procedure Act 2004 and issue a certificate of appointment.
Conditions Imposed
Delegation to be in writing, any sub-delegation to be in writing and reviewed every financial year.
Sub-delegation Permitted: Yes, with the exception of sections 96, 97, 98 and 127 of the Building Act and regulation 70 of the Building Regulation.
Sub-delegated to:
Director Development Services:
· Building Act – sections 18, 20, 21, 22, 23, 24, 27, 55, 58, 59, 60, 62, 65, 88, 110, 111, 114, 117, 118, 119, 128, 129, 130, 131, 132, 133 and 145A.
· Building Regulations – regulations 23, 24, 26, 40, 51, 53, and 61.
Manager Planning & Building Services:
· Building Act – sections 18, 20, 21, 22, 23, 24, 27, 55, 58, 59, 60, 62, 65, 88, 110, 111, 114, 117, 118, 119, 128, 129, 130, 131, 132, 133 and 145A.
· Building Regulations – regulations 23, 24, 26, 40, 51, 53, and 61.
Building Surveyor:
· Building Act – sections 18, 20, 21, 22, 23, 24, 27, 55, 58, 59, 60, 62, 65, 88, 110, 111, 114, 117, 118, 119, 128, 129, 130, 131, 132, 133 and 145A.
· Building Regulations – regulations 23, 24, 26, 40, 51, 53, and 61.
Record
requirements Documentation to be recorded to the staff
member’s personnel relevant file.
Reporting requirements To be reported monthly in the Information Bulletin, with a copy of the report to be recorded to file ARE02 (Delegations of Authority Register).
BA2 Encroachment, Access and Works on Shire Owned or Managed Land
Head of Power Building
Act 2011 (section 127)
Power/Duty Delegated
|
Instrument |
Building Act 2011 |
|
Part |
Part 6 |
|
Division |
|
|
Section |
Sections 76, 77, 78, 79, 80, 81, 82 |
|
Sub section |
|
|
Local Law |
Nil |
|
Relevant Policies |
|
Previous Delegation # N/A
Detail of delegation
The Chief Executive Officer is delegated authority to:
· s76 – consent to the encroachment of part of a building or incidental structure onto Shire owned or managed land.
· s77 – consent to work adversely affecting Shire owned or managed land.
· s78 – consent to a temporary or permanent protection structure being placed onto Shire owned or managed land.
· s79 – consent to work being done that affects the structural, waterproofing, or noise insulation capacity of a party wall, a substantial dividing fence or a boundary retaining wall on Shire owned or managed land.
· s80 – consent to the removal of a fence, gate or other barrier on Shire owned or managed land.
· s81 – consent to a person accessing Shire owned or managed land to undertake work or conduct a survey.
· s82 – remove an encroaching building or structure or protection structure from Shire owned or managed land in the specified circumstances.
Conditions Imposed
Delegation to be in writing, any sub-delegation to be in writing and reviewed every financial year.
Sub-delegation Permitted: Yes
Sub-delegated to: Deputy Chief Executive Officer
Director Development Services
Director Corporate Services
Director Infrastructure
Record requirements Documentation to be recorded to the property file
Reporting requirements To be reported monthly in the Information Bulletin, with a copy of the report to be recorded to file ARE02 (Delegations of Authority Register).
BA3 Seeking Consent to Affect Other Land
Head of Power Building
Act 2011 (section 127)
Power/Duty Delegated
|
Instrument |
Building Act 2011 |
|
Part |
Part 6 |
|
Division |
|
|
Section |
Sections 84, 85, 86 |
|
Sub section |
|
|
Local Law |
Nil |
|
Relevant Policies |
|
Previous Delegation # N/A
Detail of delegation
The Chief Executive Officer is delegated authority to:
· s84 – give notice of a notifiable event to each owner of affected land.
· s85 – provide notice in the prescribed way, request that a survey of the affected land be conducted and seek consent from each owner of affected land for access to the affected land for the survey.
· s86 – seek orders from the Magistrates Court if consent is not provided and provide a copy of the order to the person affected by the order if the order is made in their absence.
Conditions Imposed
Delegation to be in writing, any sub-delegation to be in writing and reviewed every financial year.
Sub-delegation Permitted: Yes
Sub-delegated to: Deputy Chief Executive Officer
Director Development Services
Director Corporate Services
Director Infrastructure
Record
requirements Documentation to be placed
on recorded to property file.
Reporting requirements To be reported monthly in the Information Bulletin with a copy of the report to be recorded to file ARE02 (Delegations of Authority Register).
BUSH FIRES ACT 1954
BFA1 Administering the Bush Fires Act 1954
Head of Power Bush Fires Act 1954 (Section 48)
Power/Duty Delegated
|
Part |
|
|
Division |
|
|
Section |
13,17,18,23, 24, 24F, 24G, 25, 25A, 27, 27D, 33, 34,36, 37, 38, 38A, 40, 41, 42, 46, 50, 52, 58, 59, 59A, 60, 67, 68 |
|
Sub section |
|
|
Local Law |
Bush Fire Brigades Local Law 2003 |
|
Relevant Policies |
|
Previous Delegation # N/A
Detail of delegation
The Council delegates authority to the Chief Executive Officer to perform the functions in relation to the administration of the Bush Fires Act 1954 including the following:
· s13(4) - request the Fire Emergency Services (FES) commissioner to transfer control of a bushfire burning within the district, in accordance with section 13(4).
· s17(7) - shorten, extend, suspend or reimpose the prohibited burning times by no more than 14 days.
· s17(8) - notify adjoining local governments, the FES commissioner and any other government department or instrumentality of any variation to prohibited burning times.
· s18(5) - shorten, extend, suspend or reimpose the restricted burning times by no more than 14 days.
· s18(11) - request a person who has started a fire that has escaped the land, or in the opinion of a bush fire control officer is out of control, to pay the expenses incurred by it in preventing the extension of the fire.
· s23(2)(a)(i) - issue a permit in writing to a owner or occupier of land for burning during prohibited burning times.
· s 24 - issue a permit to burn for the purposes of harvesting subterranean clover during prohibited burning times.
· s 24B - require production of a permit to burn.
· s 24F - issue written permission for garden refuse to be burned in an incinerator located within 2m of any building or fence, during limited burning times.
· s 24G(2) - publish a notice in the Gazette and local newspaper further restricting or prohibiting the burning of garden refuse within the district in addition to the restrictions imposed by limited burning times.
· s24G(5) - vary or cancel a notice issued further restricting or prohibiting the burning of garden refuse within the district in addition to the restrictions imposed by limited burning times, by publishing a further notice.
· s25(1)(a) - approve in writing the lighting of a fire for the purposes of camping or cooking during periods of catastrophic, extreme, severe or very high forecast fire dangers.
· s25(1)(b) - approve in writing the lighting of a fire for the purposes of the conversion of bush into charcoal, or a lime kiln for the production of lime.
· s25(1aa)(b)(i) - set aside an area for the purposes of using a gas appliance for the purpose of camping or cooking bearing a sign denoting that purpose.
· s25(1a) - publish or vary a notice in the Gazette and in a local newspaper prohibiting the lighting of fires for the purposes of camping or cooking in the open air within the district during specified prohibited burning times.
· s25A(5) - serve a notice in writing on a person holding an exemption from burning during a prohibited period, prohibiting them from lighting a fire to which the exemption relates.
· s27(2) - permit the use of tractors in orchards that are not fitted with vertical exhaust pipes during restricted or prohibited burning times.
· s27(3) - prohibit the operation of any tractor or self propelled harvester not fitted with a fire extinguisher by a notice published in a newspaper circulating and a radio station broadcasting within the district.
· s27(4)(b) - vary or cancel a notice prohibiting the operation of any tractor or self propelled harvester not fitted with a fire extinguisher.
· s27D(2)(b) - set the requirements of the local government for the carriage in a motor vehicle of incendiary material, in accordance with section 27D.
· s27D(3)(b) - set the requirements of the local government for the deposit of incendiary material on any land.
· s33(1) - publish or vary a notice in the Government Gazette and local newspaper requiring landowners or occupiers to take measures to prevent the outbreak or extension of bushfires within a specified time.
· s33(1) - give notice in writing to an owner or occupier of land situated within the district to take measures to prevent the outbreak or extension of bushfires within a specified time.
· s33(4)(a) - direct a bushfire control officer or any other officer of the local government to enter upon the land of the owner or occupier in order to carry out the requirements of a notice using such resources as he sees fit.
· s33(5)(a) - ascertain and fix the costs incurred in order for the local government to carry out the requirements of a notice issued under section 33 in order to give them to the owner or occupier of the land.
· s33(6) - at the request and expense of the landowner or occupier, authorise any such works for the removal or abatement of a fire danger.
· s33(6) - recover a debt due from a landowner or occupier in respect to any works carried out.
· s34(1a)(a) - consult with a person, body or government department responsible for the care, control and management of a crown reserve within the district.
· s36(a) - purchase and maintain appliances, equipment and apparatus for the prevention, control and extinguishment of bushfires.
· s36(b) - clear a street, road or reserve vested in the local government of bush and other inflammable material for the purpose of preventing the occurrence or spread of a bushfire.
· s36(d) - establish and maintain bushfire brigades for the prevention control and extinguishment of bush fires.
· s36(e) - pay the owner or hirer of any vehicle used to control or extinguish a bushfire, in respect to damage done to a tyre of that vehicle.
· s36(f) - assist the occupier of farm lands within the district to acquire appliances, equipment and apparatus for the prevention, control and extinguishment of bushfires.
· s37(1)(a) - obtain and keep current a policy of insurance that insures volunteer fire fighters for compensation relating to injury caused to them while they are engaged in normal brigade activities.
· s37(1)(b) - obtain and keep current a policy of insurance that insures against loss or damage to all appliances, equipment and apparatus including privately owned appliances, equipment that is used under the direction of a bushfire control officer, or an officer or member of a bushfire brigade for the purposes of the Act.
· s38(1) - appoint such persons as required to act as bushfire control officers on behalf of the local government including, but not limited to, a chief and deputy chief bushfire control officer.
· s38(5A) - issue directions to a bushfire control officer appointed by the local government, or to an officer of a bushfire brigade registered by the local government, to burn bush on, or at the margins of streets, roads, and ways under the care, control, and management of the local government.
· s38A(1) - request the FES Commissioner to designate a person employed by the department as Chief Bush Fire Control Officer.
· s40(1) - join with other local governments to appoint, employ and remunerate bushfire control officers.
· s41(1) - establish and maintain bushfire brigades in accordance with local laws made for the purpose for the prevention control and extinguishment of bush fires.
· s41(2) - keep, maintain or cancel a register of bush fire brigades and their members.
· s41(2a) - notify the FES Commissioner of any changers to the register of bushfire brigades and their members.
· s42(1) - join with other local governments to establish, maintain, and equip with appliances, equipment and apparatus to act as a bush fire brigade.
· s46(1A)(a) - prohibit or postpone the lighting of a fire where, if lit, it would be, or become a source of danger by escaping from the land.
· s46(1A)(b) - direct that all reasonable steps be taken to extinguish a fire that is burning on land if it is in danger of escaping from that land.
· s46(3) - refund any fees paid to the local government in respect to an application for a permit to set fire to the bush if the local government if the applicant is precluded from using the permit and it becomes useless to him.
· s50(1)(a) - maintain records of all the bushfire control officers appointed by the local government.
· s50(1)(c) - maintain records of the particulars, nature, quantity and quality of the bush fire fighting equipment and appliances that are generally available within the district.
· s52(1) - apply to the Minister to have the district or part of it declared as an approved area.
· s58(3)(a) - recover the amount of the expense incurred by a person acting under the provisions of the Act, from a person committing an offence against the Act as a debt due in a court of competent jurisdiction.
· s59(1) - institute and carry on proceedings against a person for an offence alleged to be committed against the Act.
· s59(2) - reimburse a person instituting and carrying on proceedings against a person for an offence alleged to be committed against the Act, all costs and expenses that he may incur, or be put to in or about the proceedings.
· s59A(2) - serve a notice to a person, informing him that if he does not wish to be prosecuted for an alleged offence in a court, he may pay to an officer specified in the notice, within the time therein specified, the amount of the penalty prescribed for the offence.
· s67(1) - appoint persons as seen fit to act as a bush fire advisory committee.
· s67(3) - fix the quorum for the transaction of business at meetings of the bush fire advisory committee meetings.
· s67(3)(a) - make rules for the guidance of the bush fire advisory committee.
· s67(3)(b) - accept the resignation in writing of, or remove any member of the bush fire advisory committee.
· s67(3)(c) - appoint a person to fill any vacancy in the office of a member of the bush fire advisory committee.
· s68(1) - make an agreement with other local governments to join in appointing a regional bush fire advisory committee.
Conditions Imposed
Nil
Sub-delegation Permitted: No
Sub-delegated to: Nil
Record requirements Documentation to be recorded to file LAW003.1 (Firebreak Infringements & Prosecutions).
Reporting requirements To be reported monthly in the Information Bulletin, with a copy of the report to be recorded to file ARE02 (Delegations of Authority Register).
CARAVAN PARKS AND CAMPING ACT 1995
CPCA1 Administering the Caravan Parks and Camping Act 1995
Head of Power Caravan Parks and Camping Act 1995 s7
Caravan Parks and Camping Regulations 1997 s6
Power/Duty Delegated
|
Part |
|
|
Division |
|
|
Section |
7, 10, 11, 12, 14, 17, 21,23, 34 |
|
Sub section |
|
|
Local Law |
|
|
Relevant Policies |
4.2.10 – Approval to Camp for Up to 3 months in Areas Other Than Caravan Parks & Camping Grounds 4.2.14 – Operation of Temporary Caravan and Camping Facilities |
Previous Delegation # D.19
Detail of delegation
The Council delegates authority to the Chief Executive Officer to perform the functions in relation to the administration of the Caravan Parks and Camping Act 1995:
· s7(1),(2) and (3) - seek further information regarding an application for a licence for a facility where required.
· s7(4) - grant, renew, or refuse to grant or renew, an application for licence of a caravan park and camping, transit park and nature based park.
· s17 and r6 - appoint authorised persons for the purpose of administering the Act and associated regulations.
· s10 - issue a prohibition notice to a licence holder of a facility.
· s11 - withdraw a prohibition notice issued to a licence holder of a facility.
· s12 - cancel a licence of a facility.
· s14 - keep a register of licences issued.
· s17 - appoint persons to be authorised persons.
· s21 - inspect a licensed facility.
· s23 - appoint persons as authorised officers to issue, extend, or withdraw infringement notices.
· s34 - determine a licenced facility has ceased to be a facility.
· r11 of the Caravan Parks and Camping Regulations 1997- grant approval for camping up to 3 months in areas other than Caravan Parks and Camping grounds.
· r54 – power to grant a temporary licence for a facility.
Conditions Imposed
For r11, Aapproval may be considered for up to 3
months in areas other than Caravan Parks and Camping grounds and must be in
accordance with Policy 4.2.10 Approval to Camp for Up to 3 months in Areas
Other Than Caravan Parks & Camping Grounds. Approval may be considered
for up to 12 months where a current building licence for the dwelling, a
concrete slab or equivalent, has been laid and approval will not be granted
within the Broome townsite and must be in accordance with Policy 4.2.10
Approval to Camp for Up to 3 months in Areas Other Than Caravan Parks &
Camping Grounds.
Sub-delegation Permitted Yes
Sub-delegated to Director Development Services
Manager Health, Emergency & Rangers
Coordinator Health
Environmental Health Officers (s 21 only)
Coordinator Rangers (s 21 only)
Rangers (s 21 only)
Record requirements Documentation to be recorded as per Shire Protocols.
Reporting requirements To be reported monthly in the Information Bulletin, with a copy of the report to be recorded to file.
CAT ACT 2011
CA1 Administering the Cat Act 2011
Power/Duty Delegated
|
Part |
|
|
Division |
|
|
Section |
8, 10, 11, 12, 13, 26, 36 , 37, 38, 39, 40, 42, 45, 47, 48, 49, 67, 70, 77 |
|
Sub section |
|
|
Local Law |
|
|
Relevant Policies |
|
Previous Delegation # N/A
Detail of delegation
The Council delegates authority to the Chief Executive Officer to perform the functions in relation to the administration of the Cat Act 2011 including the following:
· s8(2) - receive applications for the grant or renewal of the registration of a cat.
· s9(1)(a) - grant or refuse to grant a registration.
· s9(1)(b) - grant or refuse to renew a registration.
· s9(5) - require an applicant for cat registration to give any document or information required to determine the application within a specified time of not more than 21 days.
· s10 - cancel the registration of a cat.
· s11(1)(a)(b)(c) - allot a registration number, tag, and certificate to a registered cat.
· s11(2) - replace a registration tag, or certificate to the owner of a registered cat, if satisfied that they have been lost, stolen, damaged or destroyed.
· s12 - maintain and update a register of cats.
· s13 - give notice in writing, within 7 days, of any decision made by the local government in relation to the registration or tagging of a cat, informing them of the reasons for the decision and the right to apply for a review of the decision.
· s26 - issue a cat control notice.
· s36 - receive applications for the approval, or renewal of approval to breed.
· s37(1)(a)(b) - grant or refuse to grant the approval for a person to breed cats, or renew or refuse to renew an approval for the person to breed cats.
· s37(3) - require an applicant for approval to breed cats, to give any document or information required to determine the application within a specified time of not more than 21 days.
· s37(4) - refuse to consider an application to breed cats if an applicant does not comply with a requirement under s 37(3) within the specified time required.
· s38 - cancel the approval to breed cats .
· s39(1) - issue a certificate of approval to an applicant approved to breed cats.
· s39(2) - replace a certificate of approval to breed cats, if satisfied that it has been lost, stolen, damaged or destroyed.
· s40 - give notice in writing of any decision made in relation to an approval to breed cats.
· s42 - do all things necessary or convenient to be done for, or in connection with performing functions of the Act.
· s44(1) - delegate to the CEO the exercise of any of its powers under provisions of the Act.
· s48(1) - appoint or cancel the appointment of authorised persons for the purpose of performing particular functions of the Act.
· s49(3) - recover the reasonable costs associated with the destruction and disposal of a cat.
· s64 - grant an extension of time, up
to 28 days, for the payment of a modified penalty.
· s65 - withdraw an infringement notice.
· s73 - commence prosecutions for offences under the Cat Act 2011 and local laws.
· s77 - administer regulations made as if they were a local law.
Conditions Imposed
Delegation to be in writing, any sub-delegation to be in writing and reviewed every financial year.
Sub-delegation Permitted: Yes
Sub-delegated to:
Director Development Services:
s8(2), s9(1)(a), s9(1)(b),s9(5), s10, s11(1)(a)(b)(c), s11(2), s12, s13, s26, s36, s37(1)(a)(b), s37(3), s37(4), s38, s39(1), s39(2), s40, s42, s48(a), s49(3), s64, s65, s73, and s77
Manager Health, Emergency & Ranger Services:
s8(2), s9(1)(a), s9(1)(b),s9(5), s10, s11(1)(a)(b)(c), s11(2), s12, s13, s26, s36, s37(1)(a)(b), s37(3), s37(4), s38, s39(1), s39(2), s40, s42,s49(3), s64, s65, and s77
Ranger Coordinator:
s8(2), s9(1)(a), s9(1)(b),s9(5), s11(1)(a)(b)(c), s11(2), s12, s26, s42, and
s77
Rangers:
s8(2), s9(1)(a), s9(1)(b),s9(5), s11(1)(a)(b)(c), s11(2), s12, s42, and s77
Customer Service Officers:
s8(2), s9(1)(a), s9(1)(b),s9(5), s11(1)(a)(b)(c), s11(2), s12, s42, and s77
Record requirements Documentation to be recorded as per Shire Protocols.
Reporting requirements To be reported monthly in the Information Bulletin, with a copy of the report to be recorded to file ARE02 (Delegations of Authority Register).
CONTROL OF VEHICLES (OFF ROAD AREAS) ACT 1978
CVA1 Vehicular Access to Prohibited Areas of Cable Beach
Head of Power Control of Vehicles (Off Road Areas) Act 1978
Power/Duty Delegated
|
Part |
|
|
Division |
|
|
Section |
4A Delegation by Director General 6 Driving and using of off road vehicles, offences |
|
Sub section |
|
|
Local Law |
Local Government Property and Public Places 2012 |
|
Relevant Policies |
3.1.20 Traffic Management For Events 4.2.15
5.1.11 Events |
Previous Delegation # D.84
Detail of delegation
In accordance with the exemption notice published in the Government Gazette No 131 on the 26 July 2013, the Chief Executive Officer is delegated authority to approve vehicular access to the prohibited areas of Cable Beach.
Conditions Imposed
Nil
Sub-delegation Permitted No
Sub-delegated to N/A
Record requirements Documentation to be recorded to the relevant file LAW005.
Reporting requirements To be reported monthly in the Information Bulletin, with a copy of the report to be recorded to file ARE02 (Delegations of Authority Register).
DOG ACT 1976
DA1 Administering the Dog Act 1976
Head of Power Dog Act 1976 (Section 10AA)
Power/Duty Delegated
|
Part |
|
|
Division |
|
|
Section |
10A, 11, 14, 15, 16, 16AA, 16A, 17A(2), 17, 19, 27 (4), 29, 33E,33F (6), 33G, 33F, 33H,33M, 39, 44, 47, 48 (4) |
|
Sub section |
|
|
Local Law |
Dogs Local Law 2012 |
|
Relevant Policies |
4.5.4 Keeping of 3-6 Dogs |
Previous Delegation # D.90
Detail of delegation
The Council delegates authority to the Chief Executive Officer to perform the functions in relation to the administration of the Dog Act 1976 including the following:
· s 10A - make payments to registered veterinarians toward sterilization costs of a dog owned by an eligible person residing within the district.
· s 11(1) - establish and maintain one or more dog management facilities appointing authorised persons to administer those facilities.
· s 14(1) - maintain an accurate and up to date register of dogs registered by the local government.
· s 15(4A) - waive or discount a registration fee for an individual or any class of dogs within the district with the exception of declared dangerous dogs.
· s 16(1) - register a dog that is ordinarily kept within the district upon receipt of a fee and application form signed by or on behalf of the owner.
· s 16(2) – direct a registration officer to refuse the application and refund the fee.
· s 16(3) – in the specified circumstances, direct a registration officer to refuse to effect or renew the registration of a dog, and/or direct that the registration of a dog be cancelled.
· s 16(4) – notify the applicant or the person in whose name the registration was effected.
· s 16AA(2) - deal with a person over the age of 18 nominated in writing by the registered owner of a dog to be their delegate.
· s 16A(1) - change the ownership of a dog other than a declared dangerous dog within 28 days of the receipt of written notification.
· s 17A(2) - provide written notice to the owner of an unregistered dog, that their dog may not be registered within the district, informing them of their right to apply for a review of the decision.
· s 17(4) - apply to a Justice of the Peace for an order to seize a dog that has its registration refused to be effected or renewed in accordance with section 17(4) and Section 17(5).
· s 17(6) - cause a dog seized because its registration was refused to be effected or renewed, to be destroyed or otherwise disposed of.
· s 19 - provide a refund of registration fees upon the cancellation of the registration of a dog and the return of its registration tag.
· S 26(3) - grant approval for the keeping of three (3) dogs.
· s 27(4) - grant a licence to an approved kennel establishment within the district.
· s 29(1) - appoint in writing, authorised persons to exercise on behalf of the local government the powers conferred by this Act.
· s 33E(1) - declare in writing an individual dog to be dangerous, or specifically authorise a person to do so.
· s 33F(1) - notify the owner in writing that their dog has been declared dangerous, giving reasons for the making of the declaration and outlining that a written objection may be raised within 7 days with the local government or the State Administrative Tribunal.
· s 33F(6) - consider a written objection raised in relation to a dangerous dog declaration and give a determination stating the reasons to the owner within 35 days of the receipt of the objection.
· s 33G(2) - give notice in writing to the to the owner of a seized declared dangerous dog, informing them of the seizure, place of detention, reasons for the seizure, intention to destroy, and right to raise an objection, where and as soon as that is practicable.
· s 33G(3) - detain any seized, declared dangerous dog until; any objection that is received has been considered, the time for making an application to the State Administrative Tribunal has passed, or if an application is made, that it has been determined in accordance with section 33G(3).
· s 33G(4)(b) - consider a written objection raised in relation to a dangerous dog declaration and give a determination stating the reasons to the owner within 35 days of the receipt of the objection in accordance with section 33G(4) and section 33G(5).
· s 33H(1) - revoke a declaration of dangerous dog or proposal to destroy if satisfied that the dog can be kept without the likelihood of any contravention of the Dog Act 1976.
· s 33H(2) - require the owner of a declared dangerous dog to attend with the dog, a course in behaviour and training, or otherwise to demonstrate a change in the behaviour of the dog, prior to considering any application for the revocation of a dangerous dog declaration.
· s 33H(3) - give notice in writing to the owner of a declared dangerous dog outlining the outcome of any application made seeking to revoke the declaration, and the reasons associated with the decision.
· s 33H(5) - consider an application for the revocation of a dangerous dog declaration and give a determination stating the reasons to the owner within 35 days of the receipt of the objection.
· s 33M(1)(a) - require the owner of a declared dangerous dog to pay a reasonable charge in regard to the expense incurred by the local government in making enquiries, investigations and inspections concerning the behaviour and containment of that dog, in addition to, and at the time of, payment of the registration fee.
· s 39(1) - apply to the Magistrates court seeking the destruction of an attack dog shown on the balance of probabilities to have caused injury or damage.
· s 44(2)(b) - authorise an employee of the local government to take proceedings in the name of the local government under the Dog Act 1976.
· s 47(2) - pay for the veterinary services provided in relation to a request from the local government.
· s 48(4) - administer regulations made under the Dog Act 1976 throughout the district as if they were a local law.
Conditions Imposed
Delegation to be in writing, any sub-delegation to be in writing and reviewed every financial year.
Sub-delegation Permitted: Yes
Sub-delegated to:
Director Development Services:
s 10A, s 11(1), s 15(4A), s 16(1), s
16AA(2), s 16A(1), s 17A(2), s 17(4), s 17(6), s 19,s 26(3), s 27(4), s
29(1), s 33E(1), s 33F(1), s 33F(6), s 33G(1), s 33G(2), s 33G(3), s
33G(4)(b), s 33G(6), s 33H(1), s 33H(2), s 33H(3), s 33H(5), s 33M(1)(a),
s 39(1), s 44(2)(b), s 47(2), s
48(4)
Manager Health, Emergency and Ranger Services:
s 10A, s 15(4A), s 16(1), s 16AA(2), s
16A(1), s 17A(2), s 17(4), s 17(6), s 19, s 26(3), s 27(4), s 33E(1), s
33F(1), s 33G(1), s 33G(2), s 33G(3), s33G(4)(b),
s 33G(6), s 33H(1), s 33H(2), s 33H(3), s 33M(1)(a), s 39(1), s
44(2)(b), s 47(2), s
48(4)
Ranger Coordinator:
s 16(1), s 16AA(2), s 16A(1), s 19, s 33G(1), s 48(4)
Rangers:
s 16(1), s 16AA(2), s 16A(1), s 19, s 33G(1), s 48(4)
Customer Service Officers and Development Administration Officers:
s 16(1), s 16AA(2), s 16A(1), s 19
Record requirements Documentation to be recorded to the relevant file.
Reporting requirements To be reported monthly in the Information Bulletin, with a copy of the report to be recorded to file ARE02 (Delegations of Authority Register).
FOOD ACT 2008
FA1 Administering the Food Act 2008
Head of Power Food Act 2008, (Section 118)
Power/Duty Delegated
|
Part |
|
|
Division |
|
|
Section |
65,66,67,110,112,121, 122,123,126 |
|
Sub section |
|
|
Local Law |
|
|
Relevant Policies |
|
Previous Delegation # D.51
The Council delegates authority to the Chief Executive Officer to perform the functions in relation to the administration of the Food Act 2008 including the following:
s65 - issuance of ‘prohibition notices’.
s66 - clearing and removing ‘prohibition notices’.
s67 - provide written notification of a decision not to issue a certificate of clearance.
s110 - grant or refuse the registration of a food business.
s112 - vary conditions or cancel the registration of a food business.
s121 - prepare and submit report to the CEO of the Department of Health.
s122 - appoint authorised officers.
s123 - issue certificates of authority to authorised officers.
s126(13) - appoint designated officers to issue, extend payment periods, receive payments or withdraw infringement notices.
Conditions Imposed
Sub-delegation Permitted Yes
Sub-delegated to:
Director Development Services, Manager Health, Emergency & Ranger Services, Coordinator Environmental Health:
s65, s66, s67, s110, s112, s121
Record requirements Documentation to be recorded to the relevant food premises and/or property or reserve file and where relevant on the staff member’s personnel file.
Reporting requirements To be reported monthly in the Information Bulletin, with a copy of the report to be recorded to file ARE02 (Delegations of Authority Register).
HEALTH ACT 1911
HA1
Health (Miscellaneous
Provisions) Act 1911 – Appointment of Deputy to Meet Functions
and Responsibilityies of the Act
Head of Power Health (Miscellaneous Provisions) Act 1911
Power/Duty Delegated
|
Part |
Part II |
|
Division |
Division 2 — Local governments |
|
Section |
26 |
|
Sub section |
|
|
Local Law |
Health Local Law 2006 |
|
Relevant Policies |
|
Previous Delegation # D.91
Detail of delegation
The Chief Executive Officer is delegated the power under to s26 - to appoint deputies to carry out the exercise and discharge all or any of the powers and functions of the local government.
Conditions Imposed Nil
Sub-delegation Permitted: Nil
Sub-delegated to: N/A
Record requirements Documentation to be recorded to the staff member’s personnel file. To be recorded on the Authorised Persons Register.
Reporting requirements To be reported monthly in the Information Bulletin with a copy of the report to be recorded to file ARE02 (Delegations of Authority Register).
LIQUOR CONTROL ACT 1988
LCA1 Liquor Control Act 1988 – Certificate of Local Government as to whether premises comply with Laws (Health and Building)
Head of Power Liquor Control Act 1988
Power/Duty Delegated
|
Part |
3 – Licences and Permits |
|
Division |
2 - Licences |
|
Section |
39 – Certificate of local government as to whether premises comply with laws |
|
Sub section |
|
|
Local Law |
|
|
Relevant Policies |
|
Previous Delegation # D.92
Detail of delegation
The Chief Executive Officer is delegated the power under s39 - to issue a certificate under the Liquor Control Act 1988 to accompany an application to the licensing authority.
Conditions Imposed
Sub-delegation Permitted: Yes
Sub-delegated to Director Development Services
Manager Planning & Building Services
Manager Health, Emergency & Ranger Services
Record requirements Documentation to be recorded to file HEA006 and the relevant property or reserve file.
Reporting requirements To be reported monthly in the Information Bulletin, with a copy of the report to be recorded to file ARE02 (Delegations of Authority Register).
LCA2 Liquor Licensing Extended Trading Permits
Head of Power Liquor Control Act 1988, Section 64
Power/Duty Delegated
|
Part |
3 Licences and permits |
|
Division |
6 Conditions, generally |
|
Section |
64 Imposing, varying and cancelling conditions |
|
Sub section |
|
|
Local Law |
|
|
Relevant Policies |
|
Previous Delegation # D.33
Detail of delegation
Pursuant to the provisions of the Liquor Control Act 1988, the Chief Executive Officer is delegated authority to determine to support or otherwise applications for extended trading for licensed premises.
Conditions Imposed
The Chief Executive Officer shall determine the need for a road traffic management plan and litter control plan prior to granting approval.
Sub-delegation Permitted Yes
Sub-delegated to Director Development Services
Manager Health Emergency & Ranger Services
Coordinator Environmental Health
Record requirements Documentation to be recorded to file HEA005.
Reporting requirements To be reported monthly in the Information Bulletin, with a copy of the report to be recorded to file ARE02 (Delegations of Authority Register).
PUBLIC HEALTH ACT 2016
PHA1 Public Health Act 2016 – Appointment of Authorised Officers
Head of Power Public Health Act 2016
Power/Duty Delegated
|
Part |
1 |
|
Division |
3 |
|
Section |
Sections 21 and 24 |
|
Sub section |
|
|
Local Law |
Health Local Law 2006 (or as amended) |
|
Relevant Policies |
|
Detail of delegation
The Chief Executive Officer is authorised to designate a person or class of persons as authorised officers under section 24 of the Act.
Conditions Imposed
Consideration must be given to any Department of Health guidelines or gazetted criteria for the appointment of authorised officers.
Record requirements Documentation to be recorded to the Authorised Officer’s personnel file.
Reporting requirements To be reported monthly in the Information Bulletin, with a copy of the report to be recorded to file ARE02 (Delegations of Authority Register).
PLANNING AND DEVELOPMENT ACT 2005 & LOCAL PLANNING SCHEME NO 6
PLA1 Built Strata Certificate of Approval – Forms 24 & 26
Head of Power Planning and Development (Local Planning Schemes) Regulations 2015 – Schedule 2 cl.82
Power/Duty Delegated
|
Instrument |
Strata Titles Act 1985 |
|
Part |
2 Strata Schemes and Survey Strata Schemes |
|
Division |
3 Creation of lots and common property |
|
Section |
24, 25 Certificate of Commission |
|
Sub section |
Nil |
|
Local Law |
Nil |
|
Relevant Policies |
Nil |
Previous Delegation # D.16
Detail of delegation
The Chief Executive Officer is delegated authority under the Strata Title Act 1985 to issue a preliminary approval strata plan (Form 24) and certificate of approval (Form 26).
Conditions Imposed
Any applications are to determined be in accordance with Local Planning Scheme No 6.
Sub-delegation Permitted Yes
Sub-delegated to Director Development Services
Statutory Planning
Coordinator Manager Planning & Building Services
Record requirements Documentation to be recorded to the relevant property or strata subdivision file.
Reporting requirements To be reported monthly in the Information Bulletin, with a copy of the report to be recorded to file ARE02 (Delegations of Authority Register).
PLA2 Certifying Premises Complies with Planning Laws
Head of Power Liquor Control Act 1988 s.40
Planning and Development (Local Planning Schemes) Regulations 2015 – Schedule 2 cl.82 and cl. 84
Power/Duty Delegated
|
Instrument |
Liquor Control Act 1988 |
|
Part |
3 – Licenses and permits |
|
Division |
2 - Licences |
|
Section |
40 - Certificate of planning authority as to whether use of premises complies with planning laws |
|
Sub section |
Nil |
|
Local Law |
Nil |
|
Relevant Policies |
Nil |
Previous Delegation # D.20
Detail of delegation
The Chief Executive Officer is delegated authority to issue a certificate of planning authority as to whether the use of the premises complies with planning laws.
Conditions Imposed
Any applications are to be determined in accordance with Local Planning Scheme No 6.
Sub-delegation Permitted Yes
Sub-delegated to Director Development Services
Statutory Planning Coordinator Manager Planning & Building Services
Record requirements Documentation to be recorded to the relevant property file.
Reporting requirements To be reported monthly in the Information Bulletin, with a copy of the report to be recorded to file ARE02 (Delegations of Authority Register).
PLA3 Certifying Premises Complies with Planning Laws – Motor Vehicles
Head of Power Motor Vehicle Repairers Act 2003 s13
Planning and Development (Local Planning Schemes) Regulations 2015 – Schedule 2 cl.82 and cl. 84
Power/Duty Delegated
|
Instrument |
Motor Vehicle Repairers Act 2003 |
|
Part |
2 Licensing of Motor Vehicle Repair Businesses |
|
Division |
2 Application for and grant of business licence |
|
Section |
13 Application Requirements |
|
Sub section |
Nil |
|
Local Law |
Nil |
|
Relevant Policies |
Nil |
Previous Delegation # D.21
Detail of delegation
The Chief Executive Officer is delegated authority to issue a certificate of planning authority as to whether the use of the premises complies with planning laws.
Conditions Imposed
Any applications are to be determined in accordance with Local Planning Scheme No 6.
Sub-delegation Permitted Yes
Sub-delegated to Director Development Services
Statutory Planning
Coordinator Manager Planning & Building Services
Record requirements Documentation to be recorded to the relevant property file.
Reporting requirements To be reported monthly in the Information Bulletin, with a copy of the report to be recorded to file ARE02 (Delegations of Authority Register).
PLA4 Delegation to Waive/Refund Planning Fees
Head of Power Planning and Development Act 2005 (s261)
Power/Duty Delegated
|
Instrument |
Planning & Development Regulations 2009 |
|
Part |
7 - Local government planning charges |
|
Division |
2 - Fees and other charges |
|
Section |
52 – Local government may waive or refund fees |
|
Sub section |
Nil |
|
Local Law |
Nil |
|
Relevant Policies |
Local Planning Policy 8.14 - Refunding and Waiving/Reducing of Planning Fees |
Previous Delegation # D.24
Detail of delegation
The Chief Executive Officer is delegated the exercise of powers and discharge of duties under section 52 of the Planning & Development Regulation 2009; to waive or refund planning fees.
Conditions Imposed
Refunding of fees/waiver thereof must be in accordance with a Council adopted Policy and schedule of fees and changes.
Sub-delegation Permitted Yes
Sub-delegated to Director of Development Services
Statutory Planning Coordinator Manager Planning
& Building Services
Record requirements Documentation to be recorded to the relevant property and/or subdivision file.
Reporting requirements To be reported monthly in the Information Bulletin, with a copy of the report to be recorded to file ARE02 (Delegations of Authority Register).
PLA5 Determine Development Application
Head of Power Local Planning Scheme No 6 (Part 11 section 11.3)
Planning and Development (Local Planning Schemes) Regulations 2015 – Schedule 2, cl.82
Power/Duty Delegated
|
Instrument |
Local Planning Scheme No 6 |
|
Part |
3, 4, 5, 6, 7, 8, 9, 10 |
|
Division |
Nil |
|
Section |
Nil |
|
Clause |
4.18, 4.23, 4.24, 5.3, 5.4, 5.7, 5.8, 5.11, 5.12, 5.13, 5.14, 5.17, 5.18, 5.28, 5.31, 6.2, 7.5, 8.3, 8.4, 9.2, 9.3, 9.4, 9.5, 10.3, 10.5, 10.6, 10.9 |
|
Local Law |
Nil |
|
Relevant Policies |
8.1 – LPP for the Provision and Development of Open Space Reserves managed by the Shire of Broome 8.4 – Staff Accommodation in General Agriculture, Rural Residential, Rural Small Holdings and Culture and Natural Resource Use Zones 8.5 – Shipping and / or Storage Containers 8.6 – Municipal Heritage Inventory – Development of Listed Places 8.7 – Sprinkler and Hydrant Water Tanks 8.8 – Transient Workers Accommodation 8.9 – Cash In Lieu of Car Parking –Chinatown Zone 8.10 – Parking, Landscaping, Storage, Crossover and Drainage Standards for Planning Applications 8.11 – Satellite Dishes, Masts and Antennas 8.12 – Fences 8.15 – Planning Approvals – Amendments/extensions to Term of Approval and Requests for Further Information 8.16 – Provisions of Parking 8.17 - Signs 8.19 – Telecommunications Infrastructure 8.20 – Provision of Public Art 8.21 – Design Guidelines –Town Centre Zone 8.22 – Chinatown Development Strategy 8.23 – Public Consultation – Planning Matters 8.24 – Forms of Residential Accommodation other than a Single House 8.25 - Old Broome Development Strategy 8.26 – Caretakers Dwellings and Attached Offices in the Light and Service Industry Zone 8.27 – Bed and Breakfast Accommodation 8.28 – Tourist Accommodation Developments (Excluding Caravan Parks) within the Tourist Zone. 8.30 – Minor Development 8.31 – Non-conforming Use Register |
|
Instrument |
Planning and Development (Local Planning Schemes) Regulations 2015, Schedule 2, Deemed Provisions |
|
Part |
7 – Requirement for development approval 8 – Applications for development approval 9 – procedure for dealing with applications for development approval |
|
Division |
Nil |
|
Section |
Nil |
|
Clause |
61, 63, 64, 65, 66, 67, 68, 71, 72, 73, 74, 77 |
|
Local Law |
Nil |
|
Relevant Policies |
As above |
Previous Delegation # D.27
Detail of delegation
Pursuant to clause 82 (1) of Schedule 2 of the Planning
and Development (Local Planning Schemes) Regulation 2015 (Deemed
Provisions) and Clause 11.3.1 of Local Planning Scheme No 6 (LPS6), the
Chief Executive Officer is delegated the following powers and discharge of
duties under the Deemed Provisions and Local Planning Scheme No 6 (LPS6):
· Make determinations on the
sufficiency of information provided with applications for development approval
pursuant to clause 63 of the Deemed Provisions and 9.2 and 9.3 of LPS6.
· Advertise and provide notice
of applications for development approval or consent pursuant to clause 64 of
the Deemed Provisions and 9.4 of LPS6.
· Determine applications
pursuant to clause 68 of the Deemed Provisions and Part 10 of LPS6 for
development approval or refusal including:
o Any conditions to be imposed or reasons for refusal;
o The period of validity; and
o The scope of the development approval.
· Allow for the extension of
the term of any development approval in accordance with clause 71 of the Deemed
Provisions and 10.5 of LPS6.
· Determine applications where
variations to Development Requirements of LPS6 pursuant to clauses, 43.23 (Extension of Non-Conforming Use), 43.24 (Change of Non-Conforming Use), 54.3 (Special Application of the Residential Design
Codes), 54.4 (Variation to Site and
Development Requirements) including variations to Schedule 158 (Development Standards, 54.7
(Car Parking), 54.8 (Service Areas), 54.11 (Height of Buildings), 54.12 (Broomestyle Architecture), 54.13 (Inappropriate or incongruous development), 54.14 (Landscaping and Existing Trees), 54.17 (Telecommunications infrastructure) and 54.18 (Control of Advertisements) are proposed.
· Any matter described in the
Residential Design Codes including variations and determinations under design
principles and clause 54.2 and 54.3 (Residential Design Codes) of LPS6.
· Prescribe, vary, specify and determine requirements, standards or limitations which may be prescribed, varied, specified or determined under the Scheme with respect to the use or development of land or buildings.
· Determine any works or uses
that are temporary and in existence longer than 48 hours pursuant to clause 61
(1) (f) and 61 (2) (d) of the Deemed Provisions and clause 8.2.1of LPS6.
· Determine any amendment
applications pursuant to clause 77 (Amending or cancelling development
approval) of the Deemed Provisions and clause 8.3 (Amending or Revoking a
Planning Approval) of LPS6.
· Determine any retrospective
applications pursuant to clause 65 (Subsequent approval of development) of the
Deemed Provisions and clause 8.4 (Unauthorised Existing Developments) of
LPS6.
· Make determinations to vary
provisions pursuant to clause clause 12 of the Deemed Provisions and clause
7.5 of LPS6 to facilitate the conservation of a place entered in the
Register of Places under the Heritage of Western Australia Act 1990 or Listed
in the Heritage List under Clause 8 of the Deemed Provisions and
clause 7.1.1 of LPS6.
· Determining Applications in
accordance with Structure Plans pursuant to clause 27 of the Deemed Provisions and
clause 5.27 and 5.28 of LPS6.
· In accordance with clause 75
(1) (c) of the Deemed Provisions and clause 10.9 of LPS6 agree to the
extension of the Deemed Refusal time frame.
· Make any determination and exercise any discretionary powers contained in LPS6 and its Schedules and the Deemed Provisions.
· Determine the land use
pursuant to clause 43.18 of LPS6.
· Determine development
applications which modifies or varies a Local Development Plan pursuant to
clause 56 of the Deemed Provisions.
Conditions Imposed
Authority only to be exercised following appropriate
consideration of the matters listed in Clause 67 of the Deemed Provisions and
clause 10.2 of the LPS6 and:-
1. Required consultation has to be conducted, delegation can be exercised where concerns raised through consultation is not relevant planning consideration or where concerns can be addressed by way of conditions or mitigated design. Where concerns raised are relevant planning considerations that cannot be addressed or mitigated through conditions a report to Council shall be prepared.
2. Delegation can only be exercised to the extent that the Scheme or Council Policy provides for variations, where variation to Council policy is proposed a report will be prepared to Council.
Sub-delegation Permitted Yes
Sub-delegated to Director of Development Services
Statutory Planning Coordinator Manager Planning
& Building Services
Record requirements Documentation to be recorded to the relevant property or reserve file.
Reporting requirements To be reported monthly in the Information Bulletin, with a copy of the report to be recorded to file ARE02 (Delegations of Authority Register).
PLA6 Gaming and Wagering, Applications & Renewals
Head of Power Gaming and Wagering Commission Act 1987
Planning and Development (Local Planning Schemes) Regulations 2015 – Schedule 2 cl.82 and cl. 84
Power/Duty Delegated
|
Instrument |
Gaming and Wagering Commission Act 1987 |
|
Part |
5 – Permitted gambling |
|
Division |
1 – Gaming generally |
|
Section |
55 – Approving premises for gaming |
|
Sub section |
3 |
|
Local Law |
Nil |
|
Relevant Policies |
Nil |
Previous Delegation # D.37
Detail of delegation
The Chief Executive Officer is delegated authority to deal with applications and renewals under the Gaming and Wagering Commission Act 1987 and issue the Section 55 – Certification of Local Government Authority
Conditions Imposed
Any applications are to be determined in accordance with Local Planning Scheme No 6, Food Act 2008 and Health Act 1911.
Sub-delegation Permitted Yes
Sub-delegated to Director Development Services
Manager Health, Emergency & Rangers Services
Statutory Planning Coordinator Manager Planning & Building Services
Record requirements Documentation to be recorded to the relevant property or reserve file.
Reporting requirements To be reported monthly in the Information Bulletin, with a copy of the report to be recorded to file ARE02 (Delegations of Authority Register).
PLA7 Issue of Stop, Direction, Works Notices - Planning
Head of Power Local Government Act 1995 (Section 5.42 & 5.44) Planning and Development Act 2005
Power/Duty Delegated
|
Instrument |
Planning and Development Act 2005 |
|
Part |
13– Enforcement and administration |
|
Division |
1 - Enforcement |
|
Section |
214 |
|
Sub section |
Nil |
|
Local Law |
Nil |
|
Relevant Policies |
Local Planning Policy 8.13 - Compliance |
Previous Delegation # D.42
Detail of delegation
The Chief Executive Officer is delegated authority to:
1. Issue and/or withdraw a written direction to the owner or other person undertaking the development to stop and not recommence pursuant with Clause 214 (2) of the Planning and Development Act 2005 (the Act)
2. Issue and/or withdraw a written direction to the owner or other person undertaking the development to remove, pull down, take up or alter the development and not recommence pursuant with Clause 214 (3) of the Planning and Development Act 2005 (the Act)
3. Issue and/or withdraw a written direction to the owner or other person undertaking the development to execute works if it appears that delay in the execution of the works would prejudice the effective operation of Local Planning Scheme No 6 pursuant with Clause 214 (5) of the Planning and Development Act 2005 (the Act)
for the purpose of ensuring the provisions of Local Planning Scheme No 6 are being observed.
Conditions Imposed
The Chief Executive Officer is to have regard to Local Planning Policy 8.13 - Compliance.
Sub-delegation Permitted: Yes
Sub-delegated to: Director Development Services
Record requirements Documentation to be recorded to the relevant property or reserve file.
Reporting requirements To be reported monthly in the Information Bulletin, with a copy of the report to be recorded to file ARE02 (Delegations of Authority Register).
PLA8 Local Development Plans
Head of Power Planning and Development (Local Planning Schemes) Regulations 2015 – Schedule 2 cl.82 and cl.84
Power/Duty Delegated
|
Instrument |
Planning and Development (Local Planning Schemes) Regulations 2015 – Schedule 2 |
|
Part |
6 of Schedule 2 of the Planning and Development (Local Planning Schemes) Regulations 2015 |
|
Division |
Nil |
|
Section |
48, 49, 50, 51 & 52 |
|
Sub section |
Nil |
|
Local Law |
Nil |
|
Relevant Policies |
Nil |
Previous Delegation # N/A
Detail of delegation
Pursuant to Part 6 of Schedule 2 of the Planning and Development (Local Planning Schemes) Regulations 2015, the Chief Executive Officer is delegated the following powers and discharge of duties:
· Consider the material provided by the applicant and determine whether sufficient information is provided or if further information from the applicant is required before the local development plan can be accepted for assessment under clause 49 (1) of Schedule 2 of the Planning and Development (Local Planning Schemes) Regulations 2015.
· Determine under clause 50 (3) whether the local development plan is to be advertised.
· Consider submissions and take such actions as may be required under clause 51 of Schedule 2 of the Planning and Development (Local Planning Schemes) Regulations 2015.
· Determine whether the local development plan is approved, is required to be modified or resubmitted or refused under clause 52 of Schedule 2 of the Planning and Development (Local Planning Schemes) Regulations 2015.
Conditions Imposed
Authority only to be exercised following appropriate consideration of the matters listed under clause 48 of Schedule 2 of the Planning and Development (Local Planning Schemes) Regulations 2015 and the local development plan is consistent with Local Planning Scheme No 6 and the Local Planning Strategy.
Authority to not advertise a local development plan can only be exercised where it can be demonstrated that it would not adversely affect the owners or occupiers within the area covered by the plan or an adjoining area.
Sub-delegation Permitted Yes
Sub-delegated to Director Development Services
Record requirements Documentation to be recorded to the relevant property or subject file.
Reporting requirements To be reported monthly in the Information Bulletin, with a copy of the report to be recorded to file ARE02 (Delegations of Authority Register).
PLA9 Structure Plans
Head of Power Planning and Development (Local Planning Schemes) Regulations 2015 – Schedule 2 cl.82 and cl.84
Power/Duty Delegated
|
Instrument |
Planning and Development (Local Planning Schemes) Regulations 2015 – Schedule 2 |
|
Part |
4 of Schedule 2 of the Planning and Development (Local Planning Schemes) Regulations 2015 |
|
Division |
Nil |
|
Section |
16, 17, 18, 19 |
|
Sub section |
Nil |
|
Local Law |
Nil |
|
Relevant Policies |
LPP 8.32 – Shire of Broome Structure Plan and Subdivision Standards |
Previous Delegation # N/A
Detail of delegation
The Chief Executive Officer is delegated the following powers and discharge of duties:
1. Consider the material provided by the applicant and determine whether sufficient information is provided or if further information from the applicant is required before the structure plan can be accepted for assessment under clause 17 (1) of Schedule 2 of the Planning and Development (Local Planning Schemes) Regulations 2015.
2. Advertise the structure plan in accordance with clause 18 of Schedule 2 of the Planning and Development (Local Planning Schemes) Regulations 2015.
3. Consider submissions and take such actions as may be required under clause 19 of Schedule 2 of the Planning and Development (Local Planning Schemes) Regulations 2015.
4. Prepare a report on the proposed structure plan and provide it to the Western Australian Planning Commission in accordance with clause 20 of Schedule 2 of the Planning and Development (Local Planning Schemes) Regulations 2015.
Conditions Imposed
Authority only to be exercised following appropriate consideration of the matters listed under clause 16 of Schedule 2 of the Planning and Development (Local Planning Schemes) Regulations 2015 and the structure plan is consistent with Local Planning Scheme No 6 and the Local Planning Strategy.
Sub-delegation Permitted Yes
Sub-delegated to Director Development Services
Statutory Planning Coordinator Manager Planning
& Building Services
(except the power outlined in item 4)
Record requirements Documentation to be recorded to the relevant property or subject file.
Reporting requirements To be reported monthly in the Information Bulletin, with a copy of the report to be recorded to file ARE02 (Delegations of Authority Register).
PLA10 Subdivision and Amalgamation Applications & Clearance
Head of Power Planning & Development Act 2005
Planning and Development (Local Planning Schemes) Regulations 2015 – Schedule 2 cl.82 and cl. 84
Power/Duty Delegated
|
Instrument |
Planning and Development Act 2005 |
|
Part |
10 – Subdivision and development control |
|
Division |
2 – Approval for subdivision and certain transactions |
|
Section |
142 - Consultation with local governments etc, as to proposed subdivision 145 – Approving a diagram or plan of survey of approval plan of subdivision |
|
Sub section |
|
|
Local Law |
Nil |
|
Relevant Policies |
LPP 8.32 – Shire of Broome Structure Plans and Subdivision Standards |
Previous Delegation # D.76
Detail of delegation
The Chief Executive Officer is delegated authority to respond to the Western Australian Planning Commission (WAPC) regarding applications for subdivision or amalgamation or strata submissions and the clearance of any subdivision conditions imposed by the Western Australian Planning Commission.
Conditions Imposed
Authority to provide a response to the WAPC on an application for subdivision/amalgamation is to be exercised only when the response provided (either support with or without conditions or not to support) is consistent with an approved Structure Plan, Development Approval or the site and development requirements under Local Planning Scheme No 6 (LPS6) and the Planning and Development (Local Planning Schemes) Regulations 2015.
Authority to provide a response to the WAPC on a request for clearance of subdivision conditions is only to be exercised where the proponent has met with Council’s requirements of subdivisional works; this is to include the acceptance of bonds or securities as performance guarantees against unfulfilled conditions.
Sub-delegation Permitted Yes
Sub-delegated to Director Development Services
Statutory Planning Coordinator Manager Planning & Building Services
Record requirements Documentation to be recorded to the relevant subdivision file.
Reporting requirements To be reported monthly in the Information Bulletin, with a copy of the report to be recorded to file ARE02 (Delegations of Authority Register).
PLA11 Submit Responsible Authority Report
Head of Power Planning and Development Act 2005 (section 171A, 171B)
Planning and Development (Development and Assessment Panels) Regulation 2011 (regulation 12)
Planning and Development (Local Planning Schemes) Regulations 2015 – Schedule 2 cl.82
Power/Duty Delegated
|
Instrument |
Planning and Development Act 2005 |
|
Part |
11A |
|
Division |
1 |
|
Section |
171A, 171B |
|
Sub section |
Nil |
|
Local Law |
Nil |
|
Regulation |
12 |
|
Relevant Policies |
8.1 – LPP for the Provision and Development of Open Space Reserves managed by the Shire of Broome 8.4 –Staff Accommodation in General Agriculture, Rural, Residential, Rural Small Holdings and Culture and Natural Resources Use Zones 8.5 – Shipping and / or Storage Containers 8.6 –Heritage List – Development of Listed Places 8.7 – Sprinkler and Hydrant Water Tanks 8.8 – Transient Workers Accommodation 8.9 – Cash In Lieu of Car Parking –Chinatown Zone 8.10 – Parking, Landscaping, Storage, Crossover and Drainage Standards for Planning Applications 8.11 – Satellite Dishes, Masts and Antennas 8.12 – Fences 8.15 – Planning Approvals – Amendments/extensions to Term of Approval and Requests for Further Information 8.16 – Provisions of Parking 8.17 - Signs 8.19 – Telecommunications Infrastructure 8.20 – Provision of Public Art 8.21 – Design Guidelines –Town Centre Zone 8.22 – Chinatown Development Strategy 8.23 – Public Consultation – Planning Matters 8.24 – Forms of Residential Accommodation other than a Single House 8.25 - Old Broome Development Strategy 8.26 – Caretakers Dwellings and Attached Offices in the Light and Service Industry Zone 8.27 – Bed and Breakfast Accommodation 8.28 – Tourist Accommodation Developments (Excluding Caravan Parks) within the Tourist Zone. 8.30 – Minor Development |
Previous Delegation # D.78
Detail of delegation
The Chief Executive Officer is delegated to submit the Responsible Authority Report to the presiding member of the Development Assessment Panel.
Conditions Imposed
Authority only to be exercised where:
1. Consideration has been given to the matters listed in clause 67 ‘matters to be considered by local government’ of Schedule 2 of the Planning and Development (Local Planning Schemes) Regulations 2015 and Clause 10.2 of Local Planning Scheme No 6.
2. Required consultation has to be conducted, delegation can be exercised where concerns raised through consultation is not relevant planning consideration or where concerns can be addressed by way of conditions or mitigated design. Where concerns raised are relevant planning considerations that cannot be addressed or mitigated through conditions, a report to Council shall be prepared.
Sub-delegation Permitted Yes
Sub-delegated to Director of Development Services
Statutory Planning Coordinator Manager Planning &
Building Services
Record requirements Documentation to be placed on the property file and in the Information Bulletin Report
Reporting requirements To be reported monthly in the Information Bulletin, with a copy of the report to be recorded to file ARE02 (Delegations of Authority Register).
________________________________________________________________________
REVOKED DELEGATIONS
D.04 Authorised Persons - Building
(Revoked OMC 31 March 2016)
D.05 Authorised Persons - Planning
(Revoked OMC 31 March 2016)
D.06 Authority to Commence Prosecutions
(Revoked OMC 31 March 2016)
D.07 Bank Guarantees and Performance Bonds
(Revoked OMC 31 March 2016)
D.08 Breach of the Food Act 2008, Issuing an Infringement Notice
(Revoked OMC 31 March 2016)
D.09 Breach of the Food Act 2008 - Withdrawal of Infringement Notice
(Revoked OMC 31 March 2016)
D.11 Broome Recreation and Aquatic Centre Reserve Kiosk/Bar and the Glenn and Pat Medlend Pavilion – Special Event access
(Revoked OMC 31 March 2016)
D.13 Building Orders
(Revoked OMC 31 March 2016)
D.14 Building Permit – Approve or Refuse
(Revoked OMC 31 March 2016)
D.17 Camping, Approval to Camp in an Area other than a Caravan Park and Camping Ground
(Revoked OMC 31 March 2016)
D.25 Demolition Permit – Approve or Refuse
(Revoked OMC 31 March 2016)
D.30 Events in Public Places other than Roads and Hired Venues
(Revoked OMC 31 March 2016)
D.31 Events on Roads
(Revoked OMC 31 March 2016)
D.34 Food Act 2008 - Functions of Enforcement Agencies
(Revoked OMC 31 March 2016)
D.35 Food Act 2008 - Registration of Food Businesses
(Revoked OMC 31 March 2016)
D.36 Food Act 2008 - Variation of Conditions or Cancellation of Registration of Food Businesses
(Revoked OMC 31 March 2016)
D.41 Issue of Prohibition Order
(Revoked OMC 31 March 2016)
D.43 Keeping of 3-6 Dogs
(Revoked OMC 31 March 2016)
D.48 Occupancy Permit & Building Approval Certificates - Extension of Duration
(Revoked OMC 31 March 2016)
D.49 Occupancy Permits & Building Approval Certificates – Issue of
(Revoked OMC 31 March 2016)
D.52 Operational – Authorised Officers (Cat Act 2011), Appointment of
(Revoked OMC 31 March 2016)
D.55 Operational – Designated Officer, Appointments of for the Purposes of Administering the Food Act 2008
(Revoked OMC 31 March 2016)
D.56 Operational – Designated Persons (Planning) for issuing of Infringement Notices
(Revoked OMC 31 March 2016)
D.58 Operational – Prosecution of Offences
(Revoked OMC 31 March 2016)
D.59 Outdoor Dining Licenses
(Revoked OMC 31 March 2016)
D.60 Permission to construct on, over or under a public thoroughfare or public place
(Revoked OMC 31 March 2016)
D.62 Powers and Functions Under the Health Act 1911 and Subsidiary Regulations, Local Laws and Orders made thereunder
(Revoked OMC 31 March 2016)
D.65 Rates and Service Charges
(Revoked OMC 31 March 2016)
D.70 Records Destruction Approval Lists
(Revoked OMC 31 March 2016)
D.73 Roads, Sand, Silt and Other Soil Material - Removal from Shire Roads
(Revoked OMC 31 March 2016)
D.74 Strata Titles, Certificate of Approval
(Revoked OMC 31 March 2016)
D.75 Strata Titles, Issue of an Occupancy Permit Strata or Building Approval Certificate Strata for registration of strata scheme, plan of re-subdivision
(Revoked OMC 31 March 2016)
D.77 Subdivision Clearance
(Revoked OMC 31 March 2016)
D.83 Trading, Outdoor Dining and Street Entertainment
(Revoked OMC 31 March 2016)
D.85 Venue and Facility Hire – Broome Civic Centre
(Revoked OMC 31 March 2016)
D.86 Venue and Facility Hire – Broome Recreation and Aquatic Centre
(Revoked OMC 31 March 2016)
D.87 Venue Hire – Cable Beach Amphitheatre, Town Beach, Concourse - Male and Haynes Ovals
(Revoked OMC 31 March 2016)
D.89 Bush Fires Act 1954 – Powers and Duties of a Local Government
(Revoked OMC 31 March 2016)
|
10.1 LOCAL EMERGENCY MANAGEMENT COMMITTEE MEETING MINUTES - 7 DECEMBER 2016 LOCATION/ADDRESS: Nil APPLICANT: Nil FILE: EMS02 AUTHOR: Executive Support Officer - Development CONTRIBUTOR/S: Nil RESPONSIBLE OFFICER: Director Development Services DISCLOSURE OF INTEREST: Nil DATE OF REPORT: 23 January 2017 |
|
SUMMARY: This report presents the minutes and associated recommendations of the Local Emergency Management Committee (LEMC) meeting held on 7 December 2016 for Council’s consideration. This report also requests that Council endorses the revised Terms of Reference for the Local Emergency Management Committee. |
BACKGROUND
Previous Considerations
OMC 26 February 2015 Item 10.2
OMC 30 April 2015 Item 10.4
OMC 15 October 2015 Item 10.1
OMC 26 November 2015 Item 10.4
OMC 25 February 2016 Item 10.2
OMC 30 June 2016 Item 10.2
OMC 29 September 2016 Item 10.1
The Local Emergency Management Committee (LEMC) is established by Council under section 38 of the Emergency Management Act 2005 (Act). In accordance with section 39 of the Act, the functions of the LEMC are:
(a) to advise and assist the local government in assuring that local emergency management arrangements are established for its district;
(b) to liaise with public authorities and other persons in the development, review and testing of local emergency management arrangements; and
(c) to carry out other emergency management activities as directed by the State Emergency Management Committee, or prescribed by the Emergency Management Regulations 2006.
COMMENT
Minutes of LEMC meeting held 7 December 2016
The minutes of the LEMC meeting held 7 December 2016 are included as Attachments 1 and 2 of this report.
At the meeting, the LEMC discussed the following:
Item 5.1 Updates from LEMC members
Each LEMC member provided an update on their representative body’s emergency management activities since the last LEMC meeting.
Item 5.2 Status Report – The 2016 Status Report was discussed and updated
The status of actions from previous LEMC meetings were circulated and discussed.
Item 5.3 Broome Volunteer Sea Rescue Group – Letter of Introduction – Management Committee
The letter from the Broome Volunteer Sea Rescue Group to the Broome Police introducing the new Management Committee for the Broome Volunteer Sea Rescue Group was tabled.
Item 5.4 Shire of Broome Local Emergency Management Committee District Emergency Management Advisor Report 7 December 2016
The report from the District Emergency Management Advisor was tabled.
Item 5.5 Welfare Shelter for Pets
It was discussed that a public enquiry was received by the Shire of Broome about whether a welfare shelter is available for pets and their owner in the event of a cyclone. Advice was given that there are currently no welfare shelters that can accommodate pets. This was presented to the LEMC for consideration for future planning.
The following reports of officers were considered:
Item 6.1 Expression of Interest to Become a Member
of the Local Emergency Management Committee
An expression of interest was received from the Department of Human Services to become a member of LEMC. As a result, this report sought LEMC’s endorsement to amend the Terms of Reference for LEMC to include the Department of Human Services as an additional agency.
COMMITTEE RESOLUTION:
(REPORT RECOMMENDATION)
Moved: Brendon Barwick Seconded: Megan Spence
That the Local Emergency Management Committee:
1. amend the Terms of Reference for the Local Emergency Management Committee to appoint the following representatives:
(a) Deanne Hayward as the Department of Human Services Member; and
(b) Tanya Smith as the Department of Human Services Proxy
Item 6.2 Local Emergency Management Committee Meeting Dates for 2017
In accordance with the LEMC Terms of Reference, the LEMC is required to hold quarterly meetings (minimum 4 meetings per annum). The purpose of this report was to set meeting dates for 2017.
COMMITTEE RESOLUTION:
(REPORT RECOMMENDATION)
Moved: Holly Hanna Seconded: Gary Bradshaw
That the Local Emergency Management Committee:
1. adopt the following meeting dates for 2017 commencing at 10:00am in the Shire of Broome Function Room:
Wednesday 8 March 2017;
Wednesday 14 June 2017;
Wednesday 13 September 2017; and
Wednesday 13 December 2017
LEMC Terms of Reference
Since the Terms of Reference for the LEMC were endorsed at the 26 November 2015 Ordinary Meeting of Council, there have been several changes to the representatives of agencies on the LEMC. This is due to the high turnover of staff that is experienced throughout the Kimberley. It is therefore recommended that the Terms of Reference for LEMC be updated to refer to position titles rather than the names of agency representatives. This will ensure that the Terms of Reference remain accurate and up to date for a longer period.
It came to the Shire’s attention at the LEMC meeting on 7 December 2016 that the Broome Surf Life Saving Club were not listed as members in the Terms of Reference, even though they regularly attend meetings. Therefore, it is recommended that the Terms of Reference be amended to include the Broome Surf Life Saving Club as members.
In addition, the following new LEMC members are proposed to be included in the Terms of Reference for the reasons as stated:
· Department of Immigration and Border Protection – have requested to become members.
· Kimberley Aboriginal Medical Services Ltd – have requested to become members.
· Department of Human Services – have requested to become members, see minutes of the LEMC meeting on 7 December 2016.
· Department of Prime Minister and Cabinet – were previously a member of the LEMC, represented through the Indigenous Coordination Centre.
The Terms of Reference has been updated to show these changes (showing tracked changes) is included as Attachment 3 to this report.
The Terms of Reference show that the Beagle Bay Community delegate position remains vacant. It is therefore also recommended that Council call for Expressions of Interest to fill this community representative position on the LEMC.
CONSULTATION
As outlined in the minutes attached.
STATUTORY ENVIRONMENT
Emergency Management Act 2005
Section 36 Functions of local government
It is a function of a local government —
(a) subject to this Act, to ensure that effective local emergency management arrangements are prepared and maintained for its district;
(b) to manage recovery following an emergency affecting the community in its district; and
(c) to perform other functions given to the local government under this Act.
38 Local emergency management committees
(1) A local government is to establish one or more local emergency management committees for the local government’s district.
(2) If more than one local emergency management committee is established, the local government is to specify the area in respect of which the committee is to exercise its functions.
(3) A local emergency management committee consists of —
(a) a chairman and other members appointed by the relevant local government in accordance with subsection (4); and
(b) if the local emergency coordinator is not appointed as chairman of the committee, the local emergency coordinator for the local government district.
(4) Subject to this section, the constitution and procedures of a local emergency management committee, and the terms and conditions of appointment of members, are to be determined by the SEMC.
39 Functions of local emergency management committees
The functions of a local emergency management committee are, in relation to its district or the area for which it is established —
(a) to advise and assist the local government in ensuring that local emergency management arrangements are established for its district;
(b) to liaise with public authorities and other persons in the development, review and testing of local emergency management arrangements; and
(c) to carry out other emergency management activities as directed by the SEMC or prescribed by the regulations.
Section 41 Emergency management arrangements in local government district
(1) A local government is to ensure that arrangements (local emergency management arrangements) for emergency management in the local government’s district are prepared.
(2) The local emergency management arrangements are to set out —
(a) the local government’s policies for emergency management;
(b) the roles and responsibilities of public authorities and other persons involved in emergency management in the local government district;
(c) provisions about the coordination of emergency operations and activities relating to emergency management performed by the persons mentioned in paragraph (b);
(d) a description of emergencies that are likely to occur in the local government district;
(e) strategies and priorities for emergency management in the local government district;
(f) other matters about emergency management in the local government district prescribed by the regulations; and
(g) other matters about emergency management in the local government district the local government considers appropriate.
(3) Local emergency management arrangements are to be consistent with the State emergency management policies and State emergency management plans.
(4) Local emergency management arrangements are to include a recovery plan and the nomination of a local recovery coordinator.
(5) A local government is to deliver a copy of its local emergency management arrangements, and any amendment to the arrangements, to the SEMC as soon as is practicable after they are prepared.
Section 42 Reviewing and renewing local emergency management arrangements
(1) local government is to ensure that its local emergency management arrangements are reviewed in accordance with the procedures established by the SEMC.
(2) Local emergency management arrangements may be amended or replaced whenever the local government considers it appropriate.
Section 43 Local emergency management arrangements to be available for inspection
(1) A local government is to keep a copy of its local emergency management arrangements at the offices of the local government.
(2) The arrangements are to be available for inspection, free of charge, by members of the public during office hours.
(3) The arrangements may be made available in written or electronic form.
POLICY IMPLICATIONS
Nil.
FINANCIAL IMPLICATIONS
Nil.
RISK
Nil.
STRATEGIC IMPLICATIONS
Our People Goal – Foster a community environment that is accessible, affordable, inclusive, healthy and safe:
Effective communication
Affordable services and initiatives to satisfy community need
A healthy and safe environment
Our Organisation Goal – Continually enhance the Shire’s organisational capacity to service the needs of a growing community:
Sustainable and integrated strategic and operational plans
Responsible resource allocation
Effective community engagement
VOTING REQUIREMENTS
Absolute Majority
|
That Council: 1. Receives the minutes of the Local Emergency Management Committee held on 7 December 2016, and endorses the recommendations made by the Local Emergency Management Committee; 2. Endorses the updated Terms of Reference for the Local Emergency Management Committee as shown in Attachment 3 to this report; and 3. Requests the Chief Executive Officer seek expressions of interest to fill the Beagle Bay Community Representative position on the Local Emergency Management Committee. 4. (Absolute Majority Required) |
|
LEMC 7 December 2016 Unconfirmed Minutes |
|
|
LEMC 7 December 2016 Attachments (Confidential to Councillors and Directors Only) This attachment is confidential in accordance with Section 5.23(2) of the Local Government Act 1995 section 5.23(2)(b) as it contains “the personal affairs of any person”. |
|
|
LEMC Terms of Reference - Mark up - February 2017 |
|
10.2 BUSH FIRE ADVISORY COMMITTEE MEETING MINUTES - 7 DECEMBER 2016 LOCATION/ADDRESS: Nil APPLICANT: Nil FILE: AFC05 AUTHOR: Executive Support Officer - Development CONTRIBUTOR/S: Nil RESPONSIBLE OFFICER: Director Development Services DISCLOSURE OF INTEREST: Nil DATE OF REPORT: 23 January 2017 |
|
SUMMARY: This report presents the minutes and associated recommendations of the Bush Fire Advisory Committee (BFAC) meeting held on 7 December 2016 for Council’s consideration. This report also requests that Council endorse a revised Terms of Reference for the Bush Fire Advisory Committee. |
BACKGROUND
Previous Considerations
OMC 26 February 2015 Item 10.3
OMC 30 April 2015 Item 10.1
OMC 25 June 2015 Item 10.3
OMC 30 July 2015 Item10.1
OMC 26 November 2015 Item 10.3
OMC 30 June 2016 Item 10.1
OMC 29 September 2016 Item 10.2
The Bush Fire Advisory Committee (BFAC) meets a minimum of twice per year to provide advice to the Shire of Broome on:
1. All matters relating to the prevention, controlling and extinguishing of bushfires.
2. The planning and layout of fire breaks in the district.
3. Prosecutions for breaches of the Bush Fires Act 1956.
4. The formation of Bush Fire Brigades.
5. Coordination and cooperation between agencies within the district.
COMMENT
The minutes of the BFAC meeting held on 7 September 2016 are included as Attachments 1 and 2 of this report.
At the meeting, the BFAC discussed the following items:
Item 5.1 Status Report
The status of actions from previous BFAC meetings were circulated and discussed.
Item 5.2 Bush Fire Advisory Committee Contact List
The current contact list was reviewed and updated as applicable.
Item 5.3 Trevor Fish, 12 Mile Representative to work in conjunction with Darren Greenhill to also represent the Skuthorpe Area.
It was discussed that a Skuthorpe representative would be beneficial to have on the LEMC. It was therefore resolved to call for Expressions of Interest for this position.
COMMITTEE RESOLUTION
Moved: Trevor Fish Seconded: Chris Mitchell
That the Bush Fire Advisory Committee recommend that Council amend the Terms of Reference for the Bush Fire Advisory Committee to include a Skuthorpe Community Representative and invite Expressions of Interest for a Skuthorpe Community Representative.
Item 5.4 Memorandum of understanding entered by the Shire of Broome and Department of Fire and Emergency Services for the management of the Broome Volunteer Bush Fire Brigade
The memorandum of understanding for the management of the Broome Volunteer Bush Fire Brigade was discussed.
Item 5.5 Updates from members
Each BFAC member provided an update on their representative body’s bush fire management activities since the last BFAC meeting. The Department of Fire and Emergency Services provided a written update included as Attachment 3 to this report.
The following reports of officers were considered:
Item 6.1 Bush Fire Advisory Committee Meeting Dates for 2017
The purpose of this report was to set meeting dates for 2017.
The current Terms of Reference for the BFAC require bi-annual meetings to be held (minimum 2 meetings per annum). However in recent years the BFAC have been meeting quarterly to ensure regular updates and collaboration between members. Therefore, it is proposed that the Terms of Reference be revised to reflect this practice. The BFAC resolution reflects this proposed change.
|
COMMITTEE RESOLUTION: (REPORT RECOMMENDATION) Moved: Pat Foley Seconded: Ed Carroll That the Bush Fire Advisory Committee: 1. adopt the following meeting dates for 2017 commencing at 11:00am in the Shire of Broome Function Room:
Wednesday 8 March 2017 Wednesday 14 June 2017 Wednesday 13 September 2017 Wednesday 13 December 2017
|
BFAC Terms of Reference
Since the Terms of Reference for the BFAC were endorsed at the 26 November 2015 Ordinary Meeting of Council, there have been several changes to the representatives of agencies on the BFAC. This is due to the high turnover of staff that is experienced throughout the Kimberley.
It is therefore recommended that the Terms of Reference for the BFAC be updated to refer to position titles rather than the names of agency representatives. This will ensure that the Terms of Reference remain accurate and up to date over a longer period. The Terms of Reference updated to show these changes (tracked changes) is included at Attachment 4 to this report.
The Terms of Reference previously listed 1 x Councillor and Deputy – it is recommended these be updated to be in line with other Committee Terms of Reference, and list a Chairperson and Deputy Chairperson. This is reflected in the tracked changes Terms of Reference included at Attachment 4 to this report.
The Terms of Reference show that the Town of Broome, Beagle Bay Community and Dampier Peninsula Community Representative positions remain vacant. It is therefore also recommended that Council call for Expressions of Interest to fill these three community representative positions on the BFAC. Note that the BFAC has recommended that a Skuthorpe Community Representative be included in the Terms of Reference and Expressions of Interest be called for that position also.
Whilst revising the Terms of Reference it came to the Shire’s attention that the Bidyadanga Police and Dampier Peninsular Police were not listed on the Terms of Reference, even though they regularly attend meetings. Therefore it is recommended that the Terms of Reference be amended to include representatives from the Bidyadanga Police and Dampier Peninsula Police as members.
A number of other minor corrections and formatting changes have been made to the Terms of Reference as shown in Attachment 4.
The updated Terms of Reference state that the Committee shall meet quarterly to ensure that the BFAC is up to date on bush fire management matters and is able to progress actions arising from the Committee.
CONSULTATION
As outlined in the Minutes attached.
STATUTORY ENVIRONMENT
Bush Fires Act 1954
Section 67 – Advisory committees
1. A Local Government may at any time appoint such persons as it thinks fit as a Bush Fire Advisory Committee for the purpose of advising the Local Government regarding all matters relating to the prevention, controlling and extinguishing of bush fires, the planning of the layout of firebreaks in the district, prosecutions for breaches of this Act, the formation of bush fire brigades and the grouping thereof under group brigade officers, the ensuring of co-operation and co-ordination of bush fire brigades in their efforts and activities, and any other matter relating to bush fire control whether of the same kind, as, or a different kind from, those specified in this subsection.
2. A committee appointed under this section shall include a member of the Council of the Local Government nominated by it for that purpose as a member of the committee, and the committee shall elect one of their number to be Chairman thereof.
3. In respect to a committee so appointed, the Local Government shall fix the quorum for the transaction of business at meetings of the committee and may:-
(a) make rules for the guidance of the committee;
(b) accept the resignation in writing of, or remove, any member of the committee, appoint a person to fill that vacancy.
(c) where for any reason a vacancy occurs in the office of a member of the committee, appoint a person to fill that vacancy.
4. A committee appointed under this section:-
(a) may from time to time meet and adjourn as the committee thinks fit;
(b) shall not transact business at a meeting unless the quorum fixed by the Local Government is present;
(c) is answerable to the Local Government and shall, as and when required by the Local Government, report fully on its activities.
POLICY IMPLICATIONS
Nil.
FINANCIAL IMPLICATIONS
Nil.
RISK
Nil.
STRATEGIC IMPLICATIONS
Our People Goal – Foster a community environment that is accessible, affordable, inclusive, healthy and safe:
Effective communication
Accessible and safe community spaces
A healthy and safe environment
Our Organisation Goal – Continually enhance the Shire’s organisational capacity to service the needs of a growing community:
Sustainable and integrated strategic and operational plans
Responsible resource allocation
Effective community engagement
Improved systems, processes and compliance
VOTING REQUIREMENTS
Absolute Majority
|
That Council: 1. Receives the minutes of the Bush Fire Advisory Committee meeting held on 7 December 2016, and endorses the recommendations put forward by the Bush Fire Advisory Committee; 2. Endorses the updated Terms of Reference for the Bush Fire Advisory Committee as shown in Attachment 3 to this report; and 3. Requests the Chief Executive Officer seek expressions of interest to fill the Town of Broome Community, Beagle Bay Community, Dampier Peninsula Community and Skuthorpe Community Representative positions on the Bush Fire Advisory Committee. 4. (Absolute Majority Required) |
|
BFAC 7 December 2016 Unconfirmed Minutes |
|
|
BFAC 7 December 2016 Attachments (Confidential to Councillors and Directors Only) This attachment is confidential in accordance with Section 5.23(2) of the Local Government Act 1995 section 5.23(2)(b) as it contains “the personal affairs of any person”. |
|
|
BFAC AO Report 7 Dec 2016 - DFES |
|
|
BFAC Terms of Reference - Mark up February 2017 |
|
10.3 MINUTES OF THE AUDIT COMMITTEE MEETING HELD 14 FEBRUARY 2017 LOCATION/ADDRESS: Nil APPLICANT: Nil FILE: FRE02 AUTHOR: Director Corporate Services CONTRIBUTOR/S: Nil RESPONSIBLE OFFICER: Director Corporate Services DISCLOSURE OF INTEREST: Nil DATE OF REPORT: 15 February 2017 |
|
SUMMARY: This report presents to Council the outcomes of the Audit Committee’s meeting held 14 February 2017, and seeks consideration of adoption of the recommendations pertaining to the 2016 Compliance Audit Return, Quarter 2 Finance and Costing Review (FACR) and Mid-Year Statutory Budget Review and the Chief Executive Officer’s Report on the Review of Risk Management, Internal Control and Legislative Compliance. |
BACKGROUND
Previous Considerations
OMC 28 August 2014 Item 10.2
OMC 27 November 2014 Item 10.3
OMC 2 June 2015 Item 10.1
OMC 26 May 2016 Item 10.3
OMC 30 June 2016 Item 9.4.6
OMC 24 November 2016 Item 10.2
2016 Compliance Audit Return Review
Section 7.13(1)(i) of the Local Government Act 1995 requires that each local government carry out a compliance audit for the period 1 January to 31 December each year. The Compliance Audit is an in-house self audit that is undertaken by staff.
In accordance with Regulation 14 of the Local Government (Audit) Regulations 1996 the Audit Committee is to review the Compliance Audit Return (CAR), and is to report to Council the results of that review. The CAR is to be:
1. presented to an Ordinary Meeting of Council
2. adopted by Council; and
3. recorded in the minutes of the meeting at which it is adopted.
Following the adoption by Council of the CAR, a certified copy of the return, along with the relevant section of the minutes and any additional information detailing the contents of the return are to be submitted to the Department of Local Government and Communities (DLGC) by 31 March 2017.
The return requires the Shire President and the Chief Executive Officer (CEO) to certify that the statutory obligations of the Shire of Broome have been complied with.
Quarter 2 Finance and Costing Review and Mid-Year Statutory Budget Review
Between 1 January and 31 March, a local government is to carry out a review of its annual budget for that year and this is to be submitted to the Council within 30 days of completion. The terms of reference of the Audit Committee include a review of the half yearly financial results compared to budget from 1 July 2016 to 31 December 2016.
The Shire of Broome has carried out its 2nd Quarter Finance and Costing Review (FACR), which is intended to be the Shire’s statutory mid-year review, for the 2016/17 Financial Year, reviewing income and expenditure against budget for the period ending 31 December 2016. This process aims to highlight over and under expenditure of funds for the benefit of Executive and Responsible Officers to ensure good fiscal management of their projects and programmes. As the Statutory mid-year review, a formal report is also required to be lodged with the DLGC.
Once this process is completed, a report is compiled identifying budgets requiring amendments to be adopted by Council. Additionally, a summary provides the financial impact of all proposed budget amendments to the Shire of Broome’s adopted end-of-year forecast, in order to assist Council to make an informed decision.
It should be noted that the 2016/2017 annual budget was adopted at the Ordinary Meeting of Council on 30 June 2016 as balanced budget. It should be noted that the 2016/2017 annual budget was adopted at the Ordinary Meeting of Council on 30 June 2016 as balanced budget. There have been further amendments through the 1st Quarter FACR which resulted in an $18,271 surplus upon the Shire of Broome’s forecast end-of-year position. These amendments were adopted by Council at the 24 November OMC.
Chief Executive Officer’s Report on the Review of Risk Management, Internal Control and Legislative Compliance
The DLGC Circular No. 05-2013, advised of amendments to the Local Government (Audit) Regulations 1996 that were gazetted and came into effect 9 February 2013. These amendments extend the functions of local government Audit Committees to include a review of the effectiveness of a local government's systems and procedures in regard to risk management, internal control and legislative compliance.
This review is to be conducted every two years and is additional to the four-yearly Financial Management Review (FMR), which is restricted to reviewing the controls relating to Council’s systems and procedures in financial management and internal controls, with the last FMR conducted in February 2016. This is a relatively new, and additional process imposed on Council. It is offset by a scaled back Compliance Audit Return which is conducted on a self-assessment basis annually.
The Local Government (Audit) Regulations 1996, Regulation 17 requires the following:
1) The CEO is to review the appropriateness and effectiveness of a local government’s systems and procedures in relation to:
(a) risk management;
(b) internal control; and
(c) legislative compliance.
2) The review may relate to any or all of the matters referred to in sub regulation (1)(a), (b) and (c), but each of those matters is to be the subject of a review at least once every 2 calendar years.
3) The CEO is to report to the audit committee the results of that review.
In accordance with Regulation 16(c) of the same Audit Regulations, the Audit Committee is required to review a report prepared by the CEO, and subsequently report to the Council the results of the Committee’s review, while at the same time, attaching a copy of the CEO’s report to the Audit Committee.
COMMENT
2016 Compliance Audit Return Review
The Compliance Audit for the period 1 January to 31 December 2016 has been completed and is attached.
The 2016 CAR includes a total of 87 questions and focuses on the following areas of compliance:
· Commercial Enterprises by Local Governments
· Delegation of Power/Duty
· Disclosure of Interest
· Disposal of Property
· Elections
· Finance
· Local Government Employees
· Official Conduct
· Tenders for Providing Goods and Services.
The 2016 CAR has been completed in consultation with officers responsible for the various areas contained in the return, and reviewed by the Executive Management Group and the Acting Chief Executive Officer. The attached document indicates a high level of compliance in the areas of legislation that the CAR focuses on, with only 1 area of non-compliance related to a failure to submit an Annual Return within the specified time limit. This was due to an employee being absent from the workplace for a significant period of time.
The 2016 Compliance Audit reveals a compliance rating of 98.8%. This compares to:
2015 Compliance Audit – 0 areas of non-compliance of the 87 areas audited (100%)
2014 Compliance Audit – 1 area of non-compliance of the 78 areas audited (98.7%)
2013 Compliance Audit – 0 areas of non-compliance of the 78 areas audited (100%)
2012 Compliance Audit – 8 areas of non-compliance of 78 areas audited (89.7%)
2011 Compliance Audit – 1 area of non-compliance of 78 areas audited (98.7%)
2010 Compliance Audit – 1 area of non-compliance of 283 areas audited (99.6%)
2009 Compliance Audit – 4 areas of non-compliance of 347 areas audited (98.8%)
2008 Compliance Audit – 2 areas of non-compliance of 311 areas audited (99.4%
2007 Compliance Audit – 13 areas of non-compliance of 271 areas audited (96.1%)
2006 Compliance Audit – 21 areas of non-compliance of 271 areas audited (92.3%)
2005 Compliance Audit – 23 areas of non-compliance of 306 areas audited (92.5%)
2004 Audit – 18 areas of non-compliance and 147 areas audited (87.8%).
Quarter 2 Finance and Costing Review and Mid-Year Statutory Budget Review
Council endorsed the results of the 1st Quarter FACR and adopted a surplus of $18,271 at the 24 November OMC.
Following an extensive review process on income and expenditure to date, the 2nd quarter FACR disclosed an estimated deficit of $5,028. Included in this total is $16,891 of Organisational Savings identified usually as unbudgeted income to which expenditure was originally included in the budget.
It is proposed that all Organisational Savings be quarantined to assist in future projects and renewal initiatives. Should quarantining the Organisational Savings be endorsed, the final end-of-year result would predict a $21,919 deficit.
A comprehensive list of accounts has been included for perusal by the committee and summarised by Directorate, with comparison to FACR Q2 as follows:
|
BUDGET IMPACT |
|||||||
|
2016/17
Adopted Budget |
YTD
Adopted Budget Amendments |
FACR Q2 |
YTD
Impact |
YTD
Impact |
|||
|
Executive - Total |
0 |
|
(8,000) |
(8,000) |
(8,000) |
||
|
Business Enterprise and Community Development - Total |
0 |
(1,500) |
(8,000) |
(9,500) |
(9,500) |
||
|
Corporate Services - Total |
0 |
(1,835) |
0 |
(1,835) |
(1,835) |
||
|
Development Services - Total |
0 |
0 |
34,968 |
34,968 |
34,968 |
||
|
Engineering Services - Total |
0 |
(10,686) |
21,222 |
10,536 |
10,536 |
||
|
Council approved budget amendments and net impact of Organisation Savings / Expenditure |
0 |
(4,250) |
(16,891) |
(21,141) |
(4,250) |
||
|
|
|
|
0,000 |
(18,271) |
23,299 |
5,028 |
21,919 |
Chief Executive Officer’s Report on the Review of Risk Management, Internal Control and Legislative Compliance
The primary goal of the 2016 Audit Regulation 17 Biennial Review is to assist the CEO to establish the appropriateness and effectiveness of the Shire of Broome’s systems and procedures in relation to risk management, legislative compliance and internal controls.
The objective of the review was to identify the risks within each topic area that may prevent Council from achieving its overall strategic goals. The review process has been undertaken at a high level to ascertain the appropriateness and effectiveness of the Shire of Broome’s systems and procedures in the three topic areas of risk management, internal control and legislative compliance pursuant to Audit Regulation 17 of the Local Government (Audit) Regulations 1996 (the Regulations). The Shire of Broome develops and adopts a number of policies, procedures, processes, systems and controls to mitigate these risks.
In undertaking the review, MS have applied the Australian Standard for Risk Management, ISO 31000, which identifies three components in the application of Risk Management; Principles, Framework and Process. MS have applied the three ISO 31000 framework components to the review areas (risk management, internal controls and legislative compliance) into the review process. This involves a process incorporating five framework components, being:
Mandate and commitment, framework design, implementation, monitoring and continuous improvement as follows:
· Identify the extent of commitment and mandate to the principles;
· Establish an appropriate framework for each review component (risk management, legislative compliance and internal controls) after considering the overall context in which the review occurs;
· Assess the appropriate framework against the current framework;
· Assess the implementation of the current framework;
· Assess the degree of monitoring of the current framework and its effectiveness;
· Assess the gaps (if any) between the current framework and the identified appropriate framework and document improvements; and
· Report on the appropriateness and effectiveness of current systems and procedures.
For each of the Audit Reg. 17 review topics, auditors have provided an assessment of the Shire’s Risk Management Framework and provided feedback based on the appropriateness and effectiveness of the framework including suggested improvements.
Auditors have also provided detailed feedback on the Risk Management Framework components including design, implementation, monitoring and review. The results of this assessment are detailed in Sections 6, 7 and 8 of the Review.
Improvements can be found in Section 9 of the Review and will form the focus of the Shire’s Risk Management Improvement Plan for the next two years.
Auditors have considered the internal and external risk influences and assessed the current risk framework as being an appropriate and effective means of managing risk within the organisation.
A detailed Improvement Plan has been developed to include all identified improvement actions contained in Section 9 of the Review. The Review has been appraised by the Risk Technical Advisory Group (TAG) and the Executive Management Group (EMG). The Risk TAG will undertake further review of the suggested improvements and where appropriate assign a relevant officer and timeline against each action within the Improvement Plan.
CONSULTATION
Nil
STATUTORY ENVIRONMENT
Local Government Act 1995
6.8. Expenditure from municipal fund not included in annual budget
1) A local government is not to incur expenditure from its municipal fund for an additional purpose except where the expenditure —
a) is incurred in a financial year before the adoption of the annual budget by the local government;
b) is authorised in advance by resolution*; or
c) is authorised in advance by the mayor or president in an emergency.
(1a in subsection (1) –
“additional purpose means a purpose for which no expenditure estimate is included in the local government’s annual budget.”)
7.13 Regulations as to audits
(1) Regulations may make provision –
(i) requiring local governments to carry out, in the prescribed manner and in a form approved by the Minister, an audit of compliance with such statutory requirements as are prescribed whether those requirements are –
(i) of a financial nature or not; or
(ii) under this Act or another written law.
Local Government (Audit) Regulations 1996
13. Prescribed statutory requirements for which compliance audit needed (Act s. 7.13(1)(i))
For the purposes of section 7.13(1)(i) the statutory requirements set forth in the Table to this regulation are prescribed.
Table
|
Local Government Act 1995 |
||
|
s. 3.57 |
s. 3.58(3) and (4) |
s. 3.59(2), (4) and (5) |
|
s. 5.16 |
s. 5.17 |
s. 5.18 |
|
s. 5.36(4) |
s. 5.37(2) and (3) |
s. 5.42 |
|
s. 5.43 |
s. 5.44(2) |
s. 5.45(1)(b) |
|
s. 5.46 |
s. 5.67 |
s. 5.68(2) |
|
s. 5.70 |
s. 5.73 |
s. 5.75 |
|
s. 5.76 |
s. 5.77 |
s. 5.88 |
|
s. 5.103 |
s. 5.120 |
s. 5.121 |
|
s. 7.1A |
s. 7.1B |
s. 7.3 |
|
s. 7.6(3) |
s. 7.9(1) |
s. 7.12A |
|
Local Government (Administration) Regulations 1996 |
||
|
r. 18A |
r. 18C |
r. 18E |
|
r. 18F |
r. 18G |
r. 19 |
|
r. 22 |
r. 23 |
r. 28 |
|
r. 34B |
r. 34C |
|
Local Government (Audit) Regulations 1996 |
||
|
r. 7 |
r. 10 |
|
|
Local Government (Elections) Regulations 1997 |
||
|
r. 30G |
|
|
|
Local Government (Functions and General) Regulations 1996 |
||
|
r. 7 |
r. 9 |
r. 10 |
|
r. 11A |
r. 11 |
r. 12 |
|
r. 14(1), (3) and (5) |
r. 15 |
r. 16 |
|
r. 17 |
r. 18(1) and (4) |
r. 19 |
|
r. 21 |
r. 22 |
r. 23 |
|
r. 24 |
r. 24AD(2), (4) and (6) |
r. 24AE |
|
r. 24AF |
r. 24AG |
r. 24AH(1) and (3) |
|
r. 24AI |
r. 24E |
r. 24F |
|
Local Government (Rules of Conduct) Regulations 2007 |
||
|
r. 11 |
|
|
[Regulation 13 inserted in Gazette 23 Apr 1999 p. 1722‑4; amended in Gazette 1 Jun 2004 p. 1917; 31 Mar 2005 p. 1042‑3; 30 Sep 2005 p. 4418-20; 21 Dec 2010 p. 6758-61; 30 Dec 2011 p. 5579-80; 18 Sep 2015 p. 3813.
14. Compliance audits by local governments
(1) A local government is to carry out a compliance audit for the period 1 January to 31 December in each year.
(2) After carrying out a compliance audit the local government is to prepare a compliance audit return in a form approved by the Minister.
(3A) The local government’s audit committee is to review the compliance audit return and is to report to the council the results of that review.
(3) After the audit committee has reported to the council under subregulation (3A), the compliance audit return is to be —
(a) presented to the council at a meeting of the council; and
(b) adopted by the council; and
(c) recorded in the minutes of the meeting at which it is adopted.
[Regulation 14 inserted in Gazette 23 Apr 1999 p. 1724‑5; amended in Gazette 30 Dec 2011 p. 5580-1.]
15. Compliance audit return, certified copy of etc. to be given to Executive Director
(1) After the compliance audit return has been presented to the council in accordance with regulation 14(3) a certified copy of the return together with —
(a) a copy of the relevant section of the minutes referred to in regulation 14(3)(c); and
(b) any additional information explaining or qualifying the compliance audit,
is to be submitted to the Executive Director by 31 March next following the period to which the return relates.
(2) In this regulation —
certified in relation to a compliance audit return means signed by —
(a) the mayor or president; and
(b) the CEO.
[Regulation 15 inserted in Gazette 23 Apr 1999 p. 1725.]
16. Audit committee, functions of
An audit committee —
(a) is to provide guidance and assistance to the local government —
(i) as to the carrying out of its functions in relation to audits carried out under Part 7 of the Act; and
(ii) as to the development of a process to be used to select and appoint a person to be an auditor;
and
(b) may provide guidance and assistance to the local government as to —
(i) matters to be audited; and
(ii) the scope of audits; and
(iii) its functions under Part 6 of the Act; and
(iv) the carrying out of its functions relating to other audits and other matters related to financial management; and
(c) is to review a report given to it by the CEO under regulation 17(3) (the CEO’s report) and is to —
(i) report to the council the results of that review; and
(ii) give a copy of the CEO’s report to the council.
17. CEO to review certain systems and procedures
(1) The CEO is to review the appropriateness and effectiveness of a local government’s systems and procedures in relation to —
(a) risk management; and
(b) internal control; and
(c) legislative compliance.
(2) The review may relate to any or all of the matters referred to in subregulation (1)(a), (b) and (c), but each of those matters is to be the subject of a review at least once every 2 calendar years.
(3) The CEO is to report to the audit committee the results of that review.
Local Government (Financial Management) Regulation 1996
r33A. Review of Budget
(1) Between 1 January and 31 March in each financial year a local government is to carry out a review of its annual budget for that year.
(2A) The review of an annual budget for a financial year must —
(a) consider the local government’s financial performance in the period beginning on 1 July and ending no earlier than 31 December in that financial year; and
(b) consider the local government’s financial position as at the date of the review; and
(c) review the outcomes for the end of that financial year that are forecast in the budget.
(2) Within 30 days after a review of the annual budget of a local government is carried out it is to be submitted to the council.
(3) A council is to consider a review submitted to it and is to determine* whether or not to adopt the review, any parts of the review or any recommendations made in the review.
*Absolute majority required.
(4) Within 30 days after a council has made a determination, a copy of the review and determination is to be provided to the Department.
POLICY IMPLICATIONS
The 2016 Audit Regulation 17 Biennial Review will require that a number of policies and/or business operating procedures will need to be developed or reviewed.
FINANCIAL IMPLICATIONS
The net result of the 2nd Quarter FACR estimates is a budget deficit position of $21,919 to 30 June 2017 if the proposed use of the organisational savings is accepted.
RISK
The Local Government Act 1995 requires that each local government carry out a compliance audit for the period 1 January to 31 December each year. The Compliance Audit is an in-house self audit that is undertaken by staff and is to be submitted to the Department of Local Government and Communities by 31 March each year.
The risk is Extreme if this date is not met as it results in non-compliance with the legislative requirements of the Local Government Act 1995 and Local Government (Audit) Regulations 1996, and loss of reputation with the Department of Local Government and Communities. The likelihood of this occurring is rare as the Compliance Audit Return has been prepared well in advance for presentation to Council on the 25 February 2016.
The Finance and Costings Review (FACR) is performed quarterly to provide a rolling forecast of the final end-of-year position to 30 June. Of these reviews, the 2nd quarter is a statutory review requiring report to the Department of Local Government and Communities highlighting the Shire’s forecast position against original budget. Contained within the report is information pertaining to the financial cost and delivery of strategic initiatives and key projects.
In order to mitigate the risk of budget over-runs or non-delivery of projects, the CEO has implemented internal control measures of which the FACR meetings form a part, along with regular Council and management reporting so as to monitor financial performance against budget estimates.
Materiality reporting thresholds have been established at half the adopted Council levels, which equate to $5,000 for operating budget line items and $10,000 for capital items, to highlight and alert management of instances in budget requiring attention prior to there being irreversible impacts.
It should also be noted that there is a possibility of potential fraudulent financial activity. The establishment of control measures through a series of efficient systems, policies and procedures, which fall under the responsibility of the CEO as laid out in the Local Government Financial Management Regulation 1996 regulation 5, seek to mitigate the possibility of this occurring. These controls are set in place to provide daily, weekly and monthly checks to ensure that the integrity of the data provided is reasonably assured.
The risks identified in the 2016 Audit Regulation 17 Biennial Review vary and as such it is difficult to quantify a risk classification. It can be considered however that a failure to apply the collated risks identified would have an “Extreme” consequence for the organisation and an “Almost Certain” likelihood of occurrence resulting in an overall risk rating of Extreme.
STRATEGIC IMPLICATIONS
Our People Goal – Foster a community environment that is accessible, affordable, inclusive, healthy and safe:
Effective communication
Affordable services and initiatives to satisfy community need
Our Prosperity Goal – Create the means to enable local jobs creation and lifestyle affordability for the current and future population:
Affordable and equitable services and infrastructure
Key economic development strategies for the Shire which are aligned to regional outcomes working through recognised planning and development groups/committees
Our Organisation Goal – Continually enhance the Shire’s organisational capacity to service the needs of a growing community:
An organisational culture that strives for service excellence
Sustainable and integrated strategic and operational plans
Responsible resource allocation
Improved systems, processes and compliance
VOTING REQUIREMENTS
Absolute Majority
|
That Council, on recommendation from the Audit Committee: 1. Adopts the attached 2016 Compliance Audit Return as the official return for the Shire of Broome; 2. Following execution of the 2016 Compliance Audit Return by the Shire President and Acting Chief Executive Officer, forwards a copy of the certified return to the Department of Local Government and Communities; 3. Receives the 2nd Quarter Finance and Costing Review Report for the period ended 31 December 2016; 4. Adopts the operating and capital budget amendment recommendations for the period ended 30 June 2017 as attached; 5. Endorses the transfer of $16,891 of organisational savings to the Footpath Reserve; 6. Notes a forecast end-of-year deficit position to 30 June 2017 of $21,919; 7. Receives the Audit Committee’s review of the Chief Executive Officer’s report relating to the Shire of Broome’s 2016 Audit Regulation 17 Biennial Review as per Local Government (Audit) Regulations 1996; 8. Adopts the actions requiring improvement as detailed in Section 9 of the 2016 Audit Regulation 17 Biennial Review and Improvement Plan forming Attachment 2 to the Chief Executive Officer’s report; 9. Notes the Chief Executive Officer will implement the actions using existing internal resources and that if any additional resources are required they will be presented to Council for consideration as part of the 2017-18 budget process; and 10. Notes the Chief Executive Officer will continue to task the Audit Regulation 17 Technical Advisory Group (TAG) with reporting to the Executive Management Group (EMG) and Audit Committee on the progress of the Improvement Plan on an a bi-annual basis. (Absolute Majority Required) |
|
Minutes of the Audit Committee Meeting 14 February 2017 |